あかさかひかわじんじゃ
御朱印・神社お寺の検索サイト
楽しみ方【サポーター特典】幸せと健康を毎月ご祈願
100年後に神社お寺を残せる未来へ





























御朱印・御朱印帳をもっと見る


















授与品をもっと見る


















境内をもっと見る
























































































































































































































































































































































































































































































































































































































































































































































































































































































































































































































































































































































































































































































































































































































































































































































































































































































































































































































































































































































































































































































































































































































































































































































































































































































































































































![赤坂氷川神社(東京都)]()





























































































































































































































































































































100年後に神社お寺を残せる未来へ
赤坂氷川神社の写真一覧
御朱印・御朱印帳

御朱印

御朱印

御朱印

御朱印

御朱印

御朱印

御朱印

御朱印

御朱印

御朱印

御朱印

御朱印

御朱印

御朱印

御朱印

御朱印

御朱印
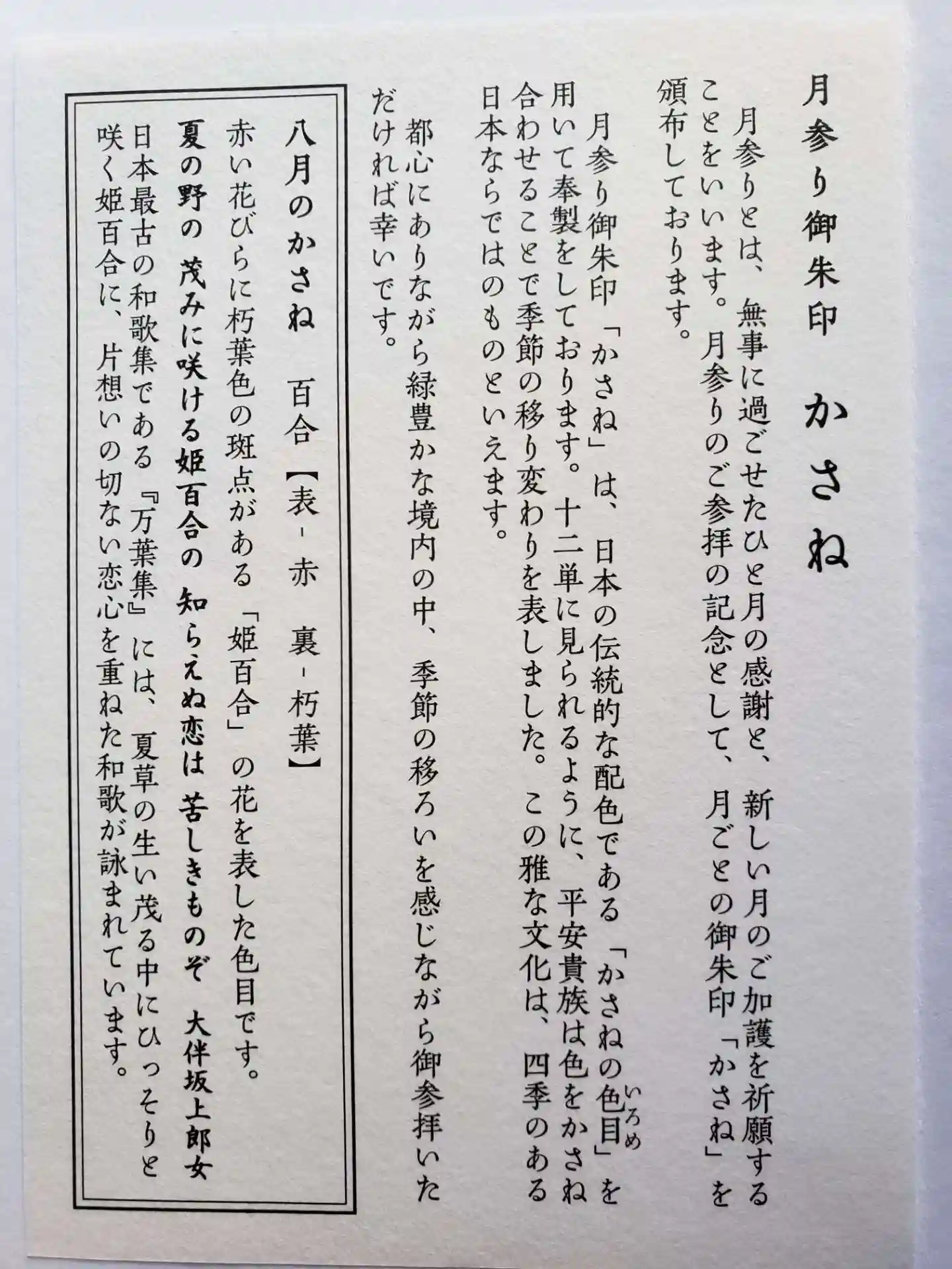
『かさね』を

御朱印

御朱印

御朱印
季節の御朱印『星合ひ参り』7/1〜7/7まで頒布予定で無くなった時点で終了とのこと。

御朱印帳

御朱印帳

御朱印帳

御朱印帳

御朱印帳
東京十社専用御朱印帳

御朱印帳
東京十社専用御朱印帳

御朱印帳
東京十社専用御朱印帳

御朱印帳

御朱印帳

御朱印帳
授与品

授与品その他
由緒書

おみくじ
おみくじ群^^

おみくじ
日枝神社から歩きます。
東京って坂が多いですね(二回目😵💦)
大きな神社でした。参道や境内…

授与品その他
小雨の中、お参りしてきました。月替わりの御朱印は、予定枚数終了していました。人気の御朱印なので、来…

授与品その他
開運の花福鈴

授与品その他
東京 赤坂氷川神社
港七福神巡りのあとに伺いました。
季節の御朱印 -波に千鳥-
波間に飛び交い…

授与品その他
東京 赤坂氷川神社
港七福神巡りのあとに伺いました。
季節の御朱印 -波に千鳥-
波間に飛び交い…

授与品その他
干支手拭い

授与品その他
昨年、初めて、やかん型のお守りをいただいて、今年もそのお守りが、
一年がたちましたので、やかん型の…

おみくじ
縁結びみくじ
さくらんぼ根付け入
願いを込めて木に結ぶ

授与品その他
十社巡り①
静かで居心地の良い神社でした。
境内のイチョウが黄色くなってきたらまたお伺いします…

絵馬
ミニ絵馬

おみくじ
初詣の御朱印巡り。
混んでいるのを覚悟していましたが参拝は少し並びましたが御朱印は待たずにすぐ頂…

絵馬
初詣の御朱印巡り。
混んでいるのを覚悟していましたが参拝は少し並びましたが御朱印は待たずにすぐ頂…

おみくじ
さくらんぼの根付けが付いた恋みくじ

おみくじ
初詣の御朱印巡り。
混んでいるのを覚悟していましたが参拝は少し並びましたが御朱印は待たずにすぐ頂…

おみくじ
初詣の御朱印巡り。
混んでいるのを覚悟していましたが参拝は少し並びましたが御朱印は待たずにすぐ頂…

授与品その他
アメリカ大使館の近くにある創建1000年以上の古社
御社殿は安政の大地震、関東大震災、東京大空襲…

授与品その他
御朱印。

絵馬
ミニ絵馬
境内

鳥居
赤坂氷川神社でご祈祷をお願いしてきました⛩️
車で行ったら道が混んでてギリギリの時間になって焦った…

狛犬
3回目の参詣⛩️
今日は15日なので前回気持ちいい雰囲気でお気に入りの赤坂氷川神社に仕事前にお詣り…

その他建物
21.05.22。東京メトロ千代田線「赤坂駅」より徒歩8分。東京十社⑦として参拝。
天暦5…

歴史
東参道入り口。(氷川坂側)
赤坂駅からはこちらが近いです。

その他建物
苗村又右衛門翁像。

歴史
明治、大正期の氏子総代で当社再興に尽力した苗村又右衛門翁頌徳碑。

その他建物
石灯篭

その他建物
21.05.22。東京メトロ千代田線「赤坂駅」より徒歩8分。東京十社⑦として参拝。
天暦5…

末社・摂社
末社 西行稲荷
↓

本殿・本堂
21.05.22。東京メトロ千代田線「赤坂駅」より徒歩8分。東京十社⑦として参拝。
天暦5…

末社・摂社
21.05.22。東京メトロ千代田線「赤坂駅」より徒歩8分。東京十社⑦として参拝。
天暦5…

末社・摂社
末社 四合稲荷(しあわせいなり)
勝海舟翁ゆかりの社のようです。
↓

自然
大銀杏

その他建物
大銀杏解説板
↓

その他建物
包丁塚

末社・摂社
末社 九神社
天祖神社・春日神社・鹿嶋神社・八幡神社・諏訪神社・秋葉神社・金刀比羅神社・賽神社の九社を合祀したお社。

歴史
浅野土佐守邸跡の解説板
↓

手水舎
上記手前に
文化10年(1813年)とあり。

末社・摂社
末社 山口稲荷

その他建物
楼門入って左手
宮神輿庫。
その他

お祭り
全てを撮影したかったのですが、ガラス越しのため反射してうまく撮影できず。
何とかお神輿だけはマシに撮れました(笑)

お祭り
都内良縁祈願第三弾
久々に赤坂氷川神社様に参拝に上がりました。
かなり久々でしたので昔気付かな…

お祭り
宮神輿

お祭り
9/15限定頒布の、かさね御朱印【甕覗き】と、9/15〜18頒の、かさね御朱印の【例祭】を頂きまし…

お祭り
小雨の中、お参りしてきました。月替わりの御朱印は、予定枚数終了していました。人気の御朱印なので、来…

食事
日枝神社から、歩いてお詣り。
途中、ベトナム料理屋で、
ランチをしました。
境内では…

お祭り
東京十社をお参りしてきました。

お祭り
東京十社をお参りしてきました。

お祭り
お神輿と山車

周辺
赤坂は氷川坂沿い、赤坂氷川神社へも歩いて。
氷川神社は高円寺に次いで2社目の奉拝。
緑多い赤坂の閑…

お祭り
昨年、初めて、やかん型のお守りをいただいて、今年もそのお守りが、
一年がたちましたので、やかん型の…

お祭り
11/23日だけの新嘗祭限定御朱印がいただける日とのことでしたが、
家を出たのが遅かったため、も…

お祭り
・東京十社
以前何かで前を通った時は時間が遅くお参りできなかったのですが、今回は無事お参り出…

初詣
初詣の御朱印巡り。
混んでいるのを覚悟していましたが参拝は少し並びましたが御朱印は待たずにすぐ頂…

結婚式
六本木、赤坂その中間に位置し、まさに都会のど真ん中。
それなのにこんなに、静かで美しい。
緑の…

結婚式
銀杏と神社の写真を撮りたいと思い
思い浮かんだのが赤坂氷川神社様
ただ大銀杏と社殿の距離が…

お祭り
迷ってしまい、12時過ぎに到着したら、大銀杏の御朱印の配布が終わってました。😭イチョウの木は、素晴…

お祭り
この日最後は、赤坂氷川神社へ。
都心に位置しながらも、周囲は静かで心が落ち着きます。
参道の両…

お祭り
例大祭の限定朱印をいただくために再訪しました。

お祭り
赤坂氷川神社のご祭神は素盞鳴尊(すさのおのみこと)と奇稲田姫命(くしいなだひめのみこと)で、ご夫婦…

お祭り
【東京十社・赤坂氷川神社】
週末の土曜日にお参りしました。翌日の日曜日が例大祭で、この日は子ど…

お祭り
【東京十社・赤坂氷川神社】
週末の土曜日にお参りしました。翌日の日曜日が例大祭で、この日は子ど…

お祭り
【東京十社・赤坂氷川神社】
週末の土曜日にお参りしました。翌日の日曜日が例大祭で、この日は子ど…

お祭り
立派なお神輿がありました。
お祭り
参拝列に並んでる間、スサノヲ様を眺め…られてました
お祭り
台風の影響なのか、時間が遅すぎなのか...例大祭を見に行こうと思ったら誰にもいなかったです(笑)。…
七五三参
台風の影響なのか、時間が遅すぎなのか...例大祭を見に行こうと思ったら誰にもいなかったです(笑)。…
お祭り
台風の影響なのか、時間が遅すぎなのか...例大祭を見に行こうと思ったら誰にもいなかったです(笑)。…

未分類
月参りに伺いました。
月参り御朱印「重ね」の桃に合わせて、手水舎に桃が生けられていました^ …

未分類
月参りに伺いました。
月参り御朱印「重ね」の桃に合わせて、手水舎に桃が生けられていました^ …

未分類
近くの洋食屋さん「津つ井」さん脇のオカメザクラ

未分類
月参りに伺いました。
月参り御朱印「重ね」の桃に合わせて、手水舎に桃が生けられていました^ …

未分類
月参りに伺いました。
月参り御朱印「重ね」の桃に合わせて、手水舎に桃が生けられていました^ …

未分類
月参りに伺いました。
月参り御朱印「重ね」の桃に合わせて、手水舎に桃が生けられていました^ …

未分類
月参りに伺いました。
月参り御朱印「重ね」の桃に合わせて、手水舎に桃が生けられていました^ …

未分類
月参りに伺いました。
月参り御朱印「重ね」の桃に合わせて、手水舎に桃が生けられていました^ …

未分類
月参りに伺いました。
月参り御朱印「重ね」の桃に合わせて、手水舎に桃が生けられていました^ …

未分類
月参りに伺いました。
月参り御朱印「重ね」の桃に合わせて、手水舎に桃が生けられていました^ …

未分類
月参りに伺いました。
月参り御朱印「重ね」の桃に合わせて、手水舎に桃が生けられていました^ …

未分類
月参りに伺いました。
月参り御朱印「重ね」の桃に合わせて、手水舎に桃が生けられていました^ …

未分類
月参りに伺いました。
月参り御朱印「重ね」の桃に合わせて、手水舎に桃が生けられていました^ …

未分類
月参りに伺いました。
月参り御朱印「重ね」の桃に合わせて、手水舎に桃が生けられていました^ …

未分類
月参りに伺いました。
月参り御朱印「重ね」の桃に合わせて、手水舎に桃が生けられていました^ …

未分類
月参りに伺いました。
月参り御朱印「重ね」の桃に合わせて、手水舎に桃が生けられていました^ …

未分類
月参りに伺いました。
月参り御朱印「重ね」の桃に合わせて、手水舎に桃が生けられていました^ …

未分類
月参りに伺いました。
月参り御朱印「重ね」の桃に合わせて、手水舎に桃が生けられていました^ …

未分類
月参りに伺いました。
月参り御朱印「重ね」の桃に合わせて、手水舎に桃が生けられていました^ …

未分類
専用にしているこちらの御朱印帳。

未分類
月参りに伺いました。
月参り御朱印「重ね」の桃に合わせて、手水舎に桃が生けられていました^ …

未分類
今月の御朱印「かさね」

未分類
[参拝日]2019/01/25(金)
[名称]赤坂氷川神社
[区分]神社
[所在県]東京都
[住所…

未分類
[参拝日]2019/01/25(金)
[名称]赤坂氷川神社
[区分]神社
[所在県]東京都
[住所…

未分類
[参拝日]2019/01/25(金)
[名称]赤坂氷川神社
[区分]神社
[所在県]東京都
[住所…

未分類
[参拝日]2019/01/25(金)
[名称]赤坂氷川神社
[区分]神社
[所在県]東京都
[住所…

未分類
[参拝日]2019/01/25(金)
[名称]赤坂氷川神社
[区分]神社
[所在県]東京都
[住所…

未分類
[参拝日]2019/01/25(金)
[名称]赤坂氷川神社
[区分]神社
[所在県]東京都
[住所…

未分類
[参拝日]2019/01/25(金)
[名称]赤坂氷川神社
[区分]神社
[所在県]東京都
[住所…

未分類
[参拝日]2019/11/15(金)
[名称]赤坂氷川神社
[区分]神社
[所在県]東京都
[住所…

未分類
[参拝日]2019/11/15(金)
[名称]赤坂氷川神社
[区分]神社
[所在県]東京都
[住所…

未分類
[参拝日]2019/11/15(金)
[名称]赤坂氷川神社
[区分]神社
[所在県]東京都
[住所…

未分類
[参拝日]2019/11/15(金)
[名称]赤坂氷川神社
[区分]神社
[所在県]東京都
[住所…

未分類
[参拝日]2019/11/15(金)
[名称]赤坂氷川神社
[区分]神社
[所在県]東京都
[住所…

未分類
[参拝日]2019/11/15(金)
[名称]赤坂氷川神社
[区分]神社
[所在県]東京都
[住所…

未分類
[参拝日]2019/11/15(金)
[名称]赤坂氷川神社
[区分]神社
[所在県]東京都
[住所…

未分類
[参拝日]2019/11/15(金)
[名称]赤坂氷川神社
[区分]神社
[所在県]東京都
[住所…

未分類
[参拝日]2019/11/15(金)
[名称]赤坂氷川神社
[区分]神社
[所在県]東京都
[住所…

未分類
今月2度目のお参りに伺いました。
桜の蕾が少しづつ目立って来て楽しみです。
今日のみ頒布さ…

未分類
今月2度目のお参りに伺いました。
桜の蕾が少しづつ目立って来て楽しみです。
今日のみ頒布さ…

未分類
今月2度目のお参りに伺いました。
桜の蕾が少しづつ目立って来て楽しみです。
今日のみ頒布さ…

未分類
今月2度目のお参りに伺いました。
桜の蕾が少しづつ目立って来て楽しみです。
今日のみ頒布さ…

未分類
今月2度目のお参りに伺いました。
桜の蕾が少しづつ目立って来て楽しみです。
今日のみ頒布さ…

未分類
今月2度目のお参りに伺いました。
桜の蕾が少しづつ目立って来て楽しみです。
今日のみ頒布さ…

未分類
今月2度目のお参りに伺いました。
桜の蕾が少しづつ目立って来て楽しみです。
今日のみ頒布さ…

未分類
今月2度目のお参りに伺いました。
桜の蕾が少しづつ目立って来て楽しみです。
今日のみ頒布さ…

未分類
今月2度目のお参りに伺いました。
桜の蕾が少しづつ目立って来て楽しみです。
今日のみ頒布さ…

未分類
今月2度目のお参りに伺いました。
桜の蕾が少しづつ目立って来て楽しみです。
今日のみ頒布さ…

未分類
今月2度目のお参りに伺いました。
桜の蕾が少しづつ目立って来て楽しみです。
今日のみ頒布さ…

未分類
今月2度目のお参りに伺いました。
桜の蕾が少しづつ目立って来て楽しみです。
今日のみ頒布さ…

未分類
今月2度目のお参りに伺いました。
桜の蕾が少しづつ目立って来て楽しみです。
今日のみ頒布さ…

未分類
今月2度目のお参りに伺いました。
桜の蕾が少しづつ目立って来て楽しみです。
今日のみ頒布さ…

未分類
今月2度目のお参りに伺いました。
桜の蕾が少しづつ目立って来て楽しみです。
今日のみ頒布さ…

未分類
今月2度目のお参りに伺いました。
桜の蕾が少しづつ目立って来て楽しみです。
今日のみ頒布さ…

未分類
今月2度目のお参りに伺いました。
桜の蕾が少しづつ目立って来て楽しみです。
今日のみ頒布さ…

未分類
参道にたくさん咲いています

未分類
こちらへも

未分類
月参りは、もう少し先に…予定していましたが、赤坂のクリニックに行く前に早めに時間取って、赤坂氷川神…

未分類
月参りは、もう少し先に…予定していましたが、赤坂のクリニックに行く前に早めに時間取って、赤坂氷川神…

未分類
四合稲荷神社を向かいから

未分類
背景に神輿達

未分類
月参りは、もう少し先に…予定していましたが、赤坂のクリニックに行く前に早めに時間取って、赤坂氷川神…

未分類
1番人気🐴

未分類
お仕事中です🐴って見えます^ - ^

未分類
今年の見守り隊長🐴

未分類
月参りは、もう少し先に…予定していましたが、赤坂のクリニックに行く前に早めに時間取って、赤坂氷川神…

未分類
夕方からの豆撒きの準備が👹

未分類
月参りは、もう少し先に…予定していましたが、赤坂のクリニックに行く前に早めに時間取って、赤坂氷川神…

未分類
月参りは、もう少し先に…予定していましたが、赤坂のクリニックに行く前に早めに時間取って、赤坂氷川神…

未分類
月参りは、もう少し先に…予定していましたが、赤坂のクリニックに行く前に早めに時間取って、赤坂氷川神…

未分類
月参りは、もう少し先に…予定していましたが、赤坂のクリニックに行く前に早めに時間取って、赤坂氷川神…

未分類
月参りは、もう少し先に…予定していましたが、赤坂のクリニックに行く前に早めに時間取って、赤坂氷川神…

未分類
月参りは、もう少し先に…予定していましたが、赤坂のクリニックに行く前に早めに時間取って、赤坂氷川神…

未分類
月参りは、もう少し先に…予定していましたが、赤坂のクリニックに行く前に早めに時間取って、赤坂氷川神…

未分類
月参りは、もう少し先に…予定していましたが、赤坂のクリニックに行く前に早めに時間取って、赤坂氷川神…

未分類
月参りは、もう少し先に…予定していましたが、赤坂のクリニックに行く前に早めに時間取って、赤坂氷川神…

未分類
月参りは、もう少し先に…予定していましたが、赤坂のクリニックに行く前に早めに時間取って、赤坂氷川神…

未分類
月参りは、もう少し先に…予定していましたが、赤坂のクリニックに行く前に早めに時間取って、赤坂氷川神…

未分類
[参拝日]2025/07/12(土)
[名称]赤坂氷川神社
[区分]神社
[所在県]東京都
[住所…

未分類
[参拝日]2025/07/12(土)
[名称]赤坂氷川神社
[区分]神社
[所在県]東京都
[住所…

未分類
[参拝日]2025/07/12(土)
[名称]赤坂氷川神社
[区分]神社
[所在県]東京都
[住所…

未分類
[参拝日]2025/07/12(土)
[名称]赤坂氷川神社
[区分]神社
[所在県]東京都
[住所…

未分類
[参拝日]2025/07/12(土)
[名称]赤坂氷川神社
[区分]神社
[所在県]東京都
[住所…

未分類
[参拝日]2025/07/12(土)
[名称]赤坂氷川神社
[区分]神社
[所在県]東京都
[住所…

未分類
[参拝日]2025/07/12(土)
[名称]赤坂氷川神社
[区分]神社
[所在県]東京都
[住所…

未分類
[参拝日]2025/07/12(土)
[名称]赤坂氷川神社
[区分]神社
[所在県]東京都
[住所…

未分類
[参拝日]2025/07/12(土)
[名称]赤坂氷川神社
[区分]神社
[所在県]東京都
[住所…

未分類
(20260111)「願の木」のさんらんぼ結びです

未分類
東京十社の一社

未分類
東京十社の一社

未分類
東京十社の一社

未分類
東京十社の一社

未分類
東京十社の一社

未分類
東京十社の一社

未分類
四合稲荷

未分類
正面から撮ったら,癒され過ぎました^ - ^

未分類
1年間のお仕事スタートの🐴さん

未分類
今年最初のお参りに伺いました。
三が日は長蛇の列で時間的に無理なため、6日に予定して行ってきまし…

未分類
今年最初のお参りに伺いました。
三が日は長蛇の列で時間的に無理なため、6日に予定して行ってきまし…

未分類
今年最初のお参りに伺いました。
三が日は長蛇の列で時間的に無理なため、6日に予定して行ってきまし…

未分類
今年最初のお参りに伺いました。
三が日は長蛇の列で時間的に無理なため、6日に予定して行ってきまし…

未分類
今年最初のお参りに伺いました。
三が日は長蛇の列で時間的に無理なため、6日に予定して行ってきまし…

未分類
今年最初のお参りに伺いました。
三が日は長蛇の列で時間的に無理なため、6日に予定して行ってきまし…

未分類
今年最初のお参りに伺いました。
三が日は長蛇の列で時間的に無理なため、6日に予定して行ってきまし…

未分類
月参り御朱印『かさね』1月のかさねは『雪の下』

未分類
今年最初のお参りに伺いました。
三が日は長蛇の列で時間的に無理なため、6日に予定して行ってきまし…

未分類
季節の御朱印「初茜」

未分類
神社巡りのラストで行った。

未分類
新春東京御朱印めぐり
東京10社の御朱印を書き置きでいただきました
参拝の方がたくさんおら…

未分類
新春東京御朱印めぐり
東京10社の御朱印を書き置きでいただきました
参拝の方がたくさんおら…

未分類
勤務先近くの氷川神社へ

未分類
勤務先近くの氷川神社へ

未分類
勤務先近くの氷川神社へ

未分類
今年最初の初詣は赤坂氷川神社に🎍
人がいっぱいだとゆっくりお参りができないかと思って3日の朝6時に…

未分類
今年最初の初詣は赤坂氷川神社に🎍
人がいっぱいだとゆっくりお参りができないかと思って3日の朝6時に…

未分類
今年最初の初詣は赤坂氷川神社に🎍
人がいっぱいだとゆっくりお参りができないかと思って3日の朝6時に…

未分類
今年最初の初詣は赤坂氷川神社に🎍
人がいっぱいだとゆっくりお参りができないかと思って3日の朝6時に…

未分類
今年最初の初詣は赤坂氷川神社に🎍
人がいっぱいだとゆっくりお参りができないかと思って3日の朝6時に…

未分類
今年最初の初詣は赤坂氷川神社に🎍
人がいっぱいだとゆっくりお参りができないかと思って3日の朝6時に…

未分類
今年最初の初詣は赤坂氷川神社に🎍
人がいっぱいだとゆっくりお参りができないかと思って3日の朝6時に…

未分類
今年最初の初詣は赤坂氷川神社に🎍
人がいっぱいだとゆっくりお参りができないかと思って3日の朝6時に…

未分類
今年最初の初詣は赤坂氷川神社に🎍
人がいっぱいだとゆっくりお参りができないかと思って3日の朝6時に…

未分類
今年最初の初詣は赤坂氷川神社に🎍
人がいっぱいだとゆっくりお参りができないかと思って3日の朝6時に…

未分類
今年最初の初詣は赤坂氷川神社に🎍
人がいっぱいだとゆっくりお参りができないかと思って3日の朝6時に…

未分類
今年最初の初詣は赤坂氷川神社に🎍
人がいっぱいだとゆっくりお参りができないかと思って3日の朝6時に…

未分類
今年最初の初詣は赤坂氷川神社に🎍
人がいっぱいだとゆっくりお参りができないかと思って3日の朝6時に…

未分類
今年最初の初詣は赤坂氷川神社に🎍
人がいっぱいだとゆっくりお参りができないかと思って3日の朝6時に…

未分類
今年最初の初詣は赤坂氷川神社に🎍
人がいっぱいだとゆっくりお参りができないかと思って3日の朝6時に…

未分類
今年最初の初詣は赤坂氷川神社に🎍
人がいっぱいだとゆっくりお参りができないかと思って3日の朝6時に…

未分類
今年最初の初詣は赤坂氷川神社に🎍
人がいっぱいだとゆっくりお参りができないかと思って3日の朝6時に…

未分類
今年最初の初詣は赤坂氷川神社に🎍
人がいっぱいだとゆっくりお参りができないかと思って3日の朝6時に…

未分類
今年最初の初詣は赤坂氷川神社に🎍
人がいっぱいだとゆっくりお参りができないかと思って3日の朝6時に…

未分類
今年最初の初詣は赤坂氷川神社に🎍
人がいっぱいだとゆっくりお参りができないかと思って3日の朝6時に…

未分類
今年最初の初詣は赤坂氷川神社に🎍
人がいっぱいだとゆっくりお参りができないかと思って3日の朝6時に…

未分類
しあわせ稲荷

未分類
初詣、御朱印帳いただきました!

未分類
初詣、御朱印帳いただきました!

未分類
初詣、御朱印帳いただきました!

未分類
初詣、御朱印帳いただきました!

未分類
初詣、御朱印帳いただきました!

未分類
初詣、御朱印帳いただきました!

未分類
初詣、御朱印帳いただきました!

未分類
2日目4箇所目は赤坂氷川神社さん⛩

未分類
2日目4箇所目は赤坂氷川神社さん⛩

未分類
2日目4箇所目は赤坂氷川神社さん⛩

未分類
2日目4箇所目は赤坂氷川神社さん⛩

未分類
2日目4箇所目は赤坂氷川神社さん⛩

未分類
2日目4箇所目は赤坂氷川神社さん⛩

未分類
日枝神社から近くの赤坂氷川神社へ。

未分類
東京都港区赤坂
赤坂氷川神社
令和5年9月23日参拝
直書き

未分類
東京都港区赤坂
赤坂氷川神社
令和5年9月23日参拝
直書き

未分類
東京都港区赤坂
赤坂氷川神社
令和5年9月23日参拝
直書き

未分類
東京都港区赤坂
赤坂氷川神社
令和5年9月23日参拝
直書き

未分類
チャリで赤坂散策

未分類
チャリで赤坂散策

未分類
チャリで赤坂散策

未分類
チャリで赤坂散策

未分類
東京十社周りきってみたいものです

未分類
東京十社周りきってみたいものです

未分類
東京十社周りきってみたいものです

未分類
過去お詣り記録

未分類
12月の月参りと理不尽な絡まれ方をしている件の相談に伺いました🚗💨
嫌な気分だったので朝ちょっと早…

未分類
12月の月参りと理不尽な絡まれ方をしている件の相談に伺いました🚗💨
嫌な気分だったので朝ちょっと早…

未分類
12月の月参りと理不尽な絡まれ方をしている件の相談に伺いました🚗💨
嫌な気分だったので朝ちょっと早…

未分類
12月の月参りと理不尽な絡まれ方をしている件の相談に伺いました🚗💨
嫌な気分だったので朝ちょっと早…

未分類
12月の月参りと理不尽な絡まれ方をしている件の相談に伺いました🚗💨
嫌な気分だったので朝ちょっと早…

未分類
12月の月参りと理不尽な絡まれ方をしている件の相談に伺いました🚗💨
嫌な気分だったので朝ちょっと早…

未分類
12月の月参りと理不尽な絡まれ方をしている件の相談に伺いました🚗💨
嫌な気分だったので朝ちょっと早…

未分類
12月の月参りと理不尽な絡まれ方をしている件の相談に伺いました🚗💨
嫌な気分だったので朝ちょっと早…

未分類
乃木神社から歩いて移動しました。
とても広い神社で、品がある神社という印象でした。平日伺ったのです…

未分類
乃木神社から歩いて移動しました。
とても広い神社で、品がある神社という印象でした。平日伺ったのです…

未分類
乃木神社から歩いて移動しました。
とても広い神社で、品がある神社という印象でした。平日伺ったのです…

未分類
乃木神社から歩いて移動しました。
とても広い神社で、品がある神社という印象でした。平日伺ったのです…

未分類
乃木神社から歩いて移動しました。
とても広い神社で、品がある神社という印象でした。平日伺ったのです…

未分類
乃木神社から歩いて移動しました。
とても広い神社で、品がある神社という印象でした。平日伺ったのです…

未分類
乃木神社から歩いて移動しました。
とても広い神社で、品がある神社という印象でした。平日伺ったのです…

未分類
乃木神社から歩いて移動しました。
とても広い神社で、品がある神社という印象でした。平日伺ったのです…

未分類
乃木神社から歩いて移動しました。
とても広い神社で、品がある神社という印象でした。平日伺ったのです…

未分類
乃木神社から歩いて移動しました。
とても広い神社で、品がある神社という印象でした。平日伺ったのです…

未分類
乃木神社から歩いて移動しました。
とても広い神社で、品がある神社という印象でした。平日伺ったのです…

未分類
乃木神社から歩いて移動しました。
とても広い神社で、品がある神社という印象でした。平日伺ったのです…

未分類
乃木神社から歩いて移動しました。
とても広い神社で、品がある神社という印象でした。平日伺ったのです…

未分類
乃木神社から歩いて移動しました。
とても広い神社で、品がある神社という印象でした。平日伺ったのです…

未分類
乃木神社から歩いて移動しました。
とても広い神社で、品がある神社という印象でした。平日伺ったのです…

未分類
溜池山王の病院から向かう途中のクリスマスツリー(アークヒルズ カラヤン広場)

未分類
溜池山王駅近くの病院に行く日だったので、治療後にこちらへ回りました。
先日まだ残っていた大銀杏も…

未分類
溜池山王駅近くの病院に行く日だったので、治療後にこちらへ回りました。
先日まだ残っていた大銀杏も…

未分類
溜池山王駅近くの病院に行く日だったので、治療後にこちらへ回りました。
先日まだ残っていた大銀杏も…

未分類
溜池山王駅近くの病院に行く日だったので、治療後にこちらへ回りました。
先日まだ残っていた大銀杏も…

未分類
溜池山王駅近くの病院に行く日だったので、治療後にこちらへ回りました。
先日まだ残っていた大銀杏も…

未分類
溜池山王駅近くの病院に行く日だったので、治療後にこちらへ回りました。
先日まだ残っていた大銀杏も…

未分類
溜池山王駅近くの病院に行く日だったので、治療後にこちらへ回りました。
先日まだ残っていた大銀杏も…

未分類
溜池山王駅近くの病院に行く日だったので、治療後にこちらへ回りました。
先日まだ残っていた大銀杏も…

未分類
お仕事も1年切りました🐍

未分類
溜池山王駅近くの病院に行く日だったので、治療後にこちらへ回りました。
先日まだ残っていた大銀杏も…

未分類
溜池山王駅近くの病院に行く日だったので、治療後にこちらへ回りました。
先日まだ残っていた大銀杏も…

未分類
溜池山王駅近くの病院に行く日だったので、治療後にこちらへ回りました。
先日まだ残っていた大銀杏も…

未分類
溜池山王駅近くの病院に行く日だったので、治療後にこちらへ回りました。
先日まだ残っていた大銀杏も…

未分類
溜池山王駅近くの病院に行く日だったので、治療後にこちらへ回りました。
先日まだ残っていた大銀杏も…

未分類
溜池山王駅近くの病院に行く日だったので、治療後にこちらへ回りました。
先日まだ残っていた大銀杏も…

未分類
溜池山王駅近くの病院に行く日だったので、治療後にこちらへ回りました。
先日まだ残っていた大銀杏も…

未分類
溜池山王駅近くの病院に行く日だったので、治療後にこちらへ回りました。
先日まだ残っていた大銀杏も…

未分類
溜池山王駅近くの病院に行く日だったので、治療後にこちらへ回りました。
先日まだ残っていた大銀杏も…

未分類
溜池山王駅近くの病院に行く日だったので、治療後にこちらへ回りました。
先日まだ残っていた大銀杏も…

未分類
溜池山王駅近くの病院に行く日だったので、治療後にこちらへ回りました。
先日まだ残っていた大銀杏も…

未分類
溜池山王駅近くの病院に行く日だったので、治療後にこちらへ回りました。
先日まだ残っていた大銀杏も…

未分類
溜池山王駅近くの病院に行く日だったので、治療後にこちらへ回りました。
先日まだ残っていた大銀杏も…

未分類
溜池山王駅近くの病院に行く日だったので、治療後にこちらへ回りました。
先日まだ残っていた大銀杏も…

未分類
溜池山王駅近くの病院に行く日だったので、治療後にこちらへ回りました。
先日まだ残っていた大銀杏も…

未分類
山車 写真では伝わりにくいが凄く迫力あるよ!

未分類
山車

未分類
赤坂氷川神社♡
九社目
都心の真ん中にあるのに、静かで清々しい空気に包まれていた赤坂氷川神社…

未分類
四合稲荷

未分類
太鼓橋

未分類
拝殿

未分類
素敵な花手水🌸

未分類
参道

未分類
狛犬

未分類
大銀杏

未分類
赤坂氷川神社♡
九社目
都心の真ん中にあるのに、静かで清々しい空気に包まれていた赤坂氷川神社…

未分類
赤坂氷川神社♡
九社目
都心の真ん中にあるのに、静かで清々しい空気に包まれていた赤坂氷川神社…

未分類
🙏

未分類
🙏

未分類
🙏

未分類
🙏

未分類
🙏

未分類
🙏

未分類
🙏

未分類
🙏

未分類
🙏

未分類
🙏

未分類
新嘗祭の日のお参りにどこに行こうかと思いましたが、やっぱり例年の如く,赤坂氷川神社さんへ。
…

未分類
新嘗祭の日のお参りにどこに行こうかと思いましたが、やっぱり例年の如く,赤坂氷川神社さんへ。
…

未分類
新嘗祭の日のお参りにどこに行こうかと思いましたが、やっぱり例年の如く,赤坂氷川神社さんへ。
…

未分類
新嘗祭の日のお参りにどこに行こうかと思いましたが、やっぱり例年の如く,赤坂氷川神社さんへ。
…

未分類
新嘗祭の日のお参りにどこに行こうかと思いましたが、やっぱり例年の如く,赤坂氷川神社さんへ。
…

未分類
新嘗祭の日のお参りにどこに行こうかと思いましたが、やっぱり例年の如く,赤坂氷川神社さんへ。
…

未分類
新嘗祭の日のお参りにどこに行こうかと思いましたが、やっぱり例年の如く,赤坂氷川神社さんへ。
…

未分類
新嘗祭の日のお参りにどこに行こうかと思いましたが、やっぱり例年の如く,赤坂氷川神社さんへ。
…

未分類
新嘗祭の日のお参りにどこに行こうかと思いましたが、やっぱり例年の如く,赤坂氷川神社さんへ。
…

未分類
新嘗祭の日のお参りにどこに行こうかと思いましたが、やっぱり例年の如く,赤坂氷川神社さんへ。
…

未分類
新嘗祭の日のお参りにどこに行こうかと思いましたが、やっぱり例年の如く,赤坂氷川神社さんへ。
…

未分類
新嘗祭の日のお参りにどこに行こうかと思いましたが、やっぱり例年の如く,赤坂氷川神社さんへ。
…

未分類
新嘗祭の日のお参りにどこに行こうかと思いましたが、やっぱり例年の如く,赤坂氷川神社さんへ。
…

未分類
新嘗祭の日のお参りにどこに行こうかと思いましたが、やっぱり例年の如く,赤坂氷川神社さんへ。
…

未分類
新嘗祭の日のお参りにどこに行こうかと思いましたが、やっぱり例年の如く,赤坂氷川神社さんへ。
…

未分類
新嘗祭の日のお参りにどこに行こうかと思いましたが、やっぱり例年の如く,赤坂氷川神社さんへ。
…

未分類
新嘗祭なのでお詣りに🙏🏼
大銀杏の紅葉も進んでいると思って楽しみに伺いました🚗💨
銀杏はすっかり黄…

未分類
新嘗祭なのでお詣りに🙏🏼
大銀杏の紅葉も進んでいると思って楽しみに伺いました🚗💨
銀杏はすっかり黄…

未分類
新嘗祭なのでお詣りに🙏🏼
大銀杏の紅葉も進んでいると思って楽しみに伺いました🚗💨
銀杏はすっかり黄…

未分類
新嘗祭なのでお詣りに🙏🏼
大銀杏の紅葉も進んでいると思って楽しみに伺いました🚗💨
銀杏はすっかり黄…

未分類
新嘗祭なのでお詣りに🙏🏼
大銀杏の紅葉も進んでいると思って楽しみに伺いました🚗💨
銀杏はすっかり黄…

未分類
新嘗祭なのでお詣りに🙏🏼
大銀杏の紅葉も進んでいると思って楽しみに伺いました🚗💨
銀杏はすっかり黄…

未分類
新嘗祭なのでお詣りに🙏🏼
大銀杏の紅葉も進んでいると思って楽しみに伺いました🚗💨
銀杏はすっかり黄…

未分類
新嘗祭なのでお詣りに🙏🏼
大銀杏の紅葉も進んでいると思って楽しみに伺いました🚗💨
銀杏はすっかり黄…

未分類
新嘗祭なのでお詣りに🙏🏼
大銀杏の紅葉も進んでいると思って楽しみに伺いました🚗💨
銀杏はすっかり黄…

未分類
新嘗祭なのでお詣りに🙏🏼
大銀杏の紅葉も進んでいると思って楽しみに伺いました🚗💨
銀杏はすっかり黄…

未分類
新嘗祭なのでお詣りに🙏🏼
大銀杏の紅葉も進んでいると思って楽しみに伺いました🚗💨
銀杏はすっかり黄…

未分類
新嘗祭なのでお詣りに🙏🏼
大銀杏の紅葉も進んでいると思って楽しみに伺いました🚗💨
銀杏はすっかり黄…

未分類
新嘗祭なのでお詣りに🙏🏼
大銀杏の紅葉も進んでいると思って楽しみに伺いました🚗💨
銀杏はすっかり黄…

未分類
新嘗祭なのでお詣りに🙏🏼
大銀杏の紅葉も進んでいると思って楽しみに伺いました🚗💨
銀杏はすっかり黄…

未分類
新嘗祭なのでお詣りに🙏🏼
大銀杏の紅葉も進んでいると思って楽しみに伺いました🚗💨
銀杏はすっかり黄…

未分類
新嘗祭なのでお詣りに🙏🏼
大銀杏の紅葉も進んでいると思って楽しみに伺いました🚗💨
銀杏はすっかり黄…

未分類
新嘗祭なのでお詣りに🙏🏼
大銀杏の紅葉も進んでいると思って楽しみに伺いました🚗💨
銀杏はすっかり黄…

未分類
新嘗祭なのでお詣りに🙏🏼
大銀杏の紅葉も進んでいると思って楽しみに伺いました🚗💨
銀杏はすっかり黄…

未分類
新嘗祭なのでお詣りに🙏🏼
大銀杏の紅葉も進んでいると思って楽しみに伺いました🚗💨
銀杏はすっかり黄…

未分類
新嘗祭なのでお詣りに🙏🏼
大銀杏の紅葉も進んでいると思って楽しみに伺いました🚗💨
銀杏はすっかり黄…

未分類
新嘗祭なのでお詣りに🙏🏼
大銀杏の紅葉も進んでいると思って楽しみに伺いました🚗💨
銀杏はすっかり黄…

未分類
新嘗祭なのでお詣りに🙏🏼
大銀杏の紅葉も進んでいると思って楽しみに伺いました🚗💨
銀杏はすっかり黄…

未分類
新嘗祭なのでお詣りに🙏🏼
大銀杏の紅葉も進んでいると思って楽しみに伺いました🚗💨
銀杏はすっかり黄…

未分類
新嘗祭なのでお詣りに🙏🏼
大銀杏の紅葉も進んでいると思って楽しみに伺いました🚗💨
銀杏はすっかり黄…

未分類
新嘗祭なのでお詣りに🙏🏼
大銀杏の紅葉も進んでいると思って楽しみに伺いました🚗💨
銀杏はすっかり黄…

未分類
新嘗祭なのでお詣りに🙏🏼
大銀杏の紅葉も進んでいると思って楽しみに伺いました🚗💨
銀杏はすっかり黄…

未分類
新嘗祭なのでお詣りに🙏🏼
大銀杏の紅葉も進んでいると思って楽しみに伺いました🚗💨
銀杏はすっかり黄…

未分類
仕事の後、六本木方面に行こうと言うことになり立ち寄りました。
すでに19時を回っていたので大分薄…

未分類
仕事の後、六本木方面に行こうと言うことになり立ち寄りました。
すでに19時を回っていたので大分薄…

未分類
仕事の後、六本木方面に行こうと言うことになり立ち寄りました。
すでに19時を回っていたので大分薄…

未分類
過去の参拝記録
新嘗祭限定御朱印、境内の梔子染め

未分類
過去の参拝記録
新嘗祭限定御朱印、境内の梔子染め

未分類
過去の参拝記録
新嘗祭限定御朱印、境内の梔子染め

未分類
過去の参拝記録
新嘗祭限定御朱印、境内の梔子染め

未分類
過去の参拝記録
新嘗祭限定御朱印、境内の梔子染め

未分類
一緒に行った仲間がこちらを参拝し、東京十社めぐりが完成しました。自分はあと一社です。

未分類
一緒に行った仲間がこちらを参拝し、東京十社めぐりが完成しました。自分はあと一社です。

未分類
一緒に行った仲間がこちらを参拝し、東京十社めぐりが完成しました。自分はあと一社です。

未分類
毎年楽しませて頂いている赤坂氷川神社さんの大銀杏の紅葉…先日、黄色く色づきが八部位だったので、改め…

未分類
毎年楽しませて頂いている赤坂氷川神社さんの大銀杏の紅葉…先日、黄色く色づきが八部位だったので、改め…

未分類
毎年楽しませて頂いている赤坂氷川神社さんの大銀杏の紅葉…先日、黄色く色づきが八部位だったので、改め…

未分類
毎年楽しませて頂いている赤坂氷川神社さんの大銀杏の紅葉…先日、黄色く色づきが八部位だったので、改め…

未分類
毎年楽しませて頂いている赤坂氷川神社さんの大銀杏の紅葉…先日、黄色く色づきが八部位だったので、改め…

未分類
毎年楽しませて頂いている赤坂氷川神社さんの大銀杏の紅葉…先日、黄色く色づきが八部位だったので、改め…

未分類
毎年楽しませて頂いている赤坂氷川神社さんの大銀杏の紅葉…先日、黄色く色づきが八部位だったので、改め…

未分類
毎年楽しませて頂いている赤坂氷川神社さんの大銀杏の紅葉…先日、黄色く色づきが八部位だったので、改め…

未分類
毎年楽しませて頂いている赤坂氷川神社さんの大銀杏の紅葉…先日、黄色く色づきが八部位だったので、改め…

未分類
毎年楽しませて頂いている赤坂氷川神社さんの大銀杏の紅葉…先日、黄色く色づきが八部位だったので、改め…

未分類
毎年楽しませて頂いている赤坂氷川神社さんの大銀杏の紅葉…先日、黄色く色づきが八部位だったので、改め…

未分類
毎年楽しませて頂いている赤坂氷川神社さんの大銀杏の紅葉…先日、黄色く色づきが八部位だったので、改め…

未分類
毎年楽しませて頂いている赤坂氷川神社さんの大銀杏の紅葉…先日、黄色く色づきが八部位だったので、改め…

未分類
毎年楽しませて頂いている赤坂氷川神社さんの大銀杏の紅葉…先日、黄色く色づきが八部位だったので、改め…

未分類
毎年楽しませて頂いている赤坂氷川神社さんの大銀杏の紅葉…先日、黄色く色づきが八部位だったので、改め…

未分類
毎年楽しませて頂いている赤坂氷川神社さんの大銀杏の紅葉…先日、黄色く色づきが八部位だったので、改め…

未分類
毎年楽しませて頂いている赤坂氷川神社さんの大銀杏の紅葉…先日、黄色く色づきが八部位だったので、改め…

未分類
毎年楽しませて頂いている赤坂氷川神社さんの大銀杏の紅葉…先日、黄色く色づきが八部位だったので、改め…

未分類
毎年楽しませて頂いている赤坂氷川神社さんの大銀杏の紅葉…先日、黄色く色づきが八部位だったので、改め…

未分類
都会にいることを忘れてしまう空間です。
広い敷地に年月を重ねた御神木。
紅く色づき始めた樹々を…

未分類
都会にいることを忘れてしまう空間です。
広い敷地に年月を重ねた御神木。
紅く色づき始めた樹々を…

未分類
都会にいることを忘れてしまう空間です。
広い敷地に年月を重ねた御神木。
紅く色づき始めた樹々を…

未分類
都会にいることを忘れてしまう空間です。
広い敷地に年月を重ねた御神木。
紅く色づき始めた樹々を…

未分類
都会にいることを忘れてしまう空間です。
広い敷地に年月を重ねた御神木。
紅く色づき始めた樹々を…

未分類
都会にいることを忘れてしまう空間です。
広い敷地に年月を重ねた御神木。
紅く色づき始めた樹々を…

未分類
都会にいることを忘れてしまう空間です。
広い敷地に年月を重ねた御神木。
紅く色づき始めた樹々を…

未分類
都会にいることを忘れてしまう空間です。
広い敷地に年月を重ねた御神木。
紅く色づき始めた樹々を…

未分類
都会にいることを忘れてしまう空間です。
広い敷地に年月を重ねた御神木。
紅く色づき始めた樹々を…

未分類
都会にいることを忘れてしまう空間です。
広い敷地に年月を重ねた御神木。
紅く色づき始めた樹々を…

未分類
都会にいることを忘れてしまう空間です。
広い敷地に年月を重ねた御神木。
紅く色づき始めた樹々を…

未分類
都会にいることを忘れてしまう空間です。
広い敷地に年月を重ねた御神木。
紅く色づき始めた樹々を…

未分類
都会にいることを忘れてしまう空間です。
広い敷地に年月を重ねた御神木。
紅く色づき始めた樹々を…

未分類
都会にいることを忘れてしまう空間です。
広い敷地に年月を重ねた御神木。
紅く色づき始めた樹々を…

未分類
都会にいることを忘れてしまう空間です。
広い敷地に年月を重ねた御神木。
紅く色づき始めた樹々を…

未分類
Such an beautiful 神社

未分類
Such an beautiful 神社

未分類
赤坂は馴染みのない街です。東京十社制覇に向けて最後の訪問となりました。この日は富岡八幡宮だけのつも…

未分類
赤坂は馴染みのない街です。東京十社制覇に向けて最後の訪問となりました。この日は富岡八幡宮だけのつも…

未分類
赤坂は馴染みのない街です。東京十社制覇に向けて最後の訪問となりました。この日は富岡八幡宮だけのつも…

未分類
赤坂氷川神社〜境内社・四合(しあわせ)稲荷

未分類
赤坂氷川神社〜通常御朱印・11年前のもの 2014 年(平成26年)6月

未分類
赤坂氷川神社〜通常御朱印

未分類
赤坂氷川神社〜御朱印・月参り御朱印「かさね」11月紅葉🍁

未分類
赤坂氷川神社〜大銀杏

未分類
赤坂氷川神社〜包丁塚🔪

未分類
赤坂氷川神社〜太鼓橋

未分類
赤坂氷川神社〜境内社・四合稲荷

未分類
赤坂氷川神社〜境内社・西行稲荷横の祠

未分類
赤坂氷川神社〜境内社・西行稲荷②

未分類
赤坂氷川神社〜境内社・西行稲荷①鳥居⛩️

未分類
赤坂氷川神社〜境内社・桶新稲荷

未分類
赤坂氷川神社〜境内社・山口稲荷

未分類
赤坂氷川神社〜境内社・九(く)神社

未分類
赤坂氷川神社〜絵馬②狩野豊久作🎠神馬

未分類
赤坂氷川神社〜絵馬①狩野豊久作🦁獅子

未分類
赤坂氷川神社〜御社殿

未分類
赤坂氷川神社〜中門

未分類
赤坂氷川神社〜三ノ鳥居向こうに中門

未分類
赤坂氷川神社〜ニノ鳥居横の狛犬②吽像 すごい迫力

未分類
赤坂氷川神社〜ニノ鳥居横の狛犬①阿像

未分類
赤坂氷川神社〜ニノ鳥居

未分類
赤坂氷川神社〜東側・一ノ鳥居

未分類
赤坂氷川神社〜東側・社号碑と奥に一ノ鳥居

未分類
赤坂氷川神社〜南側・社号碑と一ノ鳥居

未分類
東京都港区、赤坂氷川神社を参拝。
黄色く色づき始めた大銀杏が印象的でした。
天暦5年(951年)…

未分類
東京都港区、赤坂氷川神社を参拝。
黄色く色づき始めた大銀杏が印象的でした。
天暦5年(951年)…

未分類
東京都港区、赤坂氷川神社を参拝。
黄色く色づき始めた大銀杏が印象的でした。
天暦5年(951年)…

未分類
東京都港区、赤坂氷川神社を参拝。
黄色く色づき始めた大銀杏が印象的でした。
天暦5年(951年)…

未分類
勝海舟ゆかりの境内社・四合稲荷

未分類
東京都港区、赤坂氷川神社を参拝。
黄色く色づき始めた大銀杏が印象的でした。
天暦5年(951年)…

未分類
さくらんぼ結び

未分類
東京都港区、赤坂氷川神社を参拝。
黄色く色づき始めた大銀杏が印象的でした。
天暦5年(951年)…

未分類
東京都港区、赤坂氷川神社を参拝。
黄色く色づき始めた大銀杏が印象的でした。
天暦5年(951年)…

未分類
東京都港区、赤坂氷川神社を参拝。
黄色く色づき始めた大銀杏が印象的でした。
天暦5年(951年)…

未分類
東京都港区、赤坂氷川神社を参拝。
黄色く色づき始めた大銀杏が印象的でした。
天暦5年(951年)…

未分類
東京都港区、赤坂氷川神社を参拝。
黄色く色づき始めた大銀杏が印象的でした。
天暦5年(951年)…

未分類
東京都港区、赤坂氷川神社を参拝。
黄色く色づき始めた大銀杏が印象的でした。
天暦5年(951年)…

未分類
東京都港区、赤坂氷川神社を参拝。
黄色く色づき始めた大銀杏が印象的でした。
天暦5年(951年)…

未分類
大銀杏黄色く色づき始めてます。

未分類
東京都港区、赤坂氷川神社を参拝。
黄色く色づき始めた大銀杏が印象的でした。
天暦5年(951年)…

未分類
東京都港区、赤坂氷川神社を参拝。
黄色く色づき始めた大銀杏が印象的でした。
天暦5年(951年)…

未分類
東京都港区、赤坂氷川神社を参拝。
黄色く色づき始めた大銀杏が印象的でした。
天暦5年(951年)…

未分類
東京都港区、赤坂氷川神社を参拝。
黄色く色づき始めた大銀杏が印象的でした。
天暦5年(951年)…

未分類
月参りに伺いました。
赤坂氷川神社さんの銀杏の紅葉は、いつも他より早めだった気がして行きましたが…

未分類
月参りに伺いました。
赤坂氷川神社さんの銀杏の紅葉は、いつも他より早めだった気がして行きましたが…

未分類
月参りに伺いました。
赤坂氷川神社さんの銀杏の紅葉は、いつも他より早めだった気がして行きましたが…

未分類
月参りに伺いました。
赤坂氷川神社さんの銀杏の紅葉は、いつも他より早めだった気がして行きましたが…

未分類
月参りに伺いました。
赤坂氷川神社さんの銀杏の紅葉は、いつも他より早めだった気がして行きましたが…

未分類
月参りに伺いました。
赤坂氷川神社さんの銀杏の紅葉は、いつも他より早めだった気がして行きましたが…

未分類
月参りに伺いました。
赤坂氷川神社さんの銀杏の紅葉は、いつも他より早めだった気がして行きましたが…

未分類
月参りに伺いました。
赤坂氷川神社さんの銀杏の紅葉は、いつも他より早めだった気がして行きましたが…

未分類
月参りに伺いました。
赤坂氷川神社さんの銀杏の紅葉は、いつも他より早めだった気がして行きましたが…

未分類
月参りに伺いました。
赤坂氷川神社さんの銀杏の紅葉は、いつも他より早めだった気がして行きましたが…

未分類
月参りに伺いました。
赤坂氷川神社さんの銀杏の紅葉は、いつも他より早めだった気がして行きましたが…

未分類
月参りに伺いました。
赤坂氷川神社さんの銀杏の紅葉は、いつも他より早めだった気がして行きましたが…

未分類
月参りに伺いました。
赤坂氷川神社さんの銀杏の紅葉は、いつも他より早めだった気がして行きましたが…

未分類
月参りに伺いました。
赤坂氷川神社さんの銀杏の紅葉は、いつも他より早めだった気がして行きましたが…

未分類
今月のかさねを頂きました。

未分類
はじめて

未分類
月参りに赤坂氷川神社まで🚗💨
ナビがいつもと違う道を案内するので従って遠回りを🌀
前に遠回りを案内…

未分類
月参りに赤坂氷川神社まで🚗💨
ナビがいつもと違う道を案内するので従って遠回りを🌀
前に遠回りを案内…

未分類
月参りに赤坂氷川神社まで🚗💨
ナビがいつもと違う道を案内するので従って遠回りを🌀
前に遠回りを案内…

未分類
月参りに赤坂氷川神社まで🚗💨
ナビがいつもと違う道を案内するので従って遠回りを🌀
前に遠回りを案内…

未分類
月参りに赤坂氷川神社まで🚗💨
ナビがいつもと違う道を案内するので従って遠回りを🌀
前に遠回りを案内…

未分類
月参りに赤坂氷川神社まで🚗💨
ナビがいつもと違う道を案内するので従って遠回りを🌀
前に遠回りを案内…

未分類
月参りに赤坂氷川神社まで🚗💨
ナビがいつもと違う道を案内するので従って遠回りを🌀
前に遠回りを案内…

未分類
月参りに赤坂氷川神社まで🚗💨
ナビがいつもと違う道を案内するので従って遠回りを🌀
前に遠回りを案内…

未分類
月参りに赤坂氷川神社まで🚗💨
ナビがいつもと違う道を案内するので従って遠回りを🌀
前に遠回りを案内…

未分類
月参りに赤坂氷川神社まで🚗💨
ナビがいつもと違う道を案内するので従って遠回りを🌀
前に遠回りを案内…

未分類
月参りに赤坂氷川神社まで🚗💨
ナビがいつもと違う道を案内するので従って遠回りを🌀
前に遠回りを案内…

未分類
月参りに赤坂氷川神社まで🚗💨
ナビがいつもと違う道を案内するので従って遠回りを🌀
前に遠回りを案内…

未分類
月参りに赤坂氷川神社まで🚗💨
ナビがいつもと違う道を案内するので従って遠回りを🌀
前に遠回りを案内…

未分類
月参りに赤坂氷川神社まで🚗💨
ナビがいつもと違う道を案内するので従って遠回りを🌀
前に遠回りを案内…

未分類
月参りに赤坂氷川神社まで🚗💨
ナビがいつもと違う道を案内するので従って遠回りを🌀
前に遠回りを案内…

未分類
月参りに赤坂氷川神社まで🚗💨
ナビがいつもと違う道を案内するので従って遠回りを🌀
前に遠回りを案内…

未分類
月参りに赤坂氷川神社まで🚗💨
ナビがいつもと違う道を案内するので従って遠回りを🌀
前に遠回りを案内…

未分類
月参りに赤坂氷川神社まで🚗💨
ナビがいつもと違う道を案内するので従って遠回りを🌀
前に遠回りを案内…

未分類
月参りに赤坂氷川神社まで🚗💨
ナビがいつもと違う道を案内するので従って遠回りを🌀
前に遠回りを案内…

未分類
大きな銀杏の木が印象的な神宮さんです
また、大きく煌びやかな山車を見ることがてぎき、感動しました…

未分類
大きな銀杏の木が印象的な神宮さんです
また、大きく煌びやかな山車を見ることがてぎき、感動しました…

未分類
氷川神社

未分類
氷川神社

未分類
氷川神社

未分類
氷川神社

未分類
御朱印を直書きにて拝受しました。
とても落ち着いた佇まいでした。
写真にはありませんが、境内に…

未分類
御朱印を直書きにて拝受しました。
とても落ち着いた佇まいでした。
写真にはありませんが、境内に…

未分類
御朱印を直書きにて拝受しました。
とても落ち着いた佇まいでした。
写真にはありませんが、境内に…

未分類
御朱印を直書きにて拝受しました。
とても落ち着いた佇まいでした。
写真にはありませんが、境内に…

未分類
御朱印を直書きにて拝受しました。
とても落ち着いた佇まいでした。
写真にはありませんが、境内に…

未分類
御朱印を直書きにて拝受しました。
とても落ち着いた佇まいでした。
写真にはありませんが、境内に…

未分類
御朱印を直書きにて拝受しました。
とても落ち着いた佇まいでした。
写真にはありませんが、境内に…

未分類
御朱印を直書きにて拝受しました。
とても落ち着いた佇まいでした。
写真にはありませんが、境内に…

未分類
御朱印を直書きにて拝受しました。
とても落ち着いた佇まいでした。
写真にはありませんが、境内に…

未分類
2024.4.8
東京十社のひとつ赤坂氷川神社へ⟡.·
徳川家と深い繋がりがあるようです🙂↕️

未分類
2024.4.8
東京十社のひとつ赤坂氷川神社へ⟡.·
徳川家と深い繋がりがあるようです🙂↕️

未分類
神輿が飾ってあって嬉しかった。
何かの写真撮影をしていてあまり写真を撮れなかった。

未分類
神輿が飾ってあって嬉しかった。
何かの写真撮影をしていてあまり写真を撮れなかった。

未分類
神輿が飾ってあって嬉しかった。
何かの写真撮影をしていてあまり写真を撮れなかった。

未分類
神輿が飾ってあって嬉しかった。
何かの写真撮影をしていてあまり写真を撮れなかった。

未分類
雨の中、赤坂氷川神社へ参拝しました。
しっとりと濡れた参道や、雨に映える朱色の拝殿がとても美しく…

未分類
雨の中、赤坂氷川神社へ参拝しました。
しっとりと濡れた参道や、雨に映える朱色の拝殿がとても美しく…

未分類
雨の中、赤坂氷川神社へ参拝しました。
しっとりと濡れた参道や、雨に映える朱色の拝殿がとても美しく…

未分類
雨の中、赤坂氷川神社へ参拝しました。
しっとりと濡れた参道や、雨に映える朱色の拝殿がとても美しく…

未分類
雨の中、赤坂氷川神社へ参拝しました。
しっとりと濡れた参道や、雨に映える朱色の拝殿がとても美しく…

未分類
地下鉄寺社巡り9社目
六本木一丁目からかなり歩きました
疲れてベンチにちょっと座ったら蚊の餌食…

未分類
地下鉄寺社巡り9社目
六本木一丁目からかなり歩きました
疲れてベンチにちょっと座ったら蚊の餌食…

未分類
地下鉄寺社巡り9社目
六本木一丁目からかなり歩きました
疲れてベンチにちょっと座ったら蚊の餌食…

未分類
地下鉄寺社巡り9社目
六本木一丁目からかなり歩きました
疲れてベンチにちょっと座ったら蚊の餌食…

未分類
地下鉄寺社巡り9社目
六本木一丁目からかなり歩きました
疲れてベンチにちょっと座ったら蚊の餌食…

未分類
地下鉄寺社巡り9社目
六本木一丁目からかなり歩きました
疲れてベンチにちょっと座ったら蚊の餌食…

未分類
地下鉄寺社巡り9社目
六本木一丁目からかなり歩きました
疲れてベンチにちょっと座ったら蚊の餌食…

未分類
地下鉄寺社巡り9社目
六本木一丁目からかなり歩きました
疲れてベンチにちょっと座ったら蚊の餌食…

未分類
地下鉄寺社巡り9社目
六本木一丁目からかなり歩きました
疲れてベンチにちょっと座ったら蚊の餌食…

未分類
地下鉄寺社巡り9社目
六本木一丁目からかなり歩きました
疲れてベンチにちょっと座ったら蚊の餌食…

未分類
地下鉄寺社巡り9社目
六本木一丁目からかなり歩きました
疲れてベンチにちょっと座ったら蚊の餌食…

未分類
地下鉄寺社巡り9社目
六本木一丁目からかなり歩きました
疲れてベンチにちょっと座ったら蚊の餌食…

未分類
地下鉄寺社巡り9社目
六本木一丁目からかなり歩きました
疲れてベンチにちょっと座ったら蚊の餌食…

未分類
地下鉄寺社巡り9社目
六本木一丁目からかなり歩きました
疲れてベンチにちょっと座ったら蚊の餌食…

未分類
地下鉄寺社巡り9社目
六本木一丁目からかなり歩きました
疲れてベンチにちょっと座ったら蚊の餌食…

未分類
四合稲荷神社

未分類
月参りに伺いました。
丁度境内では挙式された方中心に集合写真や、新郎新婦のみの写真などの撮影…

未分類
月参りに伺いました。
丁度境内では挙式された方中心に集合写真や、新郎新婦のみの写真などの撮影…

未分類
中では結婚式の方の撮影会中。お幸せに^ - ^

未分類
月参りに伺いました。
丁度境内では挙式された方中心に集合写真や、新郎新婦のみの写真などの撮影…

未分類
月参りに伺いました。
丁度境内では挙式された方中心に集合写真や、新郎新婦のみの写真などの撮影…

未分類
月参りに伺いました。
丁度境内では挙式された方中心に集合写真や、新郎新婦のみの写真などの撮影…

未分類
月参り御朱印かさね「菊」

未分類
10月の月参り🚗💨
9時からお勤めが始まって参加させていただきました🙏🏼
いつも以上に外国の方…

未分類
10月の月参り🚗💨
9時からお勤めが始まって参加させていただきました🙏🏼
いつも以上に外国の方…

未分類
10月の月参り🚗💨
9時からお勤めが始まって参加させていただきました🙏🏼
いつも以上に外国の方…

未分類
10月の月参り🚗💨
9時からお勤めが始まって参加させていただきました🙏🏼
いつも以上に外国の方…

未分類
10月の月参り🚗💨
9時からお勤めが始まって参加させていただきました🙏🏼
いつも以上に外国の方…

未分類
10月の月参り🚗💨
9時からお勤めが始まって参加させていただきました🙏🏼
いつも以上に外国の方…

未分類
10月の月参り🚗💨
9時からお勤めが始まって参加させていただきました🙏🏼
いつも以上に外国の方…

未分類
10月の月参り🚗💨
9時からお勤めが始まって参加させていただきました🙏🏼
いつも以上に外国の方…

未分類
可愛い御朱印帳目当てで訪れました。
平日にも関わらず、人がそこそこいました。

未分類
御朱印帳にあったものです。

未分類
この日最後は日枝神社から徒歩で15分くらい、こちらも東京十社の赤坂氷川神社に参拝いたいました。これ…

未分類
この日最後は日枝神社から徒歩で15分くらい、こちらも東京十社の赤坂氷川神社に参拝いたいました。これ…

未分類
この日最後は日枝神社から徒歩で15分くらい、こちらも東京十社の赤坂氷川神社に参拝いたいました。これ…

未分類
この日最後は日枝神社から徒歩で15分くらい、こちらも東京十社の赤坂氷川神社に参拝いたいました。これ…

未分類
この日最後は日枝神社から徒歩で15分くらい、こちらも東京十社の赤坂氷川神社に参拝いたいました。これ…

未分類
こちら方面への用事があり、赤坂駅からいつもの道順を歩き、参拝に伺いました。
月参りは済ませていま…

未分類
こちら方面への用事があり、赤坂駅からいつもの道順を歩き、参拝に伺いました。
月参りは済ませていま…

未分類
こちら方面への用事があり、赤坂駅からいつもの道順を歩き、参拝に伺いました。
月参りは済ませていま…

未分類
こちら方面への用事があり、赤坂駅からいつもの道順を歩き、参拝に伺いました。
月参りは済ませていま…

未分類
こちら方面への用事があり、赤坂駅からいつもの道順を歩き、参拝に伺いました。
月参りは済ませていま…

未分類
こちら方面への用事があり、赤坂駅からいつもの道順を歩き、参拝に伺いました。
月参りは済ませていま…

未分類
こちら方面への用事があり、赤坂駅からいつもの道順を歩き、参拝に伺いました。
月参りは済ませていま…

未分類
こちら方面への用事があり、赤坂駅からいつもの道順を歩き、参拝に伺いました。
月参りは済ませていま…

未分類
こちら方面への用事があり、赤坂駅からいつもの道順を歩き、参拝に伺いました。
月参りは済ませていま…

未分類
こちら方面への用事があり、赤坂駅からいつもの道順を歩き、参拝に伺いました。
月参りは済ませていま…

未分類
こちら方面への用事があり、赤坂駅からいつもの道順を歩き、参拝に伺いました。
月参りは済ませていま…

未分類
こちら方面への用事があり、赤坂駅からいつもの道順を歩き、参拝に伺いました。
月参りは済ませていま…

未分類
こちら方面への用事があり、赤坂駅からいつもの道順を歩き、参拝に伺いました。
月参りは済ませていま…

未分類
こちら方面への用事があり、赤坂駅からいつもの道順を歩き、参拝に伺いました。
月参りは済ませていま…

未分類
こちら方面への用事があり、赤坂駅からいつもの道順を歩き、参拝に伺いました。
月参りは済ませていま…

未分類
こちら方面への用事があり、赤坂駅からいつもの道順を歩き、参拝に伺いました。
月参りは済ませていま…

未分類
こちら方面への用事があり、赤坂駅からいつもの道順を歩き、参拝に伺いました。
月参りは済ませていま…

未分類
こちら方面への用事があり、赤坂駅からいつもの道順を歩き、参拝に伺いました。
月参りは済ませていま…

未分類
こちら方面への用事があり、赤坂駅からいつもの道順を歩き、参拝に伺いました。
月参りは済ませていま…

未分類
こちら方面への用事があり、赤坂駅からいつもの道順を歩き、参拝に伺いました。
月参りは済ませていま…

未分類
こちら方面への用事があり、赤坂駅からいつもの道順を歩き、参拝に伺いました。
月参りは済ませていま…

未分類
こちら方面への用事があり、赤坂駅からいつもの道順を歩き、参拝に伺いました。
月参りは済ませていま…

未分類
こちら方面への用事があり、赤坂駅からいつもの道順を歩き、参拝に伺いました。
月参りは済ませていま…

未分類
例祭の,重ね御朱印です。

未分類
妻と参拝

未分類
参拝させて頂きました

未分類
今月の月参り🙏🏼
9時に伺うと神職さんがおつとめしてて幣で外の参拝者の方までわさーってして下さる…

未分類
今月の月参り🙏🏼
9時に伺うと神職さんがおつとめしてて幣で外の参拝者の方までわさーってして下さる…

未分類
今月の月参り🙏🏼
9時に伺うと神職さんがおつとめしてて幣で外の参拝者の方までわさーってして下さる…

未分類
今月の月参り🙏🏼
9時に伺うと神職さんがおつとめしてて幣で外の参拝者の方までわさーってして下さる…

未分類
今月の月参り🙏🏼
9時に伺うと神職さんがおつとめしてて幣で外の参拝者の方までわさーってして下さる…

未分類
今月の月参り🙏🏼
9時に伺うと神職さんがおつとめしてて幣で外の参拝者の方までわさーってして下さる…

未分類
今月の月参り🙏🏼
9時に伺うと神職さんがおつとめしてて幣で外の参拝者の方までわさーってして下さる…

未分類
今月の月参り🙏🏼
9時に伺うと神職さんがおつとめしてて幣で外の参拝者の方までわさーってして下さる…

未分類
今月の月参り🙏🏼
9時に伺うと神職さんがおつとめしてて幣で外の参拝者の方までわさーってして下さる…

未分類
今月の月参り🙏🏼
9時に伺うと神職さんがおつとめしてて幣で外の参拝者の方までわさーってして下さる…

未分類
今月の月参り🙏🏼
9時に伺うと神職さんがおつとめしてて幣で外の参拝者の方までわさーってして下さる…

未分類
今月の月参り🙏🏼
9時に伺うと神職さんがおつとめしてて幣で外の参拝者の方までわさーってして下さる…

未分類
今月の月参り🙏🏼
9時に伺うと神職さんがおつとめしてて幣で外の参拝者の方までわさーってして下さる…

未分類
今月の月参り🙏🏼
9時に伺うと神職さんがおつとめしてて幣で外の参拝者の方までわさーってして下さる…

未分類
今月の月参り🙏🏼
9時に伺うと神職さんがおつとめしてて幣で外の参拝者の方までわさーってして下さる…

未分類
今月の月参り🙏🏼
9時に伺うと神職さんがおつとめしてて幣で外の参拝者の方までわさーってして下さる…

未分類
今月の月参り🙏🏼
9時に伺うと神職さんがおつとめしてて幣で外の参拝者の方までわさーってして下さる…

未分類
今月の月参り🙏🏼
9時に伺うと神職さんがおつとめしてて幣で外の参拝者の方までわさーってして下さる…

未分類
今月の月参り🙏🏼
9時に伺うと神職さんがおつとめしてて幣で外の参拝者の方までわさーってして下さる…

未分類
今月の月参り🙏🏼
9時に伺うと神職さんがおつとめしてて幣で外の参拝者の方までわさーってして下さる…

未分類
月参りに伺いました。
いつものように赤坂から歩き、四合稲荷神社さん側から。
今年はここの紅葉の…

未分類
月参りに伺いました。
いつものように赤坂から歩き、四合稲荷神社さん側から。
今年はここの紅葉の…

未分類
月参りに伺いました。
いつものように赤坂から歩き、四合稲荷神社さん側から。
今年はここの紅葉の…

未分類
月参りに伺いました。
いつものように赤坂から歩き、四合稲荷神社さん側から。
今年はここの紅葉の…

未分類
月参りに伺いました。
いつものように赤坂から歩き、四合稲荷神社さん側から。
今年はここの紅葉の…

未分類
月参りに伺いました。
いつものように赤坂から歩き、四合稲荷神社さん側から。
今年はここの紅葉の…

未分類
月参りに伺いました。
いつものように赤坂から歩き、四合稲荷神社さん側から。
今年はここの紅葉の…

未分類
月参りに伺いました。
いつものように赤坂から歩き、四合稲荷神社さん側から。
今年はここの紅葉の…

未分類
月参りに伺いました。
いつものように赤坂から歩き、四合稲荷神社さん側から。
今年はここの紅葉の…

未分類
月参りに伺いました。
いつものように赤坂から歩き、四合稲荷神社さん側から。
今年はここの紅葉の…

未分類
今月のかさね御朱印頂きました。

未分類
赤坂氷川神社 東京都 参拝

未分類
赤坂氷川神社 東京都 参拝

未分類
赤坂氷川神社 東京都 参拝

未分類
赤坂氷川神社 東京都 参拝

未分類
赤坂氷川神社 東京都 参拝

未分類
都内で一番好きな赤坂氷川神社さん
アメリカ大使館の裏手にあり、自然豊かで派手過ぎない感じがお気に…

未分類
都内で一番好きな赤坂氷川神社さん
アメリカ大使館の裏手にあり、自然豊かで派手過ぎない感じがお気に…

未分類
都内で一番好きな赤坂氷川神社さん
アメリカ大使館の裏手にあり、自然豊かで派手過ぎない感じがお気に…

未分類
都内で一番好きな赤坂氷川神社さん
アメリカ大使館の裏手にあり、自然豊かで派手過ぎない感じがお気に…

未分類
都内で一番好きな赤坂氷川神社さん
アメリカ大使館の裏手にあり、自然豊かで派手過ぎない感じがお気に…

未分類
都内で一番好きな赤坂氷川神社さん
アメリカ大使館の裏手にあり、自然豊かで派手過ぎない感じがお気に…

未分類
都内で一番好きな赤坂氷川神社さん
アメリカ大使館の裏手にあり、自然豊かで派手過ぎない感じがお気に…

未分類
都内で一番好きな赤坂氷川神社さん
アメリカ大使館の裏手にあり、自然豊かで派手過ぎない感じがお気に…

未分類
都内で一番好きな赤坂氷川神社さん
アメリカ大使館の裏手にあり、自然豊かで派手過ぎない感じがお気に…

未分類
都内で一番好きな赤坂氷川神社さん
アメリカ大使館の裏手にあり、自然豊かで派手過ぎない感じがお気に…

未分類
都内で一番好きな赤坂氷川神社さん
アメリカ大使館の裏手にあり、自然豊かで派手過ぎない感じがお気に…

未分類
都内で一番好きな赤坂氷川神社さん
アメリカ大使館の裏手にあり、自然豊かで派手過ぎない感じがお気に…

未分類
2025/08/04
直書きの御朱印をいただきました。
東京十社巡り㊃

未分類
2025/08/04
直書きの御朱印をいただきました。
東京十社巡り㊃

未分類
2025/08/04
直書きの御朱印をいただきました。
東京十社巡り㊃

未分類
2025/08/04
直書きの御朱印をいただきました。
東京十社巡り㊃

未分類
2025/08/04
直書きの御朱印をいただきました。
東京十社巡り㊃

未分類
2025/08/04
直書きの御朱印をいただきました。
東京十社巡り㊃

未分類
2025/08/04
直書きの御朱印をいただきました。
東京十社巡り㊃

未分類
2025/08/04
直書きの御朱印をいただきました。
東京十社巡り㊃

未分類
2025/08/04
直書きの御朱印をいただきました。
東京十社巡り㊃

未分類
2025/08/04
直書きの御朱印をいただきました。
東京十社巡り㊃

未分類
2025/08/04
直書きの御朱印をいただきました。
東京十社巡り㊃

未分類
2025/08/04
直書きの御朱印をいただきました。
東京十社巡り㊃

未分類
2025/08/04
直書きの御朱印をいただきました。
東京十社巡り㊃

未分類
2025/08/04
直書きの御朱印をいただきました。
東京十社巡り㊃

未分類
2025/08/04
直書きの御朱印をいただきました。
東京十社巡り㊃

未分類
2025/08/04
直書きの御朱印をいただきました。
東京十社巡り㊃

未分類
2025/08/04
直書きの御朱印をいただきました。
東京十社巡り㊃

未分類
2025/08/04
直書きの御朱印をいただきました。
東京十社巡り㊃

未分類
2025/08/04
直書きの御朱印をいただきました。
東京十社巡り㊃

未分類
2025/08/04
直書きの御朱印をいただきました。
東京十社巡り㊃

未分類
2025/08/04
直書きの御朱印をいただきました。
東京十社巡り㊃

未分類
2025/08/04
直書きの御朱印をいただきました。
東京十社巡り㊃

未分類
2025/08/04
直書きの御朱印をいただきました。
東京十社巡り㊃

未分類
2025/08/04
直書きの御朱印をいただきました。
東京十社巡り㊃

未分類
2025/08/04
直書きの御朱印をいただきました。
東京十社巡り㊃

未分類
2025/08/04
直書きの御朱印をいただきました。
東京十社巡り㊃

未分類
2025/08/04
直書きの御朱印をいただきました。
東京十社巡り㊃

未分類
2025/08/04
直書きの御朱印をいただきました。
東京十社巡り㊃

未分類
2025/08/04
赤坂氷川神社境内の四合稲荷神社の真横です。石段を登った所にお社があります。

未分類
2025/08/04
赤坂氷川神社境内の四合稲荷神社の真横です。石段を登った所にお社があります。

未分類
2025/08/04
赤坂氷川神社境内の四合稲荷神社の真横です。石段を登った所にお社があります。

未分類
2025/08/04
赤坂氷川神社境内の四合稲荷神社の真横です。石段を登った所にお社があります。

未分類
2025/08/04
赤坂氷川神社境内の四合稲荷神社の真横です。石段を登った所にお社があります。

未分類
朝イチで月参りに伺おうと思って車で向かいました🚗💨
なぜか強引な割り込みで急ブレーキを踏むことばっ…

未分類
朝イチで月参りに伺おうと思って車で向かいました🚗💨
なぜか強引な割り込みで急ブレーキを踏むことばっ…

未分類
朝イチで月参りに伺おうと思って車で向かいました🚗💨
なぜか強引な割り込みで急ブレーキを踏むことばっ…

未分類
朝イチで月参りに伺おうと思って車で向かいました🚗💨
なぜか強引な割り込みで急ブレーキを踏むことばっ…

未分類
朝イチで月参りに伺おうと思って車で向かいました🚗💨
なぜか強引な割り込みで急ブレーキを踏むことばっ…

未分類
朝イチで月参りに伺おうと思って車で向かいました🚗💨
なぜか強引な割り込みで急ブレーキを踏むことばっ…

未分類
朝イチで月参りに伺おうと思って車で向かいました🚗💨
なぜか強引な割り込みで急ブレーキを踏むことばっ…

未分類
朝イチで月参りに伺おうと思って車で向かいました🚗💨
なぜか強引な割り込みで急ブレーキを踏むことばっ…

未分類
朝イチで月参りに伺おうと思って車で向かいました🚗💨
なぜか強引な割り込みで急ブレーキを踏むことばっ…

未分類
朝イチで月参りに伺おうと思って車で向かいました🚗💨
なぜか強引な割り込みで急ブレーキを踏むことばっ…

未分類
朝イチで月参りに伺おうと思って車で向かいました🚗💨
なぜか強引な割り込みで急ブレーキを踏むことばっ…

未分類
朝イチで月参りに伺おうと思って車で向かいました🚗💨
なぜか強引な割り込みで急ブレーキを踏むことばっ…

未分類
初参拝。都会の喧騒の中に荘厳に構えていらっしゃいます。心が洗われます。

未分類
初参拝。都会の喧騒の中に荘厳に構えていらっしゃいます。心が洗われます。

未分類
初参拝。都会の喧騒の中に荘厳に構えていらっしゃいます。心が洗われます。

未分類
初参拝。都会の喧騒の中に荘厳に構えていらっしゃいます。心が洗われます。

未分類
初参拝。都会の喧騒の中に荘厳に構えていらっしゃいます。心が洗われます。

未分類
初参拝。都会の喧騒の中に荘厳に構えていらっしゃいます。心が洗われます。

未分類
直書

未分類
月参りに伺いました。
この暑さのせいか、こちらの手水舎にお花が入れられてないことに初めて気づ…

未分類
頑張れ!

未分類
月参りに伺いました。
この暑さのせいか、こちらの手水舎にお花が入れられてないことに初めて気づ…

未分類
月参りに伺いました。
この暑さのせいか、こちらの手水舎にお花が入れられてないことに初めて気づ…

未分類
月参りに伺いました。
この暑さのせいか、こちらの手水舎にお花が入れられてないことに初めて気づ…

未分類
月参りに伺いました。
この暑さのせいか、こちらの手水舎にお花が入れられてないことに初めて気づ…

未分類
月参りに伺いました。
この暑さのせいか、こちらの手水舎にお花が入れられてないことに初めて気づ…

未分類
月参りに伺いました。
この暑さのせいか、こちらの手水舎にお花が入れられてないことに初めて気づ…

未分類
御朱印

未分類
御神木

未分類
十四社目
赤坂氷川神社を参拝しました。
東京十社達成しました。

未分類
拝殿

未分類
十四社目
赤坂氷川神社を参拝しました。
東京十社達成しました。

未分類
鳥居

未分類
書置き

未分類
こちらは書き入れていただく

未分類
東京十社の御朱印帳忘れたので、書置きでいただく。

未分類
二の鳥居。
そして、南側の参道に繋がる

未分類
階段上がると

未分類
東京十社 5社目 赤坂氷川神社
境内に入ると、緑の世界!
都会の神社とは思えない雰囲気。
…

未分類
西行稲荷
なぜか怖かった。なんともいえない雰囲気

未分類
四合稲荷

未分類
東京十社 5社目 赤坂氷川神社
境内に入ると、緑の世界!
都会の神社とは思えない雰囲気。
…

未分類
太鼓橋

未分類
東側の一の鳥居

未分類
東京十社 5社目 赤坂氷川神社
境内に入ると、緑の世界!
都会の神社とは思えない雰囲気。
…

未分類
東京十社 5社目 赤坂氷川神社
境内に入ると、緑の世界!
都会の神社とは思えない雰囲気。
…

未分類
左側の参道

未分類
山口稲荷

未分類
包丁塚

未分類
九神社

未分類
本殿

未分類
東京十社 5社目 赤坂氷川神社
境内に入ると、緑の世界!
都会の神社とは思えない雰囲気。
…

未分類
三の鳥居

未分類
東京十社 5社目 赤坂氷川神社
境内に入ると、緑の世界!
都会の神社とは思えない雰囲気。
…

未分類
南側の一の鳥居

未分類
東京十社 5社目 赤坂氷川神社
境内に入ると、緑の世界!
都会の神社とは思えない雰囲気。
…

未分類
南側の参道入ると、蝶が飛んでいました。誘われたように感じました。

未分類
新しい財布を立て続けに買いました👛
先週は神田明神でお願いしてきました🙏🏼
今回の財布は赤坂氷川神…

未分類
新しい財布を立て続けに買いました👛
先週は神田明神でお願いしてきました🙏🏼
今回の財布は赤坂氷川神…

未分類
新しい財布を立て続けに買いました👛
先週は神田明神でお願いしてきました🙏🏼
今回の財布は赤坂氷川神…

未分類
新しい財布を立て続けに買いました👛
先週は神田明神でお願いしてきました🙏🏼
今回の財布は赤坂氷川神…

未分類
新しい財布を立て続けに買いました👛
先週は神田明神でお願いしてきました🙏🏼
今回の財布は赤坂氷川神…

未分類
新しい財布を立て続けに買いました👛
先週は神田明神でお願いしてきました🙏🏼
今回の財布は赤坂氷川神…

未分類
新しい財布を立て続けに買いました👛
先週は神田明神でお願いしてきました🙏🏼
今回の財布は赤坂氷川神…

未分類
新しい財布を立て続けに買いました👛
先週は神田明神でお願いしてきました🙏🏼
今回の財布は赤坂氷川神…

未分類
新しい財布を立て続けに買いました👛
先週は神田明神でお願いしてきました🙏🏼
今回の財布は赤坂氷川神…

未分類
新しい財布を立て続けに買いました👛
先週は神田明神でお願いしてきました🙏🏼
今回の財布は赤坂氷川神…

未分類
月参りに行きました。
今月は、月替わりの月参り御朱印の他,年に何度か頒布される季節の御朱印の一つ…

未分類
四合稲荷側の参道

未分類
西行稲荷神社🙏

未分類
右手に🙏

未分類
月参りに行きました。
今月は、月替わりの月参り御朱印の他,年に何度か頒布される季節の御朱印の一つ…

未分類
月参りに行きました。
今月は、月替わりの月参り御朱印の他,年に何度か頒布される季節の御朱印の一つ…

未分類
月参りに行きました。
今月は、月替わりの月参り御朱印の他,年に何度か頒布される季節の御朱印の一つ…

未分類
石段降りて、四合稲荷神社🙏 いつもたっていない幟が立っていました!!

未分類
月参りに行きました。
今月は、月替わりの月参り御朱印の他,年に何度か頒布される季節の御朱印の一つ…

未分類
まだ設置されていました

未分類
月参りに行きました。
今月は、月替わりの月参り御朱印の他,年に何度か頒布される季節の御朱印の一つ…

未分類
月参りに行きました。
今月は、月替わりの月参り御朱印の他,年に何度か頒布される季節の御朱印の一つ…

未分類
短冊はこちらへ

未分類
短冊が用意されています。

未分類
🍒

未分類
いつもの光景

未分類
月参りに行きました。
今月は、月替わりの月参り御朱印の他,年に何度か頒布される季節の御朱印の一つ…

未分類
月参りに行きました。
今月は、月替わりの月参り御朱印の他,年に何度か頒布される季節の御朱印の一つ…

未分類
月参りに行きました。
今月は、月替わりの月参り御朱印の他,年に何度か頒布される季節の御朱印の一つ…

未分類
赤坂氷川神社にお参りしてきました。
赤坂という都会とは思えない落ち着いた雰囲気のある神社です。
立…

未分類
赤坂氷川神社にお参りしてきました。
赤坂という都会とは思えない落ち着いた雰囲気のある神社です。
立…

未分類
赤坂氷川神社にお参りしてきました。
赤坂という都会とは思えない落ち着いた雰囲気のある神社です。
立…

未分類
赤坂氷川神社にお参りしてきました。
赤坂という都会とは思えない落ち着いた雰囲気のある神社です。
立…

未分類
赤坂氷川神社にお参りしてきました。
赤坂という都会とは思えない落ち着いた雰囲気のある神社です。
立…

未分類
赤坂氷川神社にお参りしてきました。
赤坂という都会とは思えない落ち着いた雰囲気のある神社です。
立…

未分類
赤坂氷川神社にお参りしてきました。
赤坂という都会とは思えない落ち着いた雰囲気のある神社です。
立…

未分類
赤坂氷川神社にお参りしてきました。
赤坂という都会とは思えない落ち着いた雰囲気のある神社です。
立…

未分類
赤坂氷川神社にお参りしてきました。
赤坂という都会とは思えない落ち着いた雰囲気のある神社です。
立…

未分類
赤坂氷川神社にお参りしてきました。
赤坂という都会とは思えない落ち着いた雰囲気のある神社です。
立…

未分類
赤坂氷川神社にお参りしてきました。
赤坂という都会とは思えない落ち着いた雰囲気のある神社です。
立…

未分類
赤坂氷川神社にお参りしてきました。
赤坂という都会とは思えない落ち着いた雰囲気のある神社です。
立…

未分類
参拝記録

未分類
お礼も兼ねて、来週は月参りです☺️

未分類
夏至の花手水はこちらの花々とのこと☺️

未分類
相変わらず素敵な花手水☺️

未分類
説明書き😉

未分類
二の鳥居から茅の輪を望む☺️

未分類
茅の輪くぐり☺️

未分類
赤坂駅から近い東参道の入口です。狛犬が鎮座し、鳥居の数も多く石段もあるので、こちらが表参道だったのかもしれません。

未分類
しっかり狙いを定めている格好です。

未分類
狛犬は神社正面の南参道ではなく、東参道側にいらっしゃいます。

未分類
天水桶にも狐さまが刻まれています。

未分類
境内にはお稲荷さまのお社が点在しています。こちらは四社が合祀された四合(しあわせ)稲荷です。他に三つの稲荷社があり、合祀を含め十一柱のお稲荷さまがお祀りされています。

未分類
静かな境内ですが、お参りの方は途切れず、また熱心にお参りされる方が多かったです。

未分類
神門から社殿を囲む塀が、透塀ではなく築地塀なのが珍しいです。

未分類
手水は生け花の花手水でした。

未分類
御神木の大銀杏です。他にも数多くの大木が境内に生えています。

未分類
神社正面の南参道は赤坂駅よりも六本木一丁目駅の方が近いようです。

未分類
東京十社巡拝の続きでお参りしました。

未分類
参拝日:2024年9月16日
都心の中にありながら、山の中に入ったような静かな雰囲気の神社でした…

未分類
参拝日:2024年9月16日
都心の中にありながら、山の中に入ったような静かな雰囲気の神社でした…

未分類
参拝日:2024年9月16日
都心の中にありながら、山の中に入ったような静かな雰囲気の神社でした…

未分類
参拝日:2024年9月16日
都心の中にありながら、山の中に入ったような静かな雰囲気の神社でした…

未分類
参拝日:2024年9月16日
都心の中にありながら、山の中に入ったような静かな雰囲気の神社でした…

未分類
参拝日:2024年9月16日
都心の中にありながら、山の中に入ったような静かな雰囲気の神社でした…

未分類
参拝日:2024年9月16日
都心の中にありながら、山の中に入ったような静かな雰囲気の神社でした…

未分類
参拝日:2024年9月16日
都心の中にありながら、山の中に入ったような静かな雰囲気の神社でした…

未分類
月参りに行きました。
今月の「かさね」頂きました。
数年前から、夏越しの大祓と年越しの…

未分類
月参りに行きました。
今月の「かさね」頂きました。
数年前から、夏越しの大祓と年越しの…

未分類
月参りに行きました。
今月の「かさね」頂きました。
数年前から、夏越しの大祓と年越しの…

未分類
月参りに行きました。
今月の「かさね」頂きました。
数年前から、夏越しの大祓と年越しの…

未分類
月参りに行きました。
今月の「かさね」頂きました。
数年前から、夏越しの大祓と年越しの…

未分類
月参りに行きました。
今月の「かさね」頂きました。
数年前から、夏越しの大祓と年越しの…

未分類
月参りに行きました。
今月の「かさね」頂きました。
数年前から、夏越しの大祓と年越しの…

未分類
月参りに行きました。
今月の「かさね」頂きました。
数年前から、夏越しの大祓と年越しの…

未分類
月参りに行きました。
今月の「かさね」頂きました。
数年前から、夏越しの大祓と年越しの…

未分類
月参りに行きました。
今月の「かさね」頂きました。
数年前から、夏越しの大祓と年越しの…

未分類
月参りに行きました。
今月の「かさね」頂きました。
数年前から、夏越しの大祓と年越しの…

未分類
月参りに行きました。
今月の「かさね」頂きました。
数年前から、夏越しの大祓と年越しの…

未分類
新しくいただいた小型の茅の輪とお神札。

未分類
今月の[かさね]の説明書きです。

未分類
6月の月詣り🐾
朝早起きして洗車して神社に向かいました🚗💨
駐車場が奥の列が使えないようになってい…

未分類
6月の月詣り🐾
朝早起きして洗車して神社に向かいました🚗💨
駐車場が奥の列が使えないようになってい…

未分類
6月の月詣り🐾
朝早起きして洗車して神社に向かいました🚗💨
駐車場が奥の列が使えないようになってい…

未分類
6月の月詣り🐾
朝早起きして洗車して神社に向かいました🚗💨
駐車場が奥の列が使えないようになってい…

未分類
6月の月詣り🐾
朝早起きして洗車して神社に向かいました🚗💨
駐車場が奥の列が使えないようになってい…

未分類
6月の月詣り🐾
朝早起きして洗車して神社に向かいました🚗💨
駐車場が奥の列が使えないようになってい…

未分類
6月の月詣り🐾
朝早起きして洗車して神社に向かいました🚗💨
駐車場が奥の列が使えないようになってい…

未分類
6月の月詣り🐾
朝早起きして洗車して神社に向かいました🚗💨
駐車場が奥の列が使えないようになってい…

未分類
6月の月詣り🐾
朝早起きして洗車して神社に向かいました🚗💨
駐車場が奥の列が使えないようになってい…

未分類
6月の月詣り🐾
朝早起きして洗車して神社に向かいました🚗💨
駐車場が奥の列が使えないようになってい…

未分類
6月の月詣り🐾
朝早起きして洗車して神社に向かいました🚗💨
駐車場が奥の列が使えないようになってい…

未分類
6月の月詣り🐾
朝早起きして洗車して神社に向かいました🚗💨
駐車場が奥の列が使えないようになってい…

未分類
6月の月詣り🐾
朝早起きして洗車して神社に向かいました🚗💨
駐車場が奥の列が使えないようになってい…

未分類
交通安全ステッカーをいただきました

未分類
案内記。

未分類
拝殿は可愛らしい感じに見えました☺️

未分類
四合(しあわせ)稲荷☺️

未分類
氷川坂側に抜ける参道。

未分類
あまりにも青空がキレイだったもので😉

未分類
生け花の説明書きです😉

未分類
今回の手水舎はこんな感じ☺️

未分類
すっかり新緑に染まった境内へ。

未分類
情報満載の案内記☺️

未分類
この提灯の図柄の由来、今度調べてみよう😅

未分類
行きは本氷川坂側から入らせて頂きました☺️

未分類
氷川坂から。実は帰りに撮ったんですけど💦

未分類
赤坂にて🙏

未分類
前回は日枝神社から歩いたので、今回は六本木駅からお気に入りの赤坂氷川神社へ
16:30くらいだっ…

未分類
赤坂Bizタワーに飾られた山車

未分類
一の鳥居

未分類
四合稲荷向かいの太鼓橋

未分類
西行稲荷

未分類
西行稲荷

未分類
西行稲荷

未分類
西行稲荷

未分類
ここから四合稲荷、西行稲荷へ

未分類
楼門

未分類
花手水

未分類
手水舎

未分類
山口稲荷

未分類
包丁塚

未分類
九神社

未分類
九神社

未分類
一の鳥居(南側)

未分類
「東京十社めぐり」の御朱印帳☺️片面に説明書きがあるのが嬉しいです🙏

未分類
周りの風景とマッチした、花手水とはまた違った良さがあると思いませんか?

未分類
左手の手水舎がかなり好きです。

未分類
東京十社めぐりのご案内。特に期間は決めてませんが、梅雨本番までにはめぐりたいかな。

未分類
御神木のたもとのベンチで今投稿打ってます。

未分類
奥に構えた社殿が落ち着いた風景によく合います。

未分類
氷川坂からも入れますが、やはりこちらから。

未分類
ホトカミ開始前の参拝記録整理中😅

未分類
ホトカミ開始前の参拝記録整理中😅

未分類
初参拝。
『境内社西行稲荷』も初参拝。
《港区赤坂》
【東京十社】
〖御朱印〗①直書きでい…

未分類
初参拝。
『境内社西行稲荷』も初参拝。
《港区赤坂》
【東京十社】
〖御朱印〗①直書きでい…

未分類
初参拝。
『境内社西行稲荷』も初参拝。
《港区赤坂》
【東京十社】
〖御朱印〗①直書きでい…

未分類
初参拝。
『境内社西行稲荷』も初参拝。
《港区赤坂》
【東京十社】
〖御朱印〗①直書きでい…

未分類
初参拝。
『境内社西行稲荷』も初参拝。
《港区赤坂》
【東京十社】
〖御朱印〗①直書きでい…

未分類
初参拝。
『境内社西行稲荷』も初参拝。
《港区赤坂》
【東京十社】
〖御朱印〗①直書きでい…

未分類
初参拝。
『境内社西行稲荷』も初参拝。
《港区赤坂》
【東京十社】
〖御朱印〗①直書きでい…

未分類
初参拝。
『境内社西行稲荷』も初参拝。
《港区赤坂》
【東京十社】
〖御朱印〗①直書きでい…

未分類
日枝神社から行ったので結構歩いたー☁️
この日の朝は暑くて蒸してました☁️
この後土砂降りに巻…

未分類
水無月限定 の書き置き御朱印も頂きました💛
800枚限定だそうです💚
和紙で作られていてとても綺麗🧡

未分類
東京の港区赤坂に鎮座しております。
御朱印を授かりました!

未分類
東京の港区赤坂に鎮座しております。
御朱印を授かりました!

未分類
東京の港区赤坂に鎮座しております。
御朱印を授かりました!

未分類
東京の港区赤坂に鎮座しております。
御朱印を授かりました!

未分類
アメリカ大使館の近くにあり、都心でありながらとても静かな所にあります。
派手過ぎず、個人的にとて…

未分類
アメリカ大使館の近くにあり、都心でありながらとても静かな所にあります。
派手過ぎず、個人的にとて…

未分類
アメリカ大使館の近くにあり、都心でありながらとても静かな所にあります。
派手過ぎず、個人的にとて…

未分類
お迎えした子

未分類
20年程はおみくじをひかない主義を通していました。気持ちが揺れるしキリがないと思っていたのです。御…

未分類
20年程はおみくじをひかない主義を通していました。気持ちが揺れるしキリがないと思っていたのです。御…

未分類
20年程はおみくじをひかない主義を通していました。気持ちが揺れるしキリがないと思っていたのです。御…

未分類
可愛すぎてズルいくらい

未分類
この撮り方は!参考にさせていただいております🙇♀️

未分類
縁結び💕︎

未分類
20年程はおみくじをひかない主義を通していました。気持ちが揺れるしキリがないと思っていたのです。御…

未分類
東京十社だからね、という威厳が伝わって来ます

未分類
20年程はおみくじをひかない主義を通していました。気持ちが揺れるしキリがないと思っていたのです。御…

未分類
書き入れていただけました

未分類
氷川神社に初参拝。

未分類
緑がいっぱいで都会とは思えない静かな場所でとても気持ちの良い神社でした

未分類
緑がいっぱいで都会とは思えない静かな場所でとても気持ちの良い神社でした

未分類
緑がいっぱいで都会とは思えない静かな場所でとても気持ちの良い神社でした

未分類
緑がいっぱいで都会とは思えない静かな場所でとても気持ちの良い神社でした

未分類
緑がいっぱいで都会とは思えない静かな場所でとても気持ちの良い神社でした

未分類
緑がいっぱいで都会とは思えない静かな場所でとても気持ちの良い神社でした

未分類
毎回この角度から撮りたくなる😅

未分類
毎回撮ってしまう(^_^;)

未分類
花材説明

未分類
生け花仕様の花手水💠

未分類
家を出たのが13:30で16:30までには帰宅予定にしたので、飯倉熊野神社、宝珠院、朝日神社から、…

未分類
家を出たのが13:30で16:30までには帰宅予定にしたので、飯倉熊野神社、宝珠院、朝日神社から、…

未分類
家を出たのが13:30で16:30までには帰宅予定にしたので、飯倉熊野神社、宝珠院、朝日神社から、…

未分類
四合稲荷神社側の入口から。

未分類
家を出たのが13:30で16:30までには帰宅予定にしたので、飯倉熊野神社、宝珠院、朝日神社から、…

未分類
2016.4.18

未分類
5月の月参り🙏🏼
車で参拝させていただきました🚗💨
新緑が気持ちいい🌱
御神木の銀杏も緑の葉がたく…

未分類
5月の月参り🙏🏼
車で参拝させていただきました🚗💨
新緑が気持ちいい🌱
御神木の銀杏も緑の葉がたく…

未分類
5月の月参り🙏🏼
車で参拝させていただきました🚗💨
新緑が気持ちいい🌱
御神木の銀杏も緑の葉がたく…

未分類
5月の月参り🙏🏼
車で参拝させていただきました🚗💨
新緑が気持ちいい🌱
御神木の銀杏も緑の葉がたく…

未分類
5月の月参り🙏🏼
車で参拝させていただきました🚗💨
新緑が気持ちいい🌱
御神木の銀杏も緑の葉がたく…

未分類
5月の月参り🙏🏼
車で参拝させていただきました🚗💨
新緑が気持ちいい🌱
御神木の銀杏も緑の葉がたく…

未分類
5月の月参り🙏🏼
車で参拝させていただきました🚗💨
新緑が気持ちいい🌱
御神木の銀杏も緑の葉がたく…

未分類
5月の月参り🙏🏼
車で参拝させていただきました🚗💨
新緑が気持ちいい🌱
御神木の銀杏も緑の葉がたく…

未分類
5月の月参り🙏🏼
車で参拝させていただきました🚗💨
新緑が気持ちいい🌱
御神木の銀杏も緑の葉がたく…

未分類
5月の月参り🙏🏼
車で参拝させていただきました🚗💨
新緑が気持ちいい🌱
御神木の銀杏も緑の葉がたく…

未分類
5月の月参り🙏🏼
車で参拝させていただきました🚗💨
新緑が気持ちいい🌱
御神木の銀杏も緑の葉がたく…

未分類
5月の月参り🙏🏼
車で参拝させていただきました🚗💨
新緑が気持ちいい🌱
御神木の銀杏も緑の葉がたく…

未分類
直書きで頂きました

未分類
直書きで頂きました

未分類
御朱印とさくらんぼ結び

未分類
さくらんぼ結びの木

未分類
末永くお幸せに

未分類
山車と神輿

未分類
拝殿

未分類
鳥居

未分類
手水舎

未分類
予報では雨だったのにいい天気になってくれてよかった☀️
御神木の大銀杏も芽吹いて緑になっていて気持…

未分類
予報では雨だったのにいい天気になってくれてよかった☀️
御神木の大銀杏も芽吹いて緑になっていて気持…

未分類
予報では雨だったのにいい天気になってくれてよかった☀️
御神木の大銀杏も芽吹いて緑になっていて気持…

未分類
予報では雨だったのにいい天気になってくれてよかった☀️
御神木の大銀杏も芽吹いて緑になっていて気持…

未分類
予報では雨だったのにいい天気になってくれてよかった☀️
御神木の大銀杏も芽吹いて緑になっていて気持…

未分類
予報では雨だったのにいい天気になってくれてよかった☀️
御神木の大銀杏も芽吹いて緑になっていて気持…

未分類
予報では雨だったのにいい天気になってくれてよかった☀️
御神木の大銀杏も芽吹いて緑になっていて気持…

未分類
予報では雨だったのにいい天気になってくれてよかった☀️
御神木の大銀杏も芽吹いて緑になっていて気持…

未分類
予報では雨だったのにいい天気になってくれてよかった☀️
御神木の大銀杏も芽吹いて緑になっていて気持…

未分類
仕事の空き時間に

未分類
仕事の空き時間に

未分類
仕事の空き時間に

未分類
参拝記録

未分類
参拝記録

未分類
参拝記録

未分類
参拝記録

未分類
参拝記録

未分類
春になって緑も多く爽やかになってきました☘️
左奥のお狐さまがかわいいんですよね🦊

未分類
春になって緑も多く爽やかになってきました☘️
左奥のお狐さまがかわいいんですよね🦊

未分類
今月の月参りで赤坂氷川神社に🐾
4月の御朱印かさねは白藤でした☺️
桜はだいぶ散ってしまっていたけ…

未分類
今月の月参りで赤坂氷川神社に🐾
4月の御朱印かさねは白藤でした☺️
桜はだいぶ散ってしまっていたけ…

未分類
今月の月参りで赤坂氷川神社に🐾
4月の御朱印かさねは白藤でした☺️
桜はだいぶ散ってしまっていたけ…

未分類
今月の月参りで赤坂氷川神社に🐾
4月の御朱印かさねは白藤でした☺️
桜はだいぶ散ってしまっていたけ…

未分類
今月の月参りで赤坂氷川神社に🐾
4月の御朱印かさねは白藤でした☺️
桜はだいぶ散ってしまっていたけ…

未分類
今月の月参りで赤坂氷川神社に🐾
4月の御朱印かさねは白藤でした☺️
桜はだいぶ散ってしまっていたけ…

未分類
今月の月参りで赤坂氷川神社に🐾
4月の御朱印かさねは白藤でした☺️
桜はだいぶ散ってしまっていたけ…

未分類
今月の月参りで赤坂氷川神社に🐾
4月の御朱印かさねは白藤でした☺️
桜はだいぶ散ってしまっていたけ…

未分類
今月の月参りで赤坂氷川神社に🐾
4月の御朱印かさねは白藤でした☺️
桜はだいぶ散ってしまっていたけ…

未分類
今月の月参りで赤坂氷川神社に🐾
4月の御朱印かさねは白藤でした☺️
桜はだいぶ散ってしまっていたけ…

未分類
神輿と獅子頭

未分類
花手水

未分類
雨上がりの社殿

未分類
祈年祭御朱印(今様色)
今様色とは平安時代に流行った色のことで、源氏物語玉鬘巻にて光源氏が紫の上に贈った着物の色だということです。

未分類
月参りに行きました。
花手水には、都桜🌸が入っていて、境内にも少しですが桜も残っていました🌸…

未分類
月参りに行きました。
花手水には、都桜🌸が入っていて、境内にも少しですが桜も残っていました🌸…

未分類
月参りに行きました。
花手水には、都桜🌸が入っていて、境内にも少しですが桜も残っていました🌸…

未分類
月参りに行きました。
花手水には、都桜🌸が入っていて、境内にも少しですが桜も残っていました🌸…

未分類
月参りに行きました。
花手水には、都桜🌸が入っていて、境内にも少しですが桜も残っていました🌸…

未分類
月参りに行きました。
花手水には、都桜🌸が入っていて、境内にも少しですが桜も残っていました🌸…

未分類
月参りに行きました。
花手水には、都桜🌸が入っていて、境内にも少しですが桜も残っていました🌸…

未分類
月参りに行きました。
花手水には、都桜🌸が入っていて、境内にも少しですが桜も残っていました🌸…

未分類
月参りに行きました。
花手水には、都桜🌸が入っていて、境内にも少しですが桜も残っていました🌸…

未分類
月参りに行きました。
花手水には、都桜🌸が入っていて、境内にも少しですが桜も残っていました🌸…

未分類
月参りに行きました。
花手水には、都桜🌸が入っていて、境内にも少しですが桜も残っていました🌸…

未分類
月参りに行きました。
花手水には、都桜🌸が入っていて、境内にも少しですが桜も残っていました🌸…

未分類
月参りに行きました。
花手水には、都桜🌸が入っていて、境内にも少しですが桜も残っていました🌸…

未分類
月参りに行きました。
花手水には、都桜🌸が入っていて、境内にも少しですが桜も残っていました🌸…

未分類
月参りに行きました。
花手水には、都桜🌸が入っていて、境内にも少しですが桜も残っていました🌸…

未分類
月参りに行きました。
花手水には、都桜🌸が入っていて、境内にも少しですが桜も残っていました🌸…

未分類
月参りに行きました。
花手水には、都桜🌸が入っていて、境内にも少しですが桜も残っていました🌸…

未分類
月参りに行きました。
花手水には、都桜🌸が入っていて、境内にも少しですが桜も残っていました🌸…

未分類
月参りに行きました。
花手水には、都桜🌸が入っていて、境内にも少しですが桜も残っていました🌸…

未分類
月参りに行きました。
花手水には、都桜🌸が入っていて、境内にも少しですが桜も残っていました🌸…

未分類
過去に拝受した御朱印です。

未分類
3/20〜3/31頒布予定(無くなり次第頒布終了)の季節の御朱印『さくら参り』を頂いてきました。
…

未分類
3/20〜3/31頒布予定(無くなり次第頒布終了)の季節の御朱印『さくら参り』を頂いてきました。
…

未分類
3/20〜3/31頒布予定(無くなり次第頒布終了)の季節の御朱印『さくら参り』を頂いてきました。
…

未分類
四合稲荷神社

未分類
御神輿の辺りに人が集まってました。

未分類
3/20〜3/31頒布予定(無くなり次第頒布終了)の季節の御朱印『さくら参り』を頂いてきました。
…

未分類
3/20〜3/31頒布予定(無くなり次第頒布終了)の季節の御朱印『さくら参り』を頂いてきました。
…

未分類
3/20〜3/31頒布予定(無くなり次第頒布終了)の季節の御朱印『さくら参り』を頂いてきました。
…

未分類
3/20〜3/31頒布予定(無くなり次第頒布終了)の季節の御朱印『さくら参り』を頂いてきました。
…

未分類
3/20〜3/31頒布予定(無くなり次第頒布終了)の季節の御朱印『さくら参り』を頂いてきました。
…

未分類
3/20〜3/31頒布予定(無くなり次第頒布終了)の季節の御朱印『さくら参り』を頂いてきました。
…

未分類
3/20〜3/31頒布予定(無くなり次第頒布終了)の季節の御朱印『さくら参り』を頂いてきました。
…

未分類
季節の御朱印『さくら参り』

未分類
ここの狛狐さまは欠けてて悲しくなる…
雨風で劣化しちゃうのかな?
接着剤で付いてるところもあるけど…

未分類
ここの狛狐さまは欠けてて悲しくなる…
雨風で劣化しちゃうのかな?
接着剤で付いてるところもあるけど…

未分類
ここの狛狐さまは欠けてて悲しくなる…
雨風で劣化しちゃうのかな?
接着剤で付いてるところもあるけど…

未分類
この日は新車の納車日🚗
いつもお世話になっていて大好きな赤坂氷川神社にお願いしてきました🙏🏼
車の…

未分類
この日は新車の納車日🚗
いつもお世話になっていて大好きな赤坂氷川神社にお願いしてきました🙏🏼
車の…

未分類
この日は新車の納車日🚗
いつもお世話になっていて大好きな赤坂氷川神社にお願いしてきました🙏🏼
車の…

未分類
この日は新車の納車日🚗
いつもお世話になっていて大好きな赤坂氷川神社にお願いしてきました🙏🏼
車の…

未分類
この日は新車の納車日🚗
いつもお世話になっていて大好きな赤坂氷川神社にお願いしてきました🙏🏼
車の…

未分類
この日は新車の納車日🚗
いつもお世話になっていて大好きな赤坂氷川神社にお願いしてきました🙏🏼
車の…

未分類
この日は新車の納車日🚗
いつもお世話になっていて大好きな赤坂氷川神社にお願いしてきました🙏🏼
車の…

未分類
この日は新車の納車日🚗
いつもお世話になっていて大好きな赤坂氷川神社にお願いしてきました🙏🏼
車の…

未分類
この日は新車の納車日🚗
いつもお世話になっていて大好きな赤坂氷川神社にお願いしてきました🙏🏼
車の…

未分類
この日は新車の納車日🚗
いつもお世話になっていて大好きな赤坂氷川神社にお願いしてきました🙏🏼
車の…

未分類
この日は新車の納車日🚗
いつもお世話になっていて大好きな赤坂氷川神社にお願いしてきました🙏🏼
車の…

未分類
この日は新車の納車日🚗
いつもお世話になっていて大好きな赤坂氷川神社にお願いしてきました🙏🏼
車の…

未分類
最近通勤で嫌なことが多くてイライラしがちなので天気が悪いから迷ったけどお詣りに行きました🐾
都会な…

未分類
最近通勤で嫌なことが多くてイライラしがちなので天気が悪いから迷ったけどお詣りに行きました🐾
都会な…

未分類
最近通勤で嫌なことが多くてイライラしがちなので天気が悪いから迷ったけどお詣りに行きました🐾
都会な…

未分類
最近通勤で嫌なことが多くてイライラしがちなので天気が悪いから迷ったけどお詣りに行きました🐾
都会な…

未分類
最近通勤で嫌なことが多くてイライラしがちなので天気が悪いから迷ったけどお詣りに行きました🐾
都会な…

未分類
最近通勤で嫌なことが多くてイライラしがちなので天気が悪いから迷ったけどお詣りに行きました🐾
都会な…

未分類
最近通勤で嫌なことが多くてイライラしがちなので天気が悪いから迷ったけどお詣りに行きました🐾
都会な…

未分類
最近通勤で嫌なことが多くてイライラしがちなので天気が悪いから迷ったけどお詣りに行きました🐾
都会な…

未分類
最近通勤で嫌なことが多くてイライラしがちなので天気が悪いから迷ったけどお詣りに行きました🐾
都会な…

未分類
最近通勤で嫌なことが多くてイライラしがちなので天気が悪いから迷ったけどお詣りに行きました🐾
都会な…

未分類
最近通勤で嫌なことが多くてイライラしがちなので天気が悪いから迷ったけどお詣りに行きました🐾
都会な…

未分類
最近通勤で嫌なことが多くてイライラしがちなので天気が悪いから迷ったけどお詣りに行きました🐾
都会な…

未分類
最近通勤で嫌なことが多くてイライラしがちなので天気が悪いから迷ったけどお詣りに行きました🐾
都会な…

未分類
赤坂氷川神社の西行稲荷にお詣り🙏🏼
今日は人が少なくてゆっくり出来ました☺️

未分類
赤坂氷川神社の西行稲荷にお詣り🙏🏼
今日は人が少なくてゆっくり出来ました☺️

未分類
赤坂氷川神社の西行稲荷にお詣り🙏🏼
今日は人が少なくてゆっくり出来ました☺️

未分類
東京タワー周りの寺社巡り、最後の6箇所目は東京十社でもある赤坂氷川神社。東京タワーからは少し距離が…

未分類
社務所

未分類
社殿

未分類
楼門

未分類
東京タワー周りの寺社巡り、最後の6箇所目は東京十社でもある赤坂氷川神社。東京タワーからは少し距離が…

未分類
東京タワー周りの寺社巡り、最後の6箇所目は東京十社でもある赤坂氷川神社。東京タワーからは少し距離が…

未分類
山車

未分類
神輿

未分類
手水舎

未分類
狛犬

未分類
狛犬

未分類
三の鳥居

未分類
東京タワー周りの寺社巡り、最後の6箇所目は東京十社でもある赤坂氷川神社。東京タワーからは少し距離が…

未分類
東京タワー周りの寺社巡り、最後の6箇所目は東京十社でもある赤坂氷川神社。東京タワーからは少し距離が…

未分類
九神社

未分類
一の鳥居

未分類
月参りに行きました。
月替わりの御朱印『かさね』をいただきました。
あちらこちらで…

未分類
月参りに行きました。
月替わりの御朱印『かさね』をいただきました。
あちらこちらで…

未分類
月参りに行きました。
月替わりの御朱印『かさね』をいただきました。
あちらこちらで…

未分類
月参りに行きました。
月替わりの御朱印『かさね』をいただきました。
あちらこちらで…

未分類
月参りに行きました。
月替わりの御朱印『かさね』をいただきました。
あちらこちらで…

未分類
月参りに行きました。
月替わりの御朱印『かさね』をいただきました。
あちらこちらで…

未分類
月参りに行きました。
月替わりの御朱印『かさね』をいただきました。
あちらこちらで…

未分類
月参りに行きました。
月替わりの御朱印『かさね』をいただきました。
あちらこちらで…

未分類
月参りに行きました。
月替わりの御朱印『かさね』をいただきました。
あちらこちらで…

未分類
月参りに行きました。
月替わりの御朱印『かさね』をいただきました。
あちらこちらで…

未分類
参拝記念⛩️✨️
赤坂氷川神社
東京十社巡り② 再訪
この日の都内散策の最後は、東京…

未分類
参拝記念⛩️✨️
赤坂氷川神社
東京十社巡り② 再訪
この日の都内散策の最後は、東京…

未分類
参拝記念⛩️✨️
赤坂氷川神社
東京十社巡り② 再訪
この日の都内散策の最後は、東京…

未分類
参拝記念⛩️✨️
赤坂氷川神社
東京十社巡り② 再訪
この日の都内散策の最後は、東京…

未分類
絵馬

未分類
参拝記念⛩️✨️
赤坂氷川神社
東京十社巡り② 再訪
この日の都内散策の最後は、東京…

未分類
参拝記念⛩️✨️
赤坂氷川神社
東京十社巡り② 再訪
この日の都内散策の最後は、東京…

未分類
四合稲荷(しあわせ稲荷)

未分類
拝殿

未分類
神門からの拝殿

未分類
この対の子たちが一番可愛いかも♪

未分類
ぬた~

未分類
参拝記念⛩️✨️
赤坂氷川神社
東京十社巡り② 再訪
この日の都内散策の最後は、東京…

未分類
手水舎

未分類
参拝記念⛩️✨️
赤坂氷川神社
東京十社巡り② 再訪
この日の都内散策の最後は、東京…

未分類
参拝記念⛩️✨️
赤坂氷川神社
東京十社巡り② 再訪
この日の都内散策の最後は、東京…

未分類
参拝記念⛩️✨️
赤坂氷川神社
東京十社巡り② 再訪
この日の都内散策の最後は、東京…

未分類
参拝記念⛩️✨️
赤坂氷川神社
東京十社巡り② 再訪
この日の都内散策の最後は、東京…

未分類
参拝記念⛩️✨️
赤坂氷川神社
東京十社巡り② 再訪
この日の都内散策の最後は、東京…

未分類
参拝記念⛩️✨️
赤坂氷川神社
東京十社巡り② 再訪
この日の都内散策の最後は、東京…

未分類
参拝記念⛩️✨️
赤坂氷川神社
東京十社巡り② 再訪
この日の都内散策の最後は、東京…

未分類
参拝記念⛩️✨️
赤坂氷川神社
東京十社巡り② 再訪
この日の都内散策の最後は、東京…

未分類
参拝記念⛩️✨️
赤坂氷川神社
東京十社巡り② 再訪
この日の都内散策の最後は、東京…

未分類
躍動的な狛犬さん

未分類
参拝記念⛩️✨️
赤坂氷川神社
東京十社巡り② 再訪
この日の都内散策の最後は、東京…

未分類
参拝記念⛩️✨️
赤坂氷川神社
東京十社巡り② 再訪
この日の都内散策の最後は、東京…

未分類
参拝記念⛩️✨️
赤坂氷川神社
東京十社巡り② 再訪
この日の都内散策の最後は、東京…

未分類
参拝記念⛩️✨️
赤坂氷川神社
東京十社巡り② 再訪
この日の都内散策の最後は、東京…

未分類
参拝記念⛩️✨️
赤坂氷川神社
東京十社巡り② 再訪
この日の都内散策の最後は、東京…

未分類
参拝記念⛩️✨️
赤坂氷川神社
東京十社巡り② 再訪
この日の都内散策の最後は、東京…

未分類
西行稲荷

未分類
参拝記念⛩️✨️
赤坂氷川神社
東京十社巡り② 再訪
この日の都内散策の最後は、東京…

未分類
参拝記念⛩️✨️
赤坂氷川神社
東京十社巡り② 再訪
この日の都内散策の最後は、東京…

未分類
参拝記念⛩️✨️
赤坂氷川神社
東京十社巡り② 再訪
この日の都内散策の最後は、東京…

未分類
氷川坂側の社号標
赤坂駅から上がらせていただいたためこちらから上がらせて頂きました🙏

未分類
由緒

未分類
社号標
鳥居

未分類
赤坂氷川神社参拝

未分類
拝殿

未分類
参拝記念⛩️✨
赤坂氷川神社
東京十社巡り②
御祭神
素盞鳴尊(すさのおのみこと)
奇稲…

未分類
参拝記念⛩️✨
赤坂氷川神社
東京十社巡り②
御祭神
素盞鳴尊(すさのおのみこと)
奇稲…

未分類
手水舎

未分類
二の鳥居

未分類
参拝記念⛩️✨
赤坂氷川神社
東京十社巡り②
御祭神
素盞鳴尊(すさのおのみこと)
奇稲…

未分類
参拝記念⛩️✨
赤坂氷川神社
東京十社巡り②
御祭神
素盞鳴尊(すさのおのみこと)
奇稲…

未分類
山車

未分類
参拝記念⛩️✨
赤坂氷川神社
東京十社巡り②
御祭神
素盞鳴尊(すさのおのみこと)
奇稲…

未分類
西行稲荷

未分類
四合稲荷

未分類
太鼓橋

未分類
参拝記念⛩️✨
赤坂氷川神社
東京十社巡り②
御祭神
素盞鳴尊(すさのおのみこと)
奇稲…

未分類
参拝記念⛩️✨
赤坂氷川神社
東京十社巡り②
御祭神
素盞鳴尊(すさのおのみこと)
奇稲…

未分類
一の鳥居(南側)

未分類
御朱印

未分類
正月限定版と通常版

未分類
日枝神社から歩いて赤坂氷川神社へ。直線距離ではそれほど遠くはないと思うが、赤坂だけあって、山(坂)…

未分類
日枝神社から歩いて赤坂氷川神社へ。直線距離ではそれほど遠くはないと思うが、赤坂だけあって、山(坂)…

未分類
日枝神社から歩いて赤坂氷川神社へ。直線距離ではそれほど遠くはないと思うが、赤坂だけあって、山(坂)…

未分類
日枝神社から歩いて赤坂氷川神社へ。直線距離ではそれほど遠くはないと思うが、赤坂だけあって、山(坂)…

未分類
日枝神社から歩いて赤坂氷川神社へ。直線距離ではそれほど遠くはないと思うが、赤坂だけあって、山(坂)…

未分類
日枝神社から歩いて赤坂氷川神社へ。直線距離ではそれほど遠くはないと思うが、赤坂だけあって、山(坂)…

未分類
赤坂氷川神社

未分類
赤坂氷川神社

未分類
⛩️赤坂氷川神社に参拝させていただきました

未分類
⛩️赤坂氷川神社に参拝させていただきました

未分類
⛩️赤坂氷川神社に参拝させていただきました

未分類
⛩️赤坂氷川神社に参拝させていただきました

未分類
⛩️赤坂氷川神社に参拝させていただきました

未分類
⛩️赤坂氷川神社に参拝させていただきました

未分類
⛩️赤坂氷川神社に参拝させていただきました

未分類
⛩️赤坂氷川神社に参拝させていただきました

未分類
本日のみ頒布の季節の御朱印『祈年祭』を頂いてきました。
公式によりますと…
↓
祈年…

未分類
本日のみ頒布の季節の御朱印『祈年祭』を頂いてきました。
公式によりますと…
↓
祈年…

未分類
本日のみ頒布の季節の御朱印『祈年祭』を頂いてきました。
公式によりますと…
↓
祈年…

未分類
本日のみ頒布の季節の御朱印『祈年祭』を頂いてきました。
公式によりますと…
↓
祈年…

未分類
本日のみ頒布の季節の御朱印『祈年祭』を頂いてきました。
公式によりますと…
↓
祈年…

未分類
本日のみ頒布の季節の御朱印『祈年祭』を頂いてきました。
公式によりますと…
↓
祈年…

未分類
本日のみ頒布の季節の御朱印『祈年祭』を頂いてきました。
公式によりますと…
↓
祈年…

未分類
本日のみ頒布の季節の御朱印『祈年祭』を頂いてきました。
公式によりますと…
↓
祈年…

未分類
本日のみ頒布の季節の御朱印『祈年祭』を頂いてきました。
公式によりますと…
↓
祈年…

未分類
本日のみ頒布の季節の御朱印『祈年祭』を頂いてきました。
公式によりますと…
↓
祈年…

未分類
これまでは四合稲荷とか赤坂氷川神社に入れてしまっていたけど分けて入力してみました📱
山を登る感じで…

未分類
五穀豊穣を願う祈年祭が開催されるので赤坂氷川神社にお詣りしてきました🐾
巫女さんが1枚1枚境内の梅…

未分類
五穀豊穣を願う祈年祭が開催されるので赤坂氷川神社にお詣りしてきました🐾
巫女さんが1枚1枚境内の梅…

未分類
五穀豊穣を願う祈年祭が開催されるので赤坂氷川神社にお詣りしてきました🐾
巫女さんが1枚1枚境内の梅…

未分類
五穀豊穣を願う祈年祭が開催されるので赤坂氷川神社にお詣りしてきました🐾
巫女さんが1枚1枚境内の梅…

未分類
五穀豊穣を願う祈年祭が開催されるので赤坂氷川神社にお詣りしてきました🐾
巫女さんが1枚1枚境内の梅…

未分類
五穀豊穣を願う祈年祭が開催されるので赤坂氷川神社にお詣りしてきました🐾
巫女さんが1枚1枚境内の梅…

未分類
五穀豊穣を願う祈年祭が開催されるので赤坂氷川神社にお詣りしてきました🐾
巫女さんが1枚1枚境内の梅…

未分類
もう春ですね。

未分類
優しい神様に、お礼申し上げました。
拝殿左手の奥宮が見える場所が、静かで、お話しするといいみたいで…

未分類
優しい神様に、お礼申し上げました。
拝殿左手の奥宮が見える場所が、静かで、お話しするといいみたいで…

未分類
優しい神様に、お礼申し上げました。
拝殿左手の奥宮が見える場所が、静かで、お話しするといいみたいで…

未分類
拝殿左手、神様とお話し

未分類
静かな境内に立派な御神木が印象的でした

未分類
静かな境内に立派な御神木が印象的でした

未分類
赤坂氷川神社でご祈祷をお願いしてきました⛩️
車で行ったら道が混んでてギリギリの時間になって焦った…

未分類
赤坂氷川神社でご祈祷をお願いしてきました⛩️
車で行ったら道が混んでてギリギリの時間になって焦った…

未分類
赤坂氷川神社でご祈祷をお願いしてきました⛩️
車で行ったら道が混んでてギリギリの時間になって焦った…

未分類
赤坂氷川神社でご祈祷をお願いしてきました⛩️
車で行ったら道が混んでてギリギリの時間になって焦った…

未分類
赤坂氷川神社でご祈祷をお願いしてきました⛩️
車で行ったら道が混んでてギリギリの時間になって焦った…

未分類
赤坂氷川神社でご祈祷をお願いしてきました⛩️
車で行ったら道が混んでてギリギリの時間になって焦った…

未分類
赤坂氷川神社でご祈祷をお願いしてきました⛩️
車で行ったら道が混んでてギリギリの時間になって焦った…

未分類
東京都港区に鎮座する赤坂氷川神社🙏
都心に現れた杜🌳にびっくり❗️…ここだけは別世界でした🤗

未分類
東京都港区に鎮座する赤坂氷川神社🙏
都心に現れた杜🌳にびっくり❗️…ここだけは別世界でした🤗

未分類
東京都港区に鎮座する赤坂氷川神社🙏
都心に現れた杜🌳にびっくり❗️…ここだけは別世界でした🤗

未分類
。

未分類
。

未分類
。

未分類
。

未分類
。

未分類
月参りに行きました。
いつも早めに咲いている梅の開花に間に合いました。
月参りの重ね御朱印…

未分類
四合稲荷神社

未分類
四合稲荷神社

未分類
四合稲荷神社

未分類
四合稲荷神社

未分類
四合稲荷神社

未分類
月参りに行きました。
いつも早めに咲いている梅の開花に間に合いました。
月参りの重ね御朱印…

未分類
子分たち🐍

未分類
月参りに行きました。
いつも早めに咲いている梅の開花に間に合いました。
月参りの重ね御朱印…

未分類
後ろ姿も^_^

未分類
この子が可愛くて^_^

未分類
月参りに行きました。
いつも早めに咲いている梅の開花に間に合いました。
月参りの重ね御朱印…

未分類
月参りに行きました。
いつも早めに咲いている梅の開花に間に合いました。
月参りの重ね御朱印…

未分類
月参りに行きました。
いつも早めに咲いている梅の開花に間に合いました。
月参りの重ね御朱印…

未分類
月参りに行きました。
いつも早めに咲いている梅の開花に間に合いました。
月参りの重ね御朱印…

未分類
月参りに行きました。
いつも早めに咲いている梅の開花に間に合いました。
月参りの重ね御朱印…

未分類
月参りに行きました。
いつも早めに咲いている梅の開花に間に合いました。
月参りの重ね御朱印…

未分類
月参りに行きました。
いつも早めに咲いている梅の開花に間に合いました。
月参りの重ね御朱印…

未分類
月参りに行きました。
いつも早めに咲いている梅の開花に間に合いました。
月参りの重ね御朱印…

未分類
月参りに行きました。
いつも早めに咲いている梅の開花に間に合いました。
月参りの重ね御朱印…

未分類
月参りに行きました。
いつも早めに咲いている梅の開花に間に合いました。
月参りの重ね御朱印…

未分類
月参りに行きました。
いつも早めに咲いている梅の開花に間に合いました。
月参りの重ね御朱印…

未分類
月参りに行きました。
いつも早めに咲いている梅の開花に間に合いました。
月参りの重ね御朱印…

未分類
今月の重ねの説明書

未分類
ご祈祷についてお伺いしに伺ってきました🐾
ちっちゃくてかわいい狛犬さま🐶
古い灯籠は三つ巴と卍のど…

未分類
ご祈祷についてお伺いしに伺ってきました🐾
ちっちゃくてかわいい狛犬さま🐶
古い灯籠は三つ巴と卍のど…

未分類
ご祈祷についてお伺いしに伺ってきました🐾
ちっちゃくてかわいい狛犬さま🐶
古い灯籠は三つ巴と卍のど…

未分類
ご祈祷についてお伺いしに伺ってきました🐾
ちっちゃくてかわいい狛犬さま🐶
古い灯籠は三つ巴と卍のど…

未分類
ご祈祷についてお伺いしに伺ってきました🐾
ちっちゃくてかわいい狛犬さま🐶
古い灯籠は三つ巴と卍のど…

未分類
ご祈祷についてお伺いしに伺ってきました🐾
ちっちゃくてかわいい狛犬さま🐶
古い灯籠は三つ巴と卍のど…

未分類
ご祈祷についてお伺いしに伺ってきました🐾
ちっちゃくてかわいい狛犬さま🐶
古い灯籠は三つ巴と卍のど…

未分類
ご祈祷についてお伺いしに伺ってきました🐾
ちっちゃくてかわいい狛犬さま🐶
古い灯籠は三つ巴と卍のど…

未分類
東京十社巡りの1つ。

未分類
御朱印帳が2冊いっぱいになったのでお気に入りの赤坂氷川神社さんの銀杏御朱印帳の緑をいただきに🐾天気…

未分類
御朱印帳が2冊いっぱいになったのでお気に入りの赤坂氷川神社さんの銀杏御朱印帳の緑をいただきに🐾天気…

未分類
御朱印帳が2冊いっぱいになったのでお気に入りの赤坂氷川神社さんの銀杏御朱印帳の緑をいただきに🐾天気…

未分類
御朱印帳が2冊いっぱいになったのでお気に入りの赤坂氷川神社さんの銀杏御朱印帳の緑をいただきに🐾天気…

未分類
御朱印帳が2冊いっぱいになったのでお気に入りの赤坂氷川神社さんの銀杏御朱印帳の緑をいただきに🐾天気…

未分類
御朱印帳が2冊いっぱいになったのでお気に入りの赤坂氷川神社さんの銀杏御朱印帳の緑をいただきに🐾天気…

未分類
御朱印帳が2冊いっぱいになったのでお気に入りの赤坂氷川神社さんの銀杏御朱印帳の緑をいただきに🐾天気…

未分類
御朱印帳が2冊いっぱいになったのでお気に入りの赤坂氷川神社さんの銀杏御朱印帳の緑をいただきに🐾天気…

未分類
御朱印帳が2冊いっぱいになったのでお気に入りの赤坂氷川神社さんの銀杏御朱印帳の緑をいただきに🐾天気…

未分類
御朱印帳が2冊いっぱいになったのでお気に入りの赤坂氷川神社さんの銀杏御朱印帳の緑をいただきに🐾天気…

未分類
御朱印帳が2冊いっぱいになったのでお気に入りの赤坂氷川神社さんの銀杏御朱印帳の緑をいただきに🐾天気…

未分類
御朱印帳が2冊いっぱいになったのでお気に入りの赤坂氷川神社さんの銀杏御朱印帳の緑をいただきに🐾天気…

未分類
御朱印帳が2冊いっぱいになったのでお気に入りの赤坂氷川神社さんの銀杏御朱印帳の緑をいただきに🐾天気…

未分類
御朱印帳が2冊いっぱいになったのでお気に入りの赤坂氷川神社さんの銀杏御朱印帳の緑をいただきに🐾天気…

未分類
厳かな空間が素敵でした。

未分類
東京十社の赤坂氷川神社⛩️赤坂サカスから坂を登って到着🐾とても緑が多く落ち着く神社☺️手水舎には生…

未分類
東京十社の赤坂氷川神社⛩️赤坂サカスから坂を登って到着🐾とても緑が多く落ち着く神社☺️手水舎には生…

未分類
東京十社の赤坂氷川神社⛩️赤坂サカスから坂を登って到着🐾とても緑が多く落ち着く神社☺️手水舎には生…

未分類
東京十社の赤坂氷川神社⛩️赤坂サカスから坂を登って到着🐾とても緑が多く落ち着く神社☺️手水舎には生…

未分類
東京十社の赤坂氷川神社⛩️赤坂サカスから坂を登って到着🐾とても緑が多く落ち着く神社☺️手水舎には生…

未分類
東京十社の赤坂氷川神社⛩️赤坂サカスから坂を登って到着🐾とても緑が多く落ち着く神社☺️手水舎には生…

未分類
前日もお伺いしてたけど銀杏の御朱印帳がいただきたくてお伺いしてきました🐾何より静かで落ち着くのでま…

未分類
前日もお伺いしてたけど銀杏の御朱印帳がいただきたくてお伺いしてきました🐾何より静かで落ち着くのでま…

未分類
前日もお伺いしてたけど銀杏の御朱印帳がいただきたくてお伺いしてきました🐾何より静かで落ち着くのでま…

未分類
前日もお伺いしてたけど銀杏の御朱印帳がいただきたくてお伺いしてきました🐾何より静かで落ち着くのでま…

未分類
前日もお伺いしてたけど銀杏の御朱印帳がいただきたくてお伺いしてきました🐾何より静かで落ち着くのでま…

未分類
前日もお伺いしてたけど銀杏の御朱印帳がいただきたくてお伺いしてきました🐾何より静かで落ち着くのでま…

未分類
前日もお伺いしてたけど銀杏の御朱印帳がいただきたくてお伺いしてきました🐾何より静かで落ち着くのでま…

未分類
前日もお伺いしてたけど銀杏の御朱印帳がいただきたくてお伺いしてきました🐾何より静かで落ち着くのでま…

未分類
前日もお伺いしてたけど銀杏の御朱印帳がいただきたくてお伺いしてきました🐾何より静かで落ち着くのでま…

未分類
3回目の参詣⛩️
今日は15日なので前回気持ちいい雰囲気でお気に入りの赤坂氷川神社に仕事前にお詣り…

未分類
3回目の参詣⛩️
今日は15日なので前回気持ちいい雰囲気でお気に入りの赤坂氷川神社に仕事前にお詣り…

未分類
3回目の参詣⛩️
今日は15日なので前回気持ちいい雰囲気でお気に入りの赤坂氷川神社に仕事前にお詣り…

未分類
3回目の参詣⛩️
今日は15日なので前回気持ちいい雰囲気でお気に入りの赤坂氷川神社に仕事前にお詣り…

未分類
3回目の参詣⛩️
今日は15日なので前回気持ちいい雰囲気でお気に入りの赤坂氷川神社に仕事前にお詣り…

未分類
赤坂駅より徒歩8分。坂道を上がった先に鎮座。
本堂への参拝は2列縦隊で20分程で参拝できました。…

未分類
赤坂駅より徒歩8分。坂道を上がった先に鎮座。
本堂への参拝は2列縦隊で20分程で参拝できました。…

未分類
赤坂駅より徒歩8分。坂道を上がった先に鎮座。
本堂への参拝は2列縦隊で20分程で参拝できました。…

未分類
赤坂駅より徒歩8分。坂道を上がった先に鎮座。
本堂への参拝は2列縦隊で20分程で参拝できました。…

未分類
赤坂駅より徒歩8分。坂道を上がった先に鎮座。
本堂への参拝は2列縦隊で20分程で参拝できました。…

未分類
赤坂駅より徒歩8分。坂道を上がった先に鎮座。
本堂への参拝は2列縦隊で20分程で参拝できました。…

未分類
山車

未分類
手水舎

未分類
本殿

未分類
赤坂駅より徒歩8分。坂道を上がった先に鎮座。
本堂への参拝は2列縦隊で20分程で参拝できました。…

未分類
赤坂駅より徒歩8分。坂道を上がった先に鎮座。
本堂への参拝は2列縦隊で20分程で参拝できました。…

未分類
赤坂駅より徒歩8分。坂道を上がった先に鎮座。
本堂への参拝は2列縦隊で20分程で参拝できました。…

未分類
直書きの御朱印もらいました

未分類
⛩️赤坂氷川神社に参拝させていただきました

未分類
⛩️赤坂氷川神社に参拝させていただきました

未分類
⛩️赤坂氷川神社に参拝させていただきました

未分類
⛩️赤坂氷川神社に参拝させていただきました

未分類
⛩️赤坂氷川神社に参拝させていただきました

未分類
⛩️赤坂氷川神社に参拝させていただきました

未分類
四合稲荷神社側から

未分類
大きな干支マスコット🐍も交代していました!

未分類
今年最初のお参りに行きました。
毎月お参りしている神社さんです。
四日なので、参拝の列も短…

未分類
今年最初のお参りに行きました。
毎月お参りしている神社さんです。
四日なので、参拝の列も短…

未分類
今年最初のお参りに行きました。
毎月お参りしている神社さんです。
四日なので、参拝の列も短…

未分類
今年最初のお参りに行きました。
毎月お参りしている神社さんです。
四日なので、参拝の列も短…

未分類
今年最初のお参りに行きました。
毎月お参りしている神社さんです。
四日なので、参拝の列も短…

未分類
今年最初のお参りに行きました。
毎月お参りしている神社さんです。
四日なので、参拝の列も短…

未分類
今年最初のお参りに行きました。
毎月お参りしている神社さんです。
四日なので、参拝の列も短…

未分類
今年最初のお参りに行きました。
毎月お参りしている神社さんです。
四日なので、参拝の列も短…

未分類
今年最初のお参りに行きました。
毎月お参りしている神社さんです。
四日なので、参拝の列も短…

未分類
⛩️赤坂氷川神社に参拝させていただきました。

未分類
⛩️赤坂氷川神社に参拝させていただきました。

未分類
⛩️赤坂氷川神社に参拝させていただきました。

未分類
⛩️赤坂氷川神社に参拝させていただきました。

未分類
⛩️赤坂氷川神社に参拝させていただきました。

未分類
⛩️赤坂氷川神社に参拝させていただきました。

未分類
⛩️赤坂氷川神社に参拝させていただきました。

未分類
辰年も残りわずかな年末です。

未分類
地下鉄千代田線「赤坂駅」下車徒歩7分。
オフィス街から一歩離れると閑静な住宅地にある1000…

未分類
拝殿です。

未分類
地下鉄千代田線「赤坂駅」下車徒歩7分。
オフィス街から一歩離れると閑静な住宅地にある1000…

未分類
地下鉄千代田線「赤坂駅」下車徒歩7分。
オフィス街から一歩離れると閑静な住宅地にある1000…

未分類
地下鉄千代田線「赤坂駅」下車徒歩7分。
オフィス街から一歩離れると閑静な住宅地にある1000…

未分類
地下鉄千代田線「赤坂駅」下車徒歩7分。
オフィス街から一歩離れると閑静な住宅地にある1000…

未分類
地下鉄千代田線「赤坂駅」下車徒歩7分。
オフィス街から一歩離れると閑静な住宅地にある1000…

未分類
地下鉄千代田線「赤坂駅」下車徒歩7分。
オフィス街から一歩離れると閑静な住宅地にある1000…

未分類
地下鉄千代田線「赤坂駅」下車徒歩7分。
オフィス街から一歩離れると閑静な住宅地にある1000…

未分類
地下鉄千代田線「赤坂駅」下車徒歩7分。
オフィス街から一歩離れると閑静な住宅地にある1000…

未分類
地下鉄千代田線「赤坂駅」下車徒歩7分。
オフィス街から一歩離れると閑静な住宅地にある1000…

未分類
地下鉄千代田線「赤坂駅」下車徒歩7分。
オフィス街から一歩離れると閑静な住宅地にある1000…

未分類
いたるところに狛犬が多くあります。

未分類
地下鉄千代田線「赤坂駅」下車徒歩7分。
オフィス街から一歩離れると閑静な住宅地にある1000…

未分類
長い参道を歩きます。

未分類
地下鉄千代田線「赤坂駅」下車徒歩7分。
オフィス街から一歩離れると閑静な住宅地にある1000…

未分類
8社目

未分類
一段上の真ん中には、来年の干支の巳年のへび君

未分類
干支のおみくじ。自分の干支か今年の干支を選びます。

未分類
干支のおみくじ。今年(辰年)も残りわずかです。

未分類
東京十社巡りで、根津神社からの巡拝です。「根津」にて東京メトロ千代田線に乗り「赤坂」で下車。坂道を…

未分類
東京十社の一つ。
歴史と懐かしさを感じる神社でした。
氷川坂側の入口から入るとサザンカが両脇に…

未分類
東京十社の一つ。
歴史と懐かしさを感じる神社でした。
氷川坂側の入口から入るとサザンカが両脇に…

未分類
東京十社の一つ。
歴史と懐かしさを感じる神社でした。
氷川坂側の入口から入るとサザンカが両脇に…

未分類
東京十社の一つ。
歴史と懐かしさを感じる神社でした。
氷川坂側の入口から入るとサザンカが両脇に…

未分類
東京十社の一つ。
歴史と懐かしさを感じる神社でした。
氷川坂側の入口から入るとサザンカが両脇に…

未分類
東京十社の一つ。
歴史と懐かしさを感じる神社でした。
氷川坂側の入口から入るとサザンカが両脇に…

未分類
東京十社の一つ。
歴史と懐かしさを感じる神社でした。
氷川坂側の入口から入るとサザンカが両脇に…

未分類
東京十社の一つ。
歴史と懐かしさを感じる神社でした。
氷川坂側の入口から入るとサザンカが両脇に…

未分類
東京十社の一つ。
歴史と懐かしさを感じる神社でした。
氷川坂側の入口から入るとサザンカが両脇に…

未分類
東京十社の一つ。
歴史と懐かしさを感じる神社でした。
氷川坂側の入口から入るとサザンカが両脇に…

未分類
東京十社の一つ。
歴史と懐かしさを感じる神社でした。
氷川坂側の入口から入るとサザンカが両脇に…

未分類
東京十社の一つ。
歴史と懐かしさを感じる神社でした。
氷川坂側の入口から入るとサザンカが両脇に…

未分類
東京十社の一つ。
歴史と懐かしさを感じる神社でした。
氷川坂側の入口から入るとサザンカが両脇に…

未分類
東京十社の一つ。
歴史と懐かしさを感じる神社でした。
氷川坂側の入口から入るとサザンカが両脇に…

未分類
東京十社の一つ。
歴史と懐かしさを感じる神社でした。
氷川坂側の入口から入るとサザンカが両脇に…

未分類
今年も頂きました(1000円以上の初穂料で頂けます)

未分類
今年は早々と

未分類
月参りに行きました。
前回は、足腰不調で、石段を避けて正面から入りましたが、
今回は、四合…

未分類
月参りに行きました。
前回は、足腰不調で、石段を避けて正面から入りましたが、
今回は、四合…

未分類
大銀杏も、葉がかなり落ちていました

未分類
月参りに行きました。
前回は、足腰不調で、石段を避けて正面から入りましたが、
今回は、四合…

未分類
月参りに行きました。
前回は、足腰不調で、石段を避けて正面から入りましたが、
今回は、四合…

未分類
月参りに行きました。
前回は、足腰不調で、石段を避けて正面から入りましたが、
今回は、四合…

未分類
月参りに行きました。
前回は、足腰不調で、石段を避けて正面から入りましたが、
今回は、四合…

未分類
月参りに行きました。
前回は、足腰不調で、石段を避けて正面から入りましたが、
今回は、四合…

未分類
月参りに行きました。
前回は、足腰不調で、石段を避けて正面から入りましたが、
今回は、四合…

未分類
月参りに行きました。
前回は、足腰不調で、石段を避けて正面から入りましたが、
今回は、四合…

未分類
月参りに行きました。
前回は、足腰不調で、石段を避けて正面から入りましたが、
今回は、四合…

未分類
月参りに行きました。
前回は、足腰不調で、石段を避けて正面から入りましたが、
今回は、四合…

未分類
月参りに行きました。
前回は、足腰不調で、石段を避けて正面から入りましたが、
今回は、四合…

未分類
月参りに行きました。
前回は、足腰不調で、石段を避けて正面から入りましたが、
今回は、四合…

未分類
月参りに行きました。
前回は、足腰不調で、石段を避けて正面から入りましたが、
今回は、四合…

未分類
月参りに行きました。
前回は、足腰不調で、石段を避けて正面から入りましたが、
今回は、四合…

未分類
月参りに行きました。
前回は、足腰不調で、石段を避けて正面から入りましたが、
今回は、四合…

未分類
月参りに行きました。
前回は、足腰不調で、石段を避けて正面から入りましたが、
今回は、四合…

未分類
月参りに行きました。
前回は、足腰不調で、石段を避けて正面から入りましたが、
今回は、四合…

未分類
四合稲荷神社

未分類
月参りに行きました。
前回は、足腰不調で、石段を避けて正面から入りましたが、
今回は、四合…

未分類
月参りに行きました。
前回は、足腰不調で、石段を避けて正面から入りましたが、
今回は、四合…

未分類
月参りに行きました。
前回は、足腰不調で、石段を避けて正面から入りましたが、
今回は、四合…

未分類
四合稲荷神社さん側からの参道

未分類
月参りに行きました。
前回は、足腰不調で、石段を避けて正面から入りましたが、
今回は、四合…

未分類
季節の御朱印 「大銀杏」
書置きです

未分類
山口稲荷

未分類
山車展示場

未分類
東京十社の赤坂氷川神社をお参りしました。
赤坂、六本木の氏神様です。
徳川八代将軍吉宗公により建…

未分類
御社殿

未分類
楼門

未分類
手水舎

未分類
三の鳥居

未分類
一の鳥居

未分類
お参り

未分類
お参り

未分類
令和6年(2024年)9月14日(土)
東京都港区赤坂の赤坂氷川神社に参拝
駅からハイキン…

未分類
令和6年(2024年)9月14日(土)
東京都港区赤坂の赤坂氷川神社に参拝
駅からハイキン…

未分類
令和6年(2024年)9月14日(土)
東京都港区赤坂の赤坂氷川神社に参拝
駅からハイキン…

未分類
令和6年(2024年)9月14日(土)
東京都港区赤坂の赤坂氷川神社に参拝
駅からハイキン…

未分類
令和6年(2024年)9月14日(土)
東京都港区赤坂の赤坂氷川神社に参拝
駅からハイキン…

未分類
令和6年(2024年)9月14日(土)
東京都港区赤坂の赤坂氷川神社に参拝
駅からハイキン…

未分類
令和6年(2024年)9月14日(土)
東京都港区赤坂の赤坂氷川神社に参拝
駅からハイキン…

未分類
令和6年(2024年)9月14日(土)
東京都港区赤坂の赤坂氷川神社に参拝
駅からハイキン…

未分類
令和6年(2024年)9月14日(土)
東京都港区赤坂の赤坂氷川神社に参拝
駅からハイキン…

未分類
赤坂氷川神社⛩️へおまいりしました(。・人・`。)
大銀杏はだいぶ葉が落ちてきてましたが黄色い絨毯…

未分類
赤坂氷川神社⛩️へおまいりしました(。・人・`。)
大銀杏はだいぶ葉が落ちてきてましたが黄色い絨毯…

未分類
西行稲荷⛩️

未分類
赤坂氷川神社⛩️へおまいりしました(。・人・`。)
大銀杏はだいぶ葉が落ちてきてましたが黄色い絨毯…

未分類
四合稲荷⛩️

未分類
赤坂氷川神社⛩️へおまいりしました(。・人・`。)
大銀杏はだいぶ葉が落ちてきてましたが黄色い絨毯…

未分類
狛犬サン

未分類
赤坂氷川神社⛩️へおまいりしました(。・人・`。)
大銀杏はだいぶ葉が落ちてきてましたが黄色い絨毯…

未分類
山車

未分類
大銀杏

未分類
九神社⛩️

未分類
拝殿

未分類
手水舎
秋の草花があしらわれていて素敵✨

未分類
赤坂氷川神社⛩️へおまいりしました(。・人・`。)
大銀杏はだいぶ葉が落ちてきてましたが黄色い絨毯…

未分類
狛犬サン

未分類
赤坂氷川神社⛩️へおまいりしました(。・人・`。)
大銀杏はだいぶ葉が落ちてきてましたが黄色い絨毯…

未分類
⛩️

未分類
大銀杏の御朱印拝受しました✨

未分類
ここの狛犬は傑出度高いです。

未分類
東京十社巡りで参拝。

未分類
樹齢400年の大銀杏ー赤坂氷川神社⛩️
七夕の頃お詣りした時、大銀杏が色づいたら来たいな、と…

未分類
赤坂とは思えない静かでほっとする境内

未分類
大黒様も居ました

未分類
イケメンなきつねや

未分類
樹齢400年の大銀杏ー赤坂氷川神社⛩️
七夕の頃お詣りした時、大銀杏が色づいたら来たいな、と…

未分類
伏せっ

未分類
樹齢400年の大銀杏ー赤坂氷川神社⛩️
七夕の頃お詣りした時、大銀杏が色づいたら来たいな、と…

未分類
樹齢400年の大銀杏ー赤坂氷川神社⛩️
七夕の頃お詣りした時、大銀杏が色づいたら来たいな、と…

未分類
樹齢400年の大銀杏ー赤坂氷川神社⛩️
七夕の頃お詣りした時、大銀杏が色づいたら来たいな、と…

未分類
樹齢400年の大銀杏ー赤坂氷川神社⛩️
七夕の頃お詣りした時、大銀杏が色づいたら来たいな、と…

未分類
樹齢400年の大銀杏ー赤坂氷川神社⛩️
七夕の頃お詣りした時、大銀杏が色づいたら来たいな、と…

未分類
境内にはたくさんの狛犬さん(順不同)

未分類
それなのにこんなに美しい黄金色✨️

未分類
後に周ると空襲で主幹が大きくえぐられてます

未分類
樹齢400年余りの大銀杏

未分類
樹齢400年の大銀杏ー赤坂氷川神社⛩️
七夕の頃お詣りした時、大銀杏が色づいたら来たいな、と…

未分類
樹齢400年の大銀杏ー赤坂氷川神社⛩️
七夕の頃お詣りした時、大銀杏が色づいたら来たいな、と…

未分類
樹齢400年の大銀杏ー赤坂氷川神社⛩️
七夕の頃お詣りした時、大銀杏が色づいたら来たいな、と…

未分類
樹齢400年の大銀杏ー赤坂氷川神社⛩️
七夕の頃お詣りした時、大銀杏が色づいたら来たいな、と…

未分類
手水も秋の花

未分類
樹齢400年の大銀杏ー赤坂氷川神社⛩️
七夕の頃お詣りした時、大銀杏が色づいたら来たいな、と…

未分類
錦秋の境内

未分類
赤坂氷川神社は、東京都港区赤坂に位置する歴史ある神社で、951年に創建されて以来、1000年以上の…

未分類
赤坂氷川神社は、東京都港区赤坂に位置する歴史ある神社で、951年に創建されて以来、1000年以上の…

未分類
赤坂氷川神社は、東京都港区赤坂に位置する歴史ある神社で、951年に創建されて以来、1000年以上の…

未分類
社殿

未分類
桜門

未分類
赤坂氷川神社は、東京都港区赤坂に位置する歴史ある神社で、951年に創建されて以来、1000年以上の…

未分類
手水舎

未分類
三の鳥居

未分類
赤坂氷川神社は、東京都港区赤坂に位置する歴史ある神社で、951年に創建されて以来、1000年以上の…

未分類
赤坂氷川神社は、東京都港区赤坂に位置する歴史ある神社で、951年に創建されて以来、1000年以上の…

未分類
赤坂氷川神社は、東京都港区赤坂に位置する歴史ある神社で、951年に創建されて以来、1000年以上の…

未分類
赤坂氷川祭展示場

未分類
二の鳥居

未分類
狛犬

未分類
包丁塚

未分類
赤坂氷川神社は、東京都港区赤坂に位置する歴史ある神社で、951年に創建されて以来、1000年以上の…

未分類
大銀杏

未分類
御神木

未分類
一の鳥居(南側)

未分類
太鼓橋

未分類
一の鳥居

未分類
今月は3回目の参拝になります。
今日のみ頒布の新嘗祭かさね御朱印をいただきました。
まだ大…

未分類
今月は3回目の参拝になります。
今日のみ頒布の新嘗祭かさね御朱印をいただきました。
まだ大…

未分類
今月は3回目の参拝になります。
今日のみ頒布の新嘗祭かさね御朱印をいただきました。
まだ大…

未分類
今月は3回目の参拝になります。
今日のみ頒布の新嘗祭かさね御朱印をいただきました。
まだ大…

未分類
今月は3回目の参拝になります。
今日のみ頒布の新嘗祭かさね御朱印をいただきました。
まだ大…

未分類
今月は3回目の参拝になります。
今日のみ頒布の新嘗祭かさね御朱印をいただきました。
まだ大…

未分類
今月は3回目の参拝になります。
今日のみ頒布の新嘗祭かさね御朱印をいただきました。
まだ大…

未分類
今月は3回目の参拝になります。
今日のみ頒布の新嘗祭かさね御朱印をいただきました。
まだ大…

未分類
今月は3回目の参拝になります。
今日のみ頒布の新嘗祭かさね御朱印をいただきました。
まだ大…

未分類
それでも、陽射しがなんかすてきで、、、

未分類
帰り道、駅までの道中。今までとは打って変わっての景色。やはり都会なんだなと。

未分類
イチョウの黄色い葉が落ちて、黄色いじゅうたん♪
都会のど真ん中とは思えない樹たち。
かわいい七五三…

未分類
イチョウの黄色い葉が落ちて、黄色いじゅうたん♪
都会のど真ん中とは思えない樹たち。
かわいい七五三…

未分類
イチョウの黄色い葉が落ちて、黄色いじゅうたん♪
都会のど真ん中とは思えない樹たち。
かわいい七五三…

未分類
イチョウの黄色い葉が落ちて、黄色いじゅうたん♪
都会のど真ん中とは思えない樹たち。
かわいい七五三…

未分類
イチョウの黄色い葉が落ちて、黄色いじゅうたん♪
都会のど真ん中とは思えない樹たち。
かわいい七五三…

未分類
イチョウの黄色い葉が落ちて、黄色いじゅうたん♪
都会のど真ん中とは思えない樹たち。
かわいい七五三…

未分類
なんの花材をしようしてるか説明書きがありました

未分類
手水に生け花があり、今の季節にふさわしい色使いでした。四季折々訪ねてみたくなります。

未分類
イチョウの黄色い葉が落ちて、黄色いじゅうたん♪
都会のど真ん中とは思えない樹たち。
かわいい七五三…

未分類
イチョウの黄色い葉が落ちて、黄色いじゅうたん♪
都会のど真ん中とは思えない樹たち。
かわいい七五三…

未分類
イチョウの黄色い葉が落ちて、黄色いじゅうたん♪
都会のど真ん中とは思えない樹たち。
かわいい七五三…

未分類
イチョウの黄色い葉が落ちて、黄色いじゅうたん♪
都会のど真ん中とは思えない樹たち。
かわいい七五三…

未分類
イチョウの黄色い葉が落ちて、黄色いじゅうたん♪
都会のど真ん中とは思えない樹たち。
かわいい七五三…

未分類
イチョウの黄色い葉が落ちて、黄色いじゅうたん♪
都会のど真ん中とは思えない樹たち。
かわいい七五三…

未分類
イチョウの黄色い葉が落ちて、黄色いじゅうたん♪
都会のど真ん中とは思えない樹たち。
かわいい七五三…

未分類
イチョウの黄色い葉が落ちて、黄色いじゅうたん♪
都会のど真ん中とは思えない樹たち。
かわいい七五三…

未分類
イチョウの黄色い葉が落ちて、黄色いじゅうたん♪
都会のど真ん中とは思えない樹たち。
かわいい七五三…

未分類
おもわず見上げた

未分類
イチョウの黄色い葉が落ちて、黄色いじゅうたん♪
都会のど真ん中とは思えない樹たち。
かわいい七五三…

未分類
イチョウの黄色い葉が落ちて、黄色いじゅうたん♪
都会のど真ん中とは思えない樹たち。
かわいい七五三…

未分類
イチョウの黄色い葉が落ちて、黄色いじゅうたん♪
都会のど真ん中とは思えない樹たち。
かわいい七五三…

未分類
イチョウの黄色い葉が落ちて、黄色いじゅうたん♪
都会のど真ん中とは思えない樹たち。
かわいい七五三…

未分類
色使いがとてもきれい

未分類
山車、神輿が展示してありガラス戸も開いていたので至近距離で見れました。

未分類
イチョウの黄色い葉が落ちて、黄色いじゅうたん♪
都会のど真ん中とは思えない樹たち。
かわいい七五三…

未分類
イチョウの黄色い葉が落ちて、黄色いじゅうたん♪
都会のど真ん中とは思えない樹たち。
かわいい七五三…

未分類
イチョウの黄色い葉が落ちて、黄色いじゅうたん♪
都会のど真ん中とは思えない樹たち。
かわいい七五三…

未分類
本殿

未分類
入り口

未分類
入り口

未分類
御朱印

未分類
東京十社巡りで赤坂氷川神社にお参り致しました。
オフィス街の中に有るとは思えないような境内で七五…

未分類
東京十社巡りで赤坂氷川神社にお参り致しました。
オフィス街の中に有るとは思えないような境内で七五…

未分類
季節の御朱印 大銀杏

未分類
赤坂氷川神社参拝⛩️ 東京散歩⑤
乃木神社から徒歩で10分ぐらいで到着。
東京10社で来たかっ…

未分類
月参り御朱印 かさね

未分類
赤坂氷川神社参拝⛩️ 東京散歩⑤
乃木神社から徒歩で10分ぐらいで到着。
東京10社で来たかっ…

未分類
通常御朱印 書き入れしていただけます

未分類
厄除 縁結びの社
赤坂氷川神社
御祭神
素盞嗚尊 奇稲田姫命 大己貴命(大国主命)
御神徳卮除縁結び家内安全商売繁昌
御由緒・沿革
天暦五年(九五一)に一ツ木村(赤坂四丁目付近)に祀られ、以来千年以上の歴史を有する。
江戸中期の享保元年(一七一六)、紀州徳川家の出身である吉宗公が八代将軍職を継ぐにあたり、紀州藩の中屋敷が赤坂にあったことから、吉宗公は老中水野忠之に命じて社殿を造営、享保十五年(一七三〇)に遷座が行われた。
御社殿は、安政の大地震・関東大震災・東京大空襲などの災禍を奇跡的に免れ、建立当時の姿を現代に伝えており、東京都の有形文化財(建築物)に指定されている。
例祭日 九月十五日

未分類
赤坂氷川神社参拝⛩️ 東京散歩⑤
乃木神社から徒歩で10分ぐらいで到着。
東京10社で来たかっ…

未分類
赤坂氷川神社参拝⛩️ 東京散歩⑤
乃木神社から徒歩で10分ぐらいで到着。
東京10社で来たかっ…

未分類
拝殿横から 左本殿

未分類
拝殿

未分類
赤坂氷川神社参拝⛩️ 東京散歩⑤
乃木神社から徒歩で10分ぐらいで到着。
東京10社で来たかっ…

未分類
赤坂氷川神社参拝⛩️ 東京散歩⑤
乃木神社から徒歩で10分ぐらいで到着。
東京10社で来たかっ…

未分類
赤坂氷川神社参拝⛩️ 東京散歩⑤
乃木神社から徒歩で10分ぐらいで到着。
東京10社で来たかっ…

未分類
赤坂氷川神社参拝⛩️ 東京散歩⑤
乃木神社から徒歩で10分ぐらいで到着。
東京10社で来たかっ…

未分類
赤坂氷川神社参拝⛩️ 東京散歩⑤
乃木神社から徒歩で10分ぐらいで到着。
東京10社で来たかっ…

未分類
赤坂氷川神社参拝⛩️ 東京散歩⑤
乃木神社から徒歩で10分ぐらいで到着。
東京10社で来たかっ…

未分類
赤坂氷川神社参拝⛩️ 東京散歩⑤
乃木神社から徒歩で10分ぐらいで到着。
東京10社で来たかっ…

未分類
赤坂氷川神社参拝⛩️ 東京散歩⑤
乃木神社から徒歩で10分ぐらいで到着。
東京10社で来たかっ…

未分類
赤坂氷川神社参拝⛩️ 東京散歩⑤
乃木神社から徒歩で10分ぐらいで到着。
東京10社で来たかっ…

未分類
赤坂氷川神社参拝⛩️ 東京散歩⑤
乃木神社から徒歩で10分ぐらいで到着。
東京10社で来たかっ…

未分類
手水舎に花💐

未分類
赤坂氷川神社参拝⛩️ 東京散歩⑤
乃木神社から徒歩で10分ぐらいで到着。
東京10社で来たかっ…

未分類
九神社
かつて境内の各所に鎮座していた天祖神社・春日神社・鹿島神社・八幡神社・諏訪神社・秋葉神社・厳島神社・金刀比羅神社・塞神社(さいじんじゃ)の9社を合祀した神社です。

未分類
赤坂氷川神社参拝⛩️ 東京散歩⑤
乃木神社から徒歩で10分ぐらいで到着。
東京10社で来たかっ…

未分類
赤坂氷川神社参拝⛩️ 東京散歩⑤
乃木神社から徒歩で10分ぐらいで到着。
東京10社で来たかっ…

未分類
山口稲荷

未分類
大銀杏

未分類
赤坂氷川神社参拝⛩️ 東京散歩⑤
乃木神社から徒歩で10分ぐらいで到着。
東京10社で来たかっ…

未分類
赤坂氷川神社参拝⛩️ 東京散歩⑤
乃木神社から徒歩で10分ぐらいで到着。
東京10社で来たかっ…

未分類
赤坂氷川神社参拝⛩️ 東京散歩⑤
乃木神社から徒歩で10分ぐらいで到着。
東京10社で来たかっ…

未分類
赤坂氷川神社参拝⛩️ 東京散歩⑤
乃木神社から徒歩で10分ぐらいで到着。
東京10社で来たかっ…

未分類
狛犬さんが沢山いました。

未分類
赤坂氷川神社参拝⛩️ 東京散歩⑤
乃木神社から徒歩で10分ぐらいで到着。
東京10社で来たかっ…

未分類
赤坂氷川神社参拝⛩️ 東京散歩⑤
乃木神社から徒歩で10分ぐらいで到着。
東京10社で来たかっ…

未分類
赤坂氷川神社参拝⛩️ 東京散歩⑤
乃木神社から徒歩で10分ぐらいで到着。
東京10社で来たかっ…

未分類
四合稲荷
しあわせいなり

未分類
赤坂氷川神社参拝⛩️ 東京散歩⑤
乃木神社から徒歩で10分ぐらいで到着。
東京10社で来たかっ…

未分類
西行稲荷

未分類
太鼓橋

未分類
赤坂氷川神社参拝⛩️ 東京散歩⑤
乃木神社から徒歩で10分ぐらいで到着。
東京10社で来たかっ…

未分類
狛犬さん

未分類
赤坂氷川神社参拝⛩️ 東京散歩⑤
乃木神社から徒歩で10分ぐらいで到着。
東京10社で来たかっ…

未分類
赤坂氷川神社参拝⛩️ 東京散歩⑤
乃木神社から徒歩で10分ぐらいで到着。
東京10社で来たかっ…

未分類
先日,月参りに行った時に11/16〜頒布と告知されていた『大銀杏かさね』を頂きました。
とい…

未分類
先日,月参りに行った時に11/16〜頒布と告知されていた『大銀杏かさね』を頂きました。
とい…

未分類
先日,月参りに行った時に11/16〜頒布と告知されていた『大銀杏かさね』を頂きました。
とい…

未分類
先日,月参りに行った時に11/16〜頒布と告知されていた『大銀杏かさね』を頂きました。
とい…

未分類
先日,月参りに行った時に11/16〜頒布と告知されていた『大銀杏かさね』を頂きました。
とい…

未分類
❀

未分類
予告を載せておきますね!

未分類
月参りに行きました。
ちょっと足を負傷して,階段の登りと急な登り坂だけが厳しいかなというところま…

未分類
月参りに行きました。
ちょっと足を負傷して,階段の登りと急な登り坂だけが厳しいかなというところま…

未分類
月参りに行きました。
ちょっと足を負傷して,階段の登りと急な登り坂だけが厳しいかなというところま…

未分類
月参りに行きました。
ちょっと足を負傷して,階段の登りと急な登り坂だけが厳しいかなというところま…

未分類
月参りに行きました。
ちょっと足を負傷して,階段の登りと急な登り坂だけが厳しいかなというところま…

未分類
月参りに行きました。
ちょっと足を負傷して,階段の登りと急な登り坂だけが厳しいかなというところま…

未分類
また来年の例大祭まで…🙏

未分類
月参りに行きました。
ちょっと足を負傷して,階段の登りと急な登り坂だけが厳しいかなというところま…

未分類
月参りに行きました。
ちょっと足を負傷して,階段の登りと急な登り坂だけが厳しいかなというところま…

未分類
赤坂氷川神社 東京十社めぐり

未分類
赤坂氷川神社 東京十社めぐり

未分類
赤坂氷川神社 東京十社めぐり

未分類
赤坂氷川神社 東京十社めぐり

未分類
雨の中、お参り
大都会の真ん中に
ひっそり、静かな神宮

未分類
雨の中、お参り
大都会の真ん中に
ひっそり、静かな神宮

未分類
雨の中、お参り
大都会の真ん中に
ひっそり、静かな神宮

未分類
2024.10.26.赤坂氷川神社

未分類
⛩️赤坂氷川神社に参拝させていただきました。

未分類
⛩️赤坂氷川神社に参拝させていただきました。

未分類
⛩️赤坂氷川神社に参拝させていただきました。

未分類
⛩️赤坂氷川神社に参拝させていただきました。

未分類
⛩️赤坂氷川神社に参拝させていただきました。

未分類
⛩️赤坂氷川神社に参拝させていただきました。

未分類
縁結ひ

未分類
鳥居

未分類
入口

未分類
御朱印と御神輿

未分類
御朱印

未分類
直書きの御朱印をいただきました。

未分類
直書きの御朱印をいただきました。

未分類
直書きの御朱印をいただきました。

未分類
直書きの御朱印をいただきました。

未分類
こちらで結婚式を挙げた兄夫婦に子供が産まれたため家族総出でお礼参りいたしました。

未分類
こちらで結婚式を挙げた兄夫婦に子供が産まれたため家族総出でお礼参りいたしました。

未分類
こちらで結婚式を挙げた兄夫婦に子供が産まれたため家族総出でお礼参りいたしました。

未分類
こちらで結婚式を挙げた兄夫婦に子供が産まれたため家族総出でお礼参りいたしました。

未分類
厄除と縁結びの神社です🎗
駅から坂が少しきつかったですが、境内は緑で溢れていてとても落ち着いた空…

未分類
厄除と縁結びの神社です🎗
駅から坂が少しきつかったですが、境内は緑で溢れていてとても落ち着いた空…

未分類
月参りに行きました。
月参り御朱印「かさね」を頂きました。
手水舎のお花も綺麗に活けられていて…

未分類
月参りに行きました。
月参り御朱印「かさね」を頂きました。
手水舎のお花も綺麗に活けられていて…

未分類
月参りに行きました。
月参り御朱印「かさね」を頂きました。
手水舎のお花も綺麗に活けられていて…

未分類
月参りに行きました。
月参り御朱印「かさね」を頂きました。
手水舎のお花も綺麗に活けられていて…

未分類
月参りに行きました。
月参り御朱印「かさね」を頂きました。
手水舎のお花も綺麗に活けられていて…

未分類
月参りに行きました。
月参り御朱印「かさね」を頂きました。
手水舎のお花も綺麗に活けられていて…

未分類
月参りに行きました。
月参り御朱印「かさね」を頂きました。
手水舎のお花も綺麗に活けられていて…

未分類
月参りに行きました。
月参り御朱印「かさね」を頂きました。
手水舎のお花も綺麗に活けられていて…

未分類
月参りに行きました。
月参り御朱印「かさね」を頂きました。
手水舎のお花も綺麗に活けられていて…

未分類
月参りに行きました。
月参り御朱印「かさね」を頂きました。
手水舎のお花も綺麗に活けられていて…

未分類
赤坂氷川神社(951年)
社殿, 額堂, 石燈籠, 大イチョウ, 包丁塚, 四合稲荷, 西行稲荷,…

未分類
赤坂氷川神社(951年)
社殿, 額堂, 石燈籠, 大イチョウ, 包丁塚, 四合稲荷, 西行稲荷,…

未分類
今日は一年で初詣以上ににぎやかな一日なのかもしれません。
知らなくてお詣りに伺ったのですが、お祭…

未分類
今日は一年で初詣以上ににぎやかな一日なのかもしれません。
知らなくてお詣りに伺ったのですが、お祭…

未分類
今日は一年で初詣以上ににぎやかな一日なのかもしれません。
知らなくてお詣りに伺ったのですが、お祭…

未分類
今日は一年で初詣以上ににぎやかな一日なのかもしれません。
知らなくてお詣りに伺ったのですが、お祭…

未分類
今日は一年で初詣以上ににぎやかな一日なのかもしれません。
知らなくてお詣りに伺ったのですが、お祭…

未分類
今日は一年で初詣以上ににぎやかな一日なのかもしれません。
知らなくてお詣りに伺ったのですが、お祭…

未分類
今日は一年で初詣以上ににぎやかな一日なのかもしれません。
知らなくてお詣りに伺ったのですが、お祭…

未分類
今日は一年で初詣以上ににぎやかな一日なのかもしれません。
知らなくてお詣りに伺ったのですが、お祭…

未分類
今日は一年で初詣以上ににぎやかな一日なのかもしれません。
知らなくてお詣りに伺ったのですが、お祭…

未分類
今日は一年で初詣以上ににぎやかな一日なのかもしれません。
知らなくてお詣りに伺ったのですが、お祭…

未分類
赤坂氷川祭の最終日、朝にお参りしてきました。
9時の社務所開始時間には数名の方がならんでいました。

未分類
赤坂氷川祭の最終日、朝にお参りしてきました。
9時の社務所開始時間には数名の方がならんでいました。

未分類
赤坂氷川祭の最終日、朝にお参りしてきました。
9時の社務所開始時間には数名の方がならんでいました。

未分類
月参りは済ませていましたが、9/13、14、15が赤坂氷川祭で、三日間のみ限定かさね御朱印が頒布さ…

未分類
月参りは済ませていましたが、9/13、14、15が赤坂氷川祭で、三日間のみ限定かさね御朱印が頒布さ…

未分類
月参りは済ませていましたが、9/13、14、15が赤坂氷川祭で、三日間のみ限定かさね御朱印が頒布さ…

未分類
月参りは済ませていましたが、9/13、14、15が赤坂氷川祭で、三日間のみ限定かさね御朱印が頒布さ…

未分類
月参りは済ませていましたが、9/13、14、15が赤坂氷川祭で、三日間のみ限定かさね御朱印が頒布さ…

未分類
月参りは済ませていましたが、9/13、14、15が赤坂氷川祭で、三日間のみ限定かさね御朱印が頒布さ…

未分類
月参りは済ませていましたが、9/13、14、15が赤坂氷川祭で、三日間のみ限定かさね御朱印が頒布さ…

未分類
月参りは済ませていましたが、9/13、14、15が赤坂氷川祭で、三日間のみ限定かさね御朱印が頒布さ…

未分類
月参りは済ませていましたが、9/13、14、15が赤坂氷川祭で、三日間のみ限定かさね御朱印が頒布さ…

未分類
月参りは済ませていましたが、9/13、14、15が赤坂氷川祭で、三日間のみ限定かさね御朱印が頒布さ…

未分類
月参りは済ませていましたが、9/13、14、15が赤坂氷川祭で、三日間のみ限定かさね御朱印が頒布さ…

未分類
月参りは済ませていましたが、9/13、14、15が赤坂氷川祭で、三日間のみ限定かさね御朱印が頒布さ…

未分類
月参りは済ませていましたが、9/13、14、15が赤坂氷川祭で、三日間のみ限定かさね御朱印が頒布さ…

未分類
四合稲荷神社

未分類
月が変わりましたので、雨降りでしたが、お参りに行きました。
今月は、例大祭の三日間にのみ頒布…

未分類
干支のはりこみくじも雨宿り中

未分類
月が変わりましたので、雨降りでしたが、お参りに行きました。
今月は、例大祭の三日間にのみ頒布…

未分類
月が変わりましたので、雨降りでしたが、お参りに行きました。
今月は、例大祭の三日間にのみ頒布…

未分類
月が変わりましたので、雨降りでしたが、お参りに行きました。
今月は、例大祭の三日間にのみ頒布…

未分類
月が変わりましたので、雨降りでしたが、お参りに行きました。
今月は、例大祭の三日間にのみ頒布…

未分類
月が変わりましたので、雨降りでしたが、お参りに行きました。
今月は、例大祭の三日間にのみ頒布…

未分類
銀杏の柄の御朱印帳は二色使ったので、今回はこちらを頂きました。

未分類
かさねの説明

未分類
都会の中とは思えないほど、緑豊か。都会のオアシス。勝海舟ゆかりの四合稲荷の御朱印もあわせていただく。

未分類
都会の中とは思えないほど、緑豊か。都会のオアシス。勝海舟ゆかりの四合稲荷の御朱印もあわせていただく。

未分類
都会の中とは思えないほど、緑豊か。都会のオアシス。勝海舟ゆかりの四合稲荷の御朱印もあわせていただく。

未分類
都会の中とは思えないほど、緑豊か。都会のオアシス。勝海舟ゆかりの四合稲荷の御朱印もあわせていただく。

未分類
都会の中とは思えないほど、緑豊か。都会のオアシス。勝海舟ゆかりの四合稲荷の御朱印もあわせていただく。

未分類
都会の中とは思えないほど、緑豊か。都会のオアシス。勝海舟ゆかりの四合稲荷の御朱印もあわせていただく。

未分類
駐車場あり

未分類
【初穂料 / 納経料】
300円

未分類
兄の結婚式でご祈祷していただきました。
神前式は初めて参加しましたが本当に晴れやかでおめでたい日で…

未分類
兄の結婚式でご祈祷していただきました。
神前式は初めて参加しましたが本当に晴れやかでおめでたい日で…

未分類
近くまで出たので、乃木神社さんとこちらに月参りに寄りました。
境内は緑がいっぱいで気持ち良いです…

未分類
近くまで出たので、乃木神社さんとこちらに月参りに寄りました。
境内は緑がいっぱいで気持ち良いです…

未分類
近くまで出たので、乃木神社さんとこちらに月参りに寄りました。
境内は緑がいっぱいで気持ち良いです…

未分類
近くまで出たので、乃木神社さんとこちらに月参りに寄りました。
境内は緑がいっぱいで気持ち良いです…

未分類
メトロの赤坂駅降りて、なかなか着かない氷川神社へ。
こちらにも花嫁さん。
今日は日が良いんでし…

未分類
メトロの赤坂駅降りて、なかなか着かない氷川神社へ。
こちらにも花嫁さん。
今日は日が良いんでし…

未分類
メトロの赤坂駅降りて、なかなか着かない氷川神社へ。
こちらにも花嫁さん。
今日は日が良いんでし…

未分類
メトロの赤坂駅降りて、なかなか着かない氷川神社へ。
こちらにも花嫁さん。
今日は日が良いんでし…

未分類
メトロの赤坂駅降りて、なかなか着かない氷川神社へ。
こちらにも花嫁さん。
今日は日が良いんでし…

未分類
メトロの赤坂駅降りて、なかなか着かない氷川神社へ。
こちらにも花嫁さん。
今日は日が良いんでし…

未分類
メトロの赤坂駅降りて、なかなか着かない氷川神社へ。
こちらにも花嫁さん。
今日は日が良いんでし…

未分類
さくらんぼに願いを込めて、結んできました。
狛犬さんがとっても凛々しく、まじまじと眺めてしまいまし…

未分類
さくらんぼに願いを込めて、結んできました。
狛犬さんがとっても凛々しく、まじまじと眺めてしまいまし…

未分類
さくらんぼに願いを込めて、結んできました。
狛犬さんがとっても凛々しく、まじまじと眺めてしまいまし…

未分類
さくらんぼに願いを込めて、結んできました。
狛犬さんがとっても凛々しく、まじまじと眺めてしまいまし…

未分類
七夕限定の御朱印を求めて都内散策
まずは赤坂氷川神社様

未分類
七夕限定の御朱印を求めて都内散策
まずは赤坂氷川神社様

未分類
七夕限定の御朱印を求めて都内散策
まずは赤坂氷川神社様

未分類
七夕限定の御朱印を求めて都内散策
まずは赤坂氷川神社様

未分類
七夕限定の御朱印を求めて都内散策
まずは赤坂氷川神社様

未分類
七夕限定の御朱印を求めて都内散策
まずは赤坂氷川神社様

未分類
七夕限定の御朱印を求めて都内散策
まずは赤坂氷川神社様

未分類
七夕限定の御朱印を求めて都内散策
まずは赤坂氷川神社様

未分類
七夕限定の御朱印を求めて都内散策
まずは赤坂氷川神社様

未分類
七夕限定の御朱印を求めて都内散策
まずは赤坂氷川神社様

未分類
七夕限定の御朱印を求めて都内散策
まずは赤坂氷川神社様

未分類
七夕限定の御朱印を求めて都内散策
まずは赤坂氷川神社様

未分類
七夕限定の御朱印を求めて都内散策
まずは赤坂氷川神社様

未分類
七夕限定の御朱印を求めて都内散策
まずは赤坂氷川神社様

その他建物
21.05.22。東京メトロ千代田線「赤坂駅」より徒歩8分。東京十社⑦として参拝。
天暦5…

その他建物
苗村又右衛門翁像。

その他建物
石灯篭

その他建物
21.05.22。東京メトロ千代田線「赤坂駅」より徒歩8分。東京十社⑦として参拝。
天暦5…

未分類
21.05.22。東京メトロ千代田線「赤坂駅」より徒歩8分。東京十社⑦として参拝。
天暦5…

その他建物
大銀杏解説板
↓

その他建物
包丁塚

その他建物
楼門入って左手
宮神輿庫。

未分類
社殿
亨保15年(1730年)建立、都の有形文化財(建造物)。

その他建物
楼門手前の天水桶
天保12年(1814年)の銘。

その他建物
参道

未分類
正面入り口。(南参道=表参道へ)
社号標と一之鳥居。

未分類
星合ひ参り 天の川
7/7限定御朱印

未分類
月が変わりましたので、お参りに行きました。
いつものように四合稲荷神社側から。緑が多くてきれいで…

未分類
月が変わりましたので、お参りに行きました。
いつものように四合稲荷神社側から。緑が多くてきれいで…

未分類
月が変わりましたので、お参りに行きました。
いつものように四合稲荷神社側から。緑が多くてきれいで…

未分類
月が変わりましたので、お参りに行きました。
いつものように四合稲荷神社側から。緑が多くてきれいで…

未分類
月が変わりましたので、お参りに行きました。
いつものように四合稲荷神社側から。緑が多くてきれいで…

未分類
月が変わりましたので、お参りに行きました。
いつものように四合稲荷神社側から。緑が多くてきれいで…

未分類
茅の輪。撤去されました、

未分類
月が変わりましたので、お参りに行きました。
いつものように四合稲荷神社側から。緑が多くてきれいで…

未分類
月が変わりましたので、お参りに行きました。
いつものように四合稲荷神社側から。緑が多くてきれいで…

未分類
月が変わりましたので、お参りに行きました。
いつものように四合稲荷神社側から。緑が多くてきれいで…

未分類
参拝記念

未分類
🪽 素戔嗚尊(すさのおのみこと)
🪽 奇稲田姫命(くしなだひめのみこと)
🪽 大己貴命(おおな…

未分類
🪽 素戔嗚尊(すさのおのみこと)
🪽 奇稲田姫命(くしなだひめのみこと)
🪽 大己貴命(おおな…

未分類
🪽 素戔嗚尊(すさのおのみこと)
🪽 奇稲田姫命(くしなだひめのみこと)
🪽 大己貴命(おおな…

未分類
神様の御使様かな?蛇の赤ちゃんちっちゃい🐍でもこわいけど御使様だもんねーこわない。赤坂に🐍出るんかー

未分類
お神輿。

未分類
御朱印受付とおみくじたくさん✨

未分類
逆光😓

未分類
日枝神社から徒歩15分くらいでした。
赤坂はアップダウンが多くて結構きつかったです。
辿り着いてす…

未分類
日枝神社から徒歩15分くらいでした。
赤坂はアップダウンが多くて結構きつかったです。
辿り着いてす…

未分類
日枝神社から徒歩15分くらいでした。
赤坂はアップダウンが多くて結構きつかったです。
辿り着いてす…

未分類
日枝神社から徒歩15分くらいでした。
赤坂はアップダウンが多くて結構きつかったです。
辿り着いてす…

未分類
鳥居からの拝殿。

未分類
ここ赤坂なのよね😳すごい空気が澄んでる✨✨✨

未分類
日枝神社から徒歩15分くらいでした。
赤坂はアップダウンが多くて結構きつかったです。
辿り着いてす…

未分類
緑あふれる鳥居をくぐると空気が変わりました😳

未分類
お書き入れ御朱印。

未分類
お書き置き御朱印。

未分類
自分の干支🐭を購入✨

未分類
太鼓橋を渡って鎮守の森へ
この日は、雨宿りをしました

未分類
左三つ巴が彫刻された石階段

未分類
お祭りの際は、御神輿に御祭神を乗せまして町内を練り歩く訳です
移動するお宮が「御神輿」

未分類
立派な御神輿を間近に鑑賞出来ました!

未分類
四合稲荷神社の御朱印
幸せ、しあわせ、四合
日本語の遊び心が伺えます

未分類
摂社、四合稲荷神社

未分類
こちらは月参り御朱印
月参り御朱印『かさね』
月参りとは、無事に過ごせたひと月の感謝と、新しい月のご加護を祈願することをいいます。月参りのご参拝記念として、月ごとの御朱印「かさね」を頒布しております。

未分類
御朱印お分して頂きました♪(*´꒳`*)
すっげぇ好きなタイプの御朱印です
御朱印上に社号をお書き入れして頂くものも良いですが、御朱印の本質は「朱印」ですのでこうした御朱印がはっきりと見える、且つシンプルな感じが良きです(⑉• •⑉)♡

未分類
御屋根
銅の緑青(ろくしょう)が年月を物語ます

未分類
御社殿
鎮座より一千年余、「厄除」「縁結び」の信仰が篤い赤坂氷川神社。徳川吉宗公建立の御社殿は、幾多の震災・戦災を免れ建立当時の姿を現代に伝えます。緑豊かな境内には、江戸の年号が刻まれた鳥居・狛犬・灯籠が現存しており、都内では珍しい江戸の情景を数多く残す神社です
御祭神、素盞嗚尊すさのおのみこと、奇稲田姫命くしいなだひめのみこと、大己貴命おおなむぢのみこと (別名/大国主命)

未分類
拝殿前の楼門

未分類
草花手水舎に癒されながら
心洗い、穢れをおとします

未分類
豊かな御神水を湛える手水舎

未分類
拝殿前の三ノ鳥居
手水舎前に建立する様が、更なる聖域の境を示します

未分類
赤坂住宅街に青々と息吹く木々緑
神社巡りの好きな理由のひとつが、こうした自然豊かな場所でもあります
こちら、東側の一ノ鳥居⛩️

未分類
初めて訪れた時の入り口
こちらは東側の参道でした

未分類
月が変わりましたのでお参りに行きました。
午後から雨予報で、朝からも怪しい雲行きだったせいか、参…

未分類
月が変わりましたのでお参りに行きました。
午後から雨予報で、朝からも怪しい雲行きだったせいか、参…

未分類
月が変わりましたのでお参りに行きました。
午後から雨予報で、朝からも怪しい雲行きだったせいか、参…

未分類
月が変わりましたのでお参りに行きました。
午後から雨予報で、朝からも怪しい雲行きだったせいか、参…

未分類
月が変わりましたのでお参りに行きました。
午後から雨予報で、朝からも怪しい雲行きだったせいか、参…

未分類
月が変わりましたのでお参りに行きました。
午後から雨予報で、朝からも怪しい雲行きだったせいか、参…

未分類
月が変わりましたのでお参りに行きました。
午後から雨予報で、朝からも怪しい雲行きだったせいか、参…

未分類
四合稲荷側の入り口〜

未分類
月が変わりましたのでお参りに行きました。
午後から雨予報で、朝からも怪しい雲行きだったせいか、参…

未分類
月が変わりましたのでお参りに行きました。
午後から雨予報で、朝からも怪しい雲行きだったせいか、参…

その他建物
氷川神社様専用の御朱印帳を作ったのでお参りに行って来ました😊
【赤坂氷川神社】
氷…

未分類
氷川神社様専用の御朱印帳を作ったのでお参りに行って来ました😊
【赤坂氷川神社】
氷…

未分類
氷川神社様専用の御朱印帳を作ったのでお参りに行って来ました😊
【赤坂氷川神社】
氷…

その他建物
氷川神社様専用の御朱印帳を作ったのでお参りに行って来ました😊
【赤坂氷川神社】
氷…

未分類
☆二の鳥居のそばの狛犬様その4☆

その他建物
氷川神社様専用の御朱印帳を作ったのでお参りに行って来ました😊
【赤坂氷川神社】
氷…

未分類
氷川神社様専用の御朱印帳を作ったのでお参りに行って来ました😊
【赤坂氷川神社】
氷…

その他建物
☆石灯籠(港区有形文化財)☆
境内には石製の台灯籠が合わせて7対奉納されています。中門前に安置される灯籠は、遷座を担当していた老中 水野忠之が御社殿完成を記念して奉納したもので、港区登録有形文化財に指定されています。

その他建物
☆社号標☆

未分類
東京十社巡り⛩️
十社1日で参拝しようとしましたが1日では無理でした😅

未分類
大都会にある自然のオアシス。とても癒される素敵な神社でした。

未分類
大都会にある自然のオアシス。とても癒される素敵な神社でした。

未分類
大都会にある自然のオアシス。とても癒される素敵な神社でした。

未分類
大都会にある自然のオアシス。とても癒される素敵な神社でした。

未分類
参拝

未分類
参拝

未分類
参拝

未分類
参拝

未分類
参拝

未分類
参拝

未分類
参拝

未分類
参拝

未分類
参拝

未分類
参拝

未分類
参拝

未分類
参拝

未分類
参拝

未分類
参拝

未分類
参拝

未分類
参拝

未分類
参拝

未分類
参拝

未分類
参拝

未分類
参拝

未分類
参拝

未分類
参拝

未分類
参拝

未分類
参拝

未分類
参拝

未分類
参拝

未分類
参拝

未分類
参拝

未分類
参拝

未分類
参拝

未分類
参拝

未分類
参拝

未分類
参拝

未分類
参拝

未分類
参拝

未分類
参拝

未分類
参拝

未分類
参拝

未分類
参拝

未分類
参拝

未分類
参拝

未分類
参拝

未分類
参拝

未分類
参拝

未分類
参拝

未分類
参拝

未分類
参拝

未分類
参拝

未分類
参拝

未分類
参拝

未分類
参拝

未分類
参拝

未分類
参拝

未分類
参拝

未分類
参拝

未分類
✨月参り御朱印 かさね✨かさね、初めていただいた~😲💕
何時も人気で、ちょっと遠い気がして、足が遠…

未分類
✨月参り御朱印 かさね✨かさね、初めていただいた~😲💕
何時も人気で、ちょっと遠い気がして、足が遠…

未分類
✨月参り御朱印 かさね✨かさね、初めていただいた~😲💕
何時も人気で、ちょっと遠い気がして、足が遠…

未分類
✨月参り御朱印 かさね✨かさね、初めていただいた~😲💕
何時も人気で、ちょっと遠い気がして、足が遠…

未分類
✨月参り御朱印 かさね✨かさね、初めていただいた~😲💕
何時も人気で、ちょっと遠い気がして、足が遠…

未分類
✨月参り御朱印 かさね✨かさね、初めていただいた~😲💕
何時も人気で、ちょっと遠い気がして、足が遠…

未分類
✨月参り御朱印 かさね✨かさね、初めていただいた~😲💕
何時も人気で、ちょっと遠い気がして、足が遠…

未分類
✨月参り御朱印 かさね✨かさね、初めていただいた~😲💕
何時も人気で、ちょっと遠い気がして、足が遠…

未分類
月が変わりましたのでお参りに行きました。
想像以上に雨足が強くて
移動時に傘があっても髪や衣服…

未分類
月が変わりましたのでお参りに行きました。
想像以上に雨足が強くて
移動時に傘があっても髪や衣服…

未分類
月が変わりましたのでお参りに行きました。
想像以上に雨足が強くて
移動時に傘があっても髪や衣服…

未分類
月が変わりましたのでお参りに行きました。
想像以上に雨足が強くて
移動時に傘があっても髪や衣服…

未分類
月が変わりましたのでお参りに行きました。
想像以上に雨足が強くて
移動時に傘があっても髪や衣服…

未分類
月が変わりましたのでお参りに行きました。
想像以上に雨足が強くて
移動時に傘があっても髪や衣服…

未分類
月が変わりましたのでお参りに行きました。
想像以上に雨足が強くて
移動時に傘があっても髪や衣服…

未分類
月が変わりましたのでお参りに行きました。
想像以上に雨足が強くて
移動時に傘があっても髪や衣服…

未分類
月が変わりましたのでお参りに行きました。
境内の🌸がようやく咲いていました。
こちらの桜は…

未分類
月が変わりましたのでお参りに行きました。
境内の🌸がようやく咲いていました。
こちらの桜は…

未分類
月が変わりましたのでお参りに行きました。
境内の🌸がようやく咲いていました。
こちらの桜は…

未分類
月が変わりましたのでお参りに行きました。
境内の🌸がようやく咲いていました。
こちらの桜は…

未分類
月が変わりましたのでお参りに行きました。
境内の🌸がようやく咲いていました。
こちらの桜は…

未分類
月が変わりましたのでお参りに行きました。
境内の🌸がようやく咲いていました。
こちらの桜は…

未分類
月が変わりましたのでお参りに行きました。
境内の🌸がようやく咲いていました。
こちらの桜は…

未分類
月が変わりましたのでお参りに行きました。
境内の🌸がようやく咲いていました。
こちらの桜は…

未分類
月が変わりましたのでお参りに行きました。
境内の🌸がようやく咲いていました。
こちらの桜は…

未分類
月が変わりましたのでお参りに行きました。
境内の🌸がようやく咲いていました。
こちらの桜は…

未分類
月が変わりましたのでお参りに行きました。
境内の🌸がようやく咲いていました。
こちらの桜は…

未分類
月が変わりましたのでお参りに行きました。
境内の🌸がようやく咲いていました。
こちらの桜は…

未分類
月が変わりましたのでお参りに行きました。
境内の🌸がようやく咲いていました。
こちらの桜は…

未分類
月が変わりましたのでお参りに行きました。
境内の🌸がようやく咲いていました。
こちらの桜は…

未分類
御朱印

未分類
御朱印

未分類
今日(3/16)から、季節の限定御朱印『さくら参り』が頒布されるとのことで、いってきました。
🌸…

未分類
今日(3/16)から、季節の限定御朱印『さくら参り』が頒布されるとのことで、いってきました。
🌸…

未分類
今日(3/16)から、季節の限定御朱印『さくら参り』が頒布されるとのことで、いってきました。
🌸…

未分類
今日(3/16)から、季節の限定御朱印『さくら参り』が頒布されるとのことで、いってきました。
🌸…

未分類
今日(3/16)から、季節の限定御朱印『さくら参り』が頒布されるとのことで、いってきました。
🌸…

未分類
赤坂氷川神社、本日から桜の御朱印がいただけるということで
お参りしてきました。
今日は友引、結…

未分類
赤坂氷川神社、本日から桜の御朱印がいただけるということで
お参りしてきました。
今日は友引、結…

未分類
赤坂氷川神社、本日から桜の御朱印がいただけるということで
お参りしてきました。
今日は友引、結…

未分類
参拝記録

未分類
参拝記録

未分類
東京都港区の赤坂氷川神社へ参拝。
桜井識子氏の本によると、ここの神様は願い事を必ず一つだけ叶…

未分類
東京都港区の赤坂氷川神社へ参拝。
桜井識子氏の本によると、ここの神様は願い事を必ず一つだけ叶…

未分類
東京都港区の赤坂氷川神社へ参拝。
桜井識子氏の本によると、ここの神様は願い事を必ず一つだけ叶…

未分類
東京都港区の赤坂氷川神社へ参拝。
桜井識子氏の本によると、ここの神様は願い事を必ず一つだけ叶…

未分類
赤坂氷川神社に参拝させていただきました。

未分類
赤坂氷川神社に参拝させていただきました。

未分類
赤坂氷川神社に参拝させていただきました。

未分類
赤坂氷川神社に参拝させていただきました。

未分類
赤坂氷川神社に参拝させていただきました。

未分類
赤坂氷川神社に参拝させていただきました。

未分類
赤坂氷川神社に参拝させていただきました。

未分類
月が変わりましたので,お参りに行きました。
毎月、こちらの神社で開催している花活け教室はなのみち…

未分類
月が変わりましたので,お参りに行きました。
毎月、こちらの神社で開催している花活け教室はなのみち…

未分類
月が変わりましたので,お参りに行きました。
毎月、こちらの神社で開催している花活け教室はなのみち…

未分類
月が変わりましたので,お参りに行きました。
毎月、こちらの神社で開催している花活け教室はなのみち…

未分類
月が変わりましたので,お参りに行きました。
毎月、こちらの神社で開催している花活け教室はなのみち…

未分類
月が変わりましたので,お参りに行きました。
毎月、こちらの神社で開催している花活け教室はなのみち…

未分類
月が変わりましたので,お参りに行きました。
毎月、こちらの神社で開催している花活け教室はなのみち…

未分類
月が変わりましたので,お参りに行きました。
毎月、こちらの神社で開催している花活け教室はなのみち…

未分類
月が変わりましたので,お参りに行きました。
毎月、こちらの神社で開催している花活け教室はなのみち…

未分類
東京十社⛩️のひとつ、赤坂氷川神社⛩️に参拝して来ました。
氷川の名称の由来は、出雲国 簸川(現…

未分類
東京十社⛩️のひとつ、赤坂氷川神社⛩️に参拝して来ました。
氷川の名称の由来は、出雲国 簸川(現…

未分類
東京十社⛩️のひとつ、赤坂氷川神社⛩️に参拝して来ました。
氷川の名称の由来は、出雲国 簸川(現…

未分類
東京十社⛩️のひとつ、赤坂氷川神社⛩️に参拝して来ました。
氷川の名称の由来は、出雲国 簸川(現…

未分類
東京十社⛩️のひとつ、赤坂氷川神社⛩️に参拝して来ました。
氷川の名称の由来は、出雲国 簸川(現…

未分類
東京十社⛩️のひとつ、赤坂氷川神社⛩️に参拝して来ました。
氷川の名称の由来は、出雲国 簸川(現…

未分類
東京十社⛩️のひとつ、赤坂氷川神社⛩️に参拝して来ました。
氷川の名称の由来は、出雲国 簸川(現…

未分類
東京十社⛩️のひとつ、赤坂氷川神社⛩️に参拝して来ました。
氷川の名称の由来は、出雲国 簸川(現…

未分類
東京十社⛩️のひとつ、赤坂氷川神社⛩️に参拝して来ました。
氷川の名称の由来は、出雲国 簸川(現…

未分類
本日のみ頒布の『祈年祭』かさね御朱印を頂きました。
お天気も良く、久しぶりに境内の狛犬巡…

未分類
本日のみ頒布の『祈年祭』かさね御朱印を頂きました。
お天気も良く、久しぶりに境内の狛犬巡…

未分類
本日のみ頒布の『祈年祭』かさね御朱印を頂きました。
お天気も良く、久しぶりに境内の狛犬巡…

未分類
本日のみ頒布の『祈年祭』かさね御朱印を頂きました。
お天気も良く、久しぶりに境内の狛犬巡…

未分類
本日のみ頒布の『祈年祭』かさね御朱印を頂きました。
お天気も良く、久しぶりに境内の狛犬巡…

未分類
本日のみ頒布の『祈年祭』かさね御朱印を頂きました。
お天気も良く、久しぶりに境内の狛犬巡…

未分類
本日のみ頒布の『祈年祭』かさね御朱印を頂きました。
お天気も良く、久しぶりに境内の狛犬巡…

未分類
本日のみ頒布の『祈年祭』かさね御朱印を頂きました。
お天気も良く、久しぶりに境内の狛犬巡…

未分類
本日のみ頒布の『祈年祭』かさね御朱印を頂きました。
お天気も良く、久しぶりに境内の狛犬巡…

未分類
本日のみ頒布の『祈年祭』かさね御朱印を頂きました。
お天気も良く、久しぶりに境内の狛犬巡…

未分類
本日のみ頒布の『祈年祭』かさね御朱印を頂きました。
お天気も良く、久しぶりに境内の狛犬巡…

未分類
本日のみ頒布の『祈年祭』かさね御朱印を頂きました。
お天気も良く、久しぶりに境内の狛犬巡…

未分類
本日のみ頒布の『祈年祭』かさね御朱印を頂きました。
お天気も良く、久しぶりに境内の狛犬巡…

未分類
本日のみ頒布の『祈年祭』かさね御朱印を頂きました。
お天気も良く、久しぶりに境内の狛犬巡…

未分類
本日のみ頒布の『祈年祭』かさね御朱印を頂きました。
お天気も良く、久しぶりに境内の狛犬巡…

未分類
本日のみ頒布の『祈年祭』かさね御朱印を頂きました。
お天気も良く、久しぶりに境内の狛犬巡…

未分類
本日のみ頒布の『祈年祭』かさね御朱印を頂きました。
お天気も良く、久しぶりに境内の狛犬巡…

未分類
本日のみ頒布の『祈年祭』かさね御朱印を頂きました。
お天気も良く、久しぶりに境内の狛犬巡…

未分類
本日のみ頒布の『祈年祭』かさね御朱印を頂きました。
お天気も良く、久しぶりに境内の狛犬巡…

未分類
本日のみ頒布の『祈年祭』かさね御朱印を頂きました。
お天気も良く、久しぶりに境内の狛犬巡…

未分類
平日昼間に参詣しましたがひっきりなしに参拝者がいらしてました。それでもとても静かでいいところ。社務…

未分類
平日昼間に参詣しましたがひっきりなしに参拝者がいらしてました。それでもとても静かでいいところ。社務…

未分類
東京十社巡りの二社目として品川神社からRUNで移動しました。
四合稲荷の御朱印もいただきました。

未分類
東京十社巡りの二社目として品川神社からRUNで移動しました。
四合稲荷の御朱印もいただきました。

未分類
東京十社巡りの二社目として品川神社からRUNで移動しました。
四合稲荷の御朱印もいただきました。

未分類
お神輿を見ることができます。

未分類
拝殿です

未分類
拝殿の入り口です

未分類
手水舎です

未分類
三の鳥居です。奥に拝殿が見えます。

未分類
ニの鳥居です

未分類
もう一つの入り口です。奥にニの鳥居が見えます。

未分類
神社の入り口です。奥に一の鳥居も見えます。

未分類
以前頂いた御朱印です。
東京十社ですね。

未分類
月が変わりましたので、御参りしてきました。
いつものように、正面からではなく、四合稲荷神社側…

未分類
月が変わりましたので、御参りしてきました。
いつものように、正面からではなく、四合稲荷神社側…

未分類
月が変わりましたので、御参りしてきました。
いつものように、正面からではなく、四合稲荷神社側…

未分類
月が変わりましたので、御参りしてきました。
いつものように、正面からではなく、四合稲荷神社側…

未分類
月が変わりましたので、御参りしてきました。
いつものように、正面からではなく、四合稲荷神社側…

未分類
豆まきの準備!

未分類
月が変わりましたので、御参りしてきました。
いつものように、正面からではなく、四合稲荷神社側…

未分類
月が変わりましたので、御参りしてきました。
いつものように、正面からではなく、四合稲荷神社側…

未分類
月が変わりましたので、御参りしてきました。
いつものように、正面からではなく、四合稲荷神社側…

未分類
月が変わりましたので、御参りしてきました。
いつものように、正面からではなく、四合稲荷神社側…

未分類
月が変わりましたので、御参りしてきました。
いつものように、正面からではなく、四合稲荷神社側…

未分類
月が変わりましたので、御参りしてきました。
いつものように、正面からではなく、四合稲荷神社側…

未分類
氷川神社へ初参拝。狛犬が四体ありました。干支おみくじをしました。大吉ではなかったです。
御朱印を…

未分類
氷川神社へ初参拝。狛犬が四体ありました。干支おみくじをしました。大吉ではなかったです。
御朱印を…

未分類
氷川神社へ初参拝。狛犬が四体ありました。干支おみくじをしました。大吉ではなかったです。
御朱印を…

未分類
氷川神社へ初参拝。狛犬が四体ありました。干支おみくじをしました。大吉ではなかったです。
御朱印を…

未分類
氷川神社へ初参拝。狛犬が四体ありました。干支おみくじをしました。大吉ではなかったです。
御朱印を…

未分類
氷川神社へ初参拝。狛犬が四体ありました。干支おみくじをしました。大吉ではなかったです。
御朱印を…

未分類
氷川神社へ初参拝。狛犬が四体ありました。干支おみくじをしました。大吉ではなかったです。
御朱印を…

未分類
氷川神社へ初参拝。狛犬が四体ありました。干支おみくじをしました。大吉ではなかったです。
御朱印を…

未分類
氷川神社へ初参拝。狛犬が四体ありました。干支おみくじをしました。大吉ではなかったです。
御朱印を…

未分類
氷川神社へ初参拝。狛犬が四体ありました。干支おみくじをしました。大吉ではなかったです。
御朱印を…

未分類
梅が咲いてました。

未分類
氷川神社へ初参拝。狛犬が四体ありました。干支おみくじをしました。大吉ではなかったです。
御朱印を…

未分類
氷川神社へ初参拝。狛犬が四体ありました。干支おみくじをしました。大吉ではなかったです。
御朱印を…

未分類
東京十社めぐり
その5
日枝神社から徒歩で移動しました。
御朱印は書き置きでした。

未分類
東京十社めぐり
その5
日枝神社から徒歩で移動しました。
御朱印は書き置きでした。

未分類
東京十社めぐり
その5
日枝神社から徒歩で移動しました。
御朱印は書き置きでした。

未分類
参拝🙏✨
赤坂駅乃木坂口から徒歩10分弱。
赤坂actシアター前に行ってきました。
…

未分類
参拝🙏✨
赤坂駅乃木坂口から徒歩10分弱。
赤坂actシアター前に行ってきました。
…

未分類
⛩️our video
https://youtu.be/anJTiVWs75g?si=YECy…

未分類
⛩️our video
https://youtu.be/anJTiVWs75g?si=YECy…

未分類
⛩️our video
https://youtu.be/anJTiVWs75g?si=YECy…

未分類
⛩️our video
https://youtu.be/anJTiVWs75g?si=YECy…

未分類
⛩️our video
https://youtu.be/anJTiVWs75g?si=YECy…

未分類
⛩️our video
https://youtu.be/anJTiVWs75g?si=YECy…

未分類
⛩️our video
https://youtu.be/anJTiVWs75g?si=YECy…

未分類
⛩️our video
https://youtu.be/anJTiVWs75g?si=YECy…

未分類
⛩️our video
https://youtu.be/anJTiVWs75g?si=YECy…

未分類
⛩️our video
https://youtu.be/anJTiVWs75g?si=YECy…

未分類
⛩️our video
https://youtu.be/anJTiVWs75g?si=YECy…

未分類
⛩️our video
https://youtu.be/anJTiVWs75g?si=YECy…

未分類
⛩️our video
https://youtu.be/anJTiVWs75g?si=YECy…

未分類
⛩️our video
https://youtu.be/anJTiVWs75g?si=YECy…

未分類
⛩️our video
https://youtu.be/anJTiVWs75g?si=YECy…

未分類
⛩️our video
https://youtu.be/anJTiVWs75g?si=YECy…

未分類
⛩️our video
https://youtu.be/anJTiVWs75g?si=YECy…

未分類
2024年最初の赤坂氷川神社さんへ。
いつものように、正面からでなく、赤坂駅から転坂経由で、…

未分類
2024年最初の赤坂氷川神社さんへ。
いつものように、正面からでなく、赤坂駅から転坂経由で、…

未分類
2024年最初の赤坂氷川神社さんへ。
いつものように、正面からでなく、赤坂駅から転坂経由で、…

未分類
2024年最初の赤坂氷川神社さんへ。
いつものように、正面からでなく、赤坂駅から転坂経由で、…

未分類
2024年最初の赤坂氷川神社さんへ。
いつものように、正面からでなく、赤坂駅から転坂経由で、…

未分類
2024年最初の赤坂氷川神社さんへ。
いつものように、正面からでなく、赤坂駅から転坂経由で、…

未分類
2024年最初の赤坂氷川神社さんへ。
いつものように、正面からでなく、赤坂駅から転坂経由で、…

未分類
2024年最初の赤坂氷川神社さんへ。
いつものように、正面からでなく、赤坂駅から転坂経由で、…

未分類
2024年最初の赤坂氷川神社さんへ。
いつものように、正面からでなく、赤坂駅から転坂経由で、…

未分類
2024年最初の赤坂氷川神社さんへ。
いつものように、正面からでなく、赤坂駅から転坂経由で、…

未分類
2024年最初の赤坂氷川神社さんへ。
いつものように、正面からでなく、赤坂駅から転坂経由で、…

未分類
2024年最初の赤坂氷川神社さんへ。
いつものように、正面からでなく、赤坂駅から転坂経由で、…

未分類
五芒星巡り2社目は
赤坂氷川神社様

未分類
五芒星巡り2社目は
赤坂氷川神社様

未分類
五芒星巡り2社目は
赤坂氷川神社様

未分類
五芒星巡り2社目は
赤坂氷川神社様

未分類
五芒星巡り2社目は
赤坂氷川神社様

未分類
赤坂にあるとは思えな位ぐらいの自然豊かな神社です。

未分類
赤坂にあるとは思えな位ぐらいの自然豊かな神社です。

未分類
赤坂にあるとは思えな位ぐらいの自然豊かな神社です。

未分類
赤坂にあるとは思えな位ぐらいの自然豊かな神社です。

未分類
赤坂にあるとは思えな位ぐらいの自然豊かな神社です。

未分類
赤坂にあるとは思えな位ぐらいの自然豊かな神社です。

未分類
赤坂にあるとは思えな位ぐらいの自然豊かな神社です。

未分類
赤坂にあるとは思えな位ぐらいの自然豊かな神社です。

未分類
赤坂にあるとは思えな位ぐらいの自然豊かな神社です。

未分類
東京都 赤坂氷川神社

未分類
東京都 赤坂氷川神社

未分類
東京都 赤坂氷川神社

未分類
東京都 赤坂氷川神社

未分類
東京都 赤坂氷川神社

その他建物
乃木神社から車で数分^^(都内の洗礼^^; 一方通行の悪魔に憑りつかれ到着まで10分以上かかってし…

その他建物
乃木神社から車で数分^^(都内の洗礼^^; 一方通行の悪魔に憑りつかれ到着まで10分以上かかってし…

その他建物
乃木神社から車で数分^^(都内の洗礼^^; 一方通行の悪魔に憑りつかれ到着まで10分以上かかってし…

未分類
5月新緑の季節の参拝
静かな赤坂の森の中にある神社⛩️さん。
森林浴!気持ちもリフレッシュ出来…

未分類
5月新緑の季節の参拝
静かな赤坂の森の中にある神社⛩️さん。
森林浴!気持ちもリフレッシュ出来…

未分類
5月新緑の季節の参拝
静かな赤坂の森の中にある神社⛩️さん。
森林浴!気持ちもリフレッシュ出来…

未分類
5月新緑の季節の参拝
静かな赤坂の森の中にある神社⛩️さん。
森林浴!気持ちもリフレッシュ出来…

未分類
5月新緑の季節の参拝
静かな赤坂の森の中にある神社⛩️さん。
森林浴!気持ちもリフレッシュ出来…

未分類
5月新緑の季節の参拝
静かな赤坂の森の中にある神社⛩️さん。
森林浴!気持ちもリフレッシュ出来…

未分類
5月新緑の季節の参拝
静かな赤坂の森の中にある神社⛩️さん。
森林浴!気持ちもリフレッシュ出来…

未分類
5月新緑の季節の参拝
静かな赤坂の森の中にある神社⛩️さん。
森林浴!気持ちもリフレッシュ出来…

未分類
5月新緑の季節の参拝
静かな赤坂の森の中にある神社⛩️さん。
森林浴!気持ちもリフレッシュ出来…

未分類
5月新緑の季節の参拝
静かな赤坂の森の中にある神社⛩️さん。
森林浴!気持ちもリフレッシュ出来…

未分類
5月新緑の季節の参拝
静かな赤坂の森の中にある神社⛩️さん。
森林浴!気持ちもリフレッシュ出来…

未分類
可愛いですね🩷

未分類
5月新緑の季節の参拝
静かな赤坂の森の中にある神社⛩️さん。
森林浴!気持ちもリフレッシュ出来…

未分類
5月新緑の季節の参拝
静かな赤坂の森の中にある神社⛩️さん。
森林浴!気持ちもリフレッシュ出来…

未分類
5月新緑の季節の参拝
静かな赤坂の森の中にある神社⛩️さん。
森林浴!気持ちもリフレッシュ出来…

未分類
5月新緑の季節の参拝
静かな赤坂の森の中にある神社⛩️さん。
森林浴!気持ちもリフレッシュ出来…

未分類
癒やしの境内に吸い込まれました♪

未分類
ボチボチ氷川三昧🐾③『赤坂氷川神社』
都会のオアシス🌿とても素敵な境内ヽ( ´¬`)ノ
銀杏…

未分類
こちらは落葉してすっきりしてしまった銀杏💦

未分類
ボチボチ氷川三昧🐾③『赤坂氷川神社』
都会のオアシス🌿とても素敵な境内ヽ( ´¬`)ノ
銀杏…

未分類
色々な狛犬さんに合えてよかった!
ちょっとボケているけれど、愛らしいチビ狛ちゃんにキュン

未分類
ボチボチ氷川三昧🐾③『赤坂氷川神社』
都会のオアシス🌿とても素敵な境内ヽ( ´¬`)ノ
銀杏…

未分類
山車展示場
これは御神輿かな、、
写真で見た江戸型山車とは違うような~

未分類
手水舎
また違う季節の花も見てみたい✨

未分類
皆さんも撮られている🍒さくらんぼ神籤の木

未分類
干支の御神籤が欲しくて悩みました😣
翌日、西銀座チャンスセンターで年末ジャンボを買う気満々!このタイミングで結果が悪いと嫌なので止めておきました。

未分類
お別れが近づく兎さん

未分類
ボチボチ氷川三昧🐾③『赤坂氷川神社』
都会のオアシス🌿とても素敵な境内ヽ( ´¬`)ノ
銀杏…

未分類
楼門

未分類
推定樹齢400年の立派な大銀杏は黄葉が輝いて綺麗でした😊

未分類
~小雪の花手水~
老鴉柿、コナラ、ブルーベリー、ユキヤナジ、
ベスビオ菊、みだれ小菊、肥後菊

未分類
12月に入りましたので、お参りに行きました。
先日黄色一色だったところも、葉がかなり落ちていたり…

未分類
12月に入りましたので、お参りに行きました。
先日黄色一色だったところも、葉がかなり落ちていたり…

未分類
12月に入りましたので、お参りに行きました。
先日黄色一色だったところも、葉がかなり落ちていたり…

未分類
12月に入りましたので、お参りに行きました。
先日黄色一色だったところも、葉がかなり落ちていたり…

未分類
12月に入りましたので、お参りに行きました。
先日黄色一色だったところも、葉がかなり落ちていたり…

未分類
12月に入りましたので、お参りに行きました。
先日黄色一色だったところも、葉がかなり落ちていたり…

未分類
12月に入りましたので、お参りに行きました。
先日黄色一色だったところも、葉がかなり落ちていたり…

未分類
12月に入りましたので、お参りに行きました。
先日黄色一色だったところも、葉がかなり落ちていたり…

未分類
12月に入りましたので、お参りに行きました。
先日黄色一色だったところも、葉がかなり落ちていたり…

未分類
12月に入りましたので、お参りに行きました。
先日黄色一色だったところも、葉がかなり落ちていたり…

未分類
12月に入りましたので、お参りに行きました。
先日黄色一色だったところも、葉がかなり落ちていたり…

未分類
12月に入りましたので、お参りに行きました。
先日黄色一色だったところも、葉がかなり落ちていたり…

未分類
12月に入りましたので、お参りに行きました。
先日黄色一色だったところも、葉がかなり落ちていたり…

未分類
12月に入りましたので、お参りに行きました。
先日黄色一色だったところも、葉がかなり落ちていたり…

未分類
参道脇の大銀杏

未分類
四合稲荷社のご由緒書き

未分類
四合稲荷社

未分類
お神輿と山車が。

未分類
氷川神社ご由緒書き

未分類
拝殿を斜めから

未分類
拝殿

未分類
手水舎

未分類
鳥居の扁額
緑錆のお蔭で趣ある感じに。「氷川大明神」 と書かれてます。

未分類
隋門

未分類
力強い感じの狛犬さん

未分類
社号

未分類
新嘗祭限定の「かさね御朱印」をいただきました。
大銀杏も綺麗に色付いて、黄色の絨毯も…。
…

未分類
新嘗祭限定の「かさね御朱印」をいただきました。
大銀杏も綺麗に色付いて、黄色の絨毯も…。
…

未分類
新嘗祭限定の「かさね御朱印」をいただきました。
大銀杏も綺麗に色付いて、黄色の絨毯も…。
…

未分類
新嘗祭限定の「かさね御朱印」をいただきました。
大銀杏も綺麗に色付いて、黄色の絨毯も…。
…

未分類
新嘗祭限定の「かさね御朱印」をいただきました。
大銀杏も綺麗に色付いて、黄色の絨毯も…。
…

未分類
新嘗祭限定の「かさね御朱印」をいただきました。
大銀杏も綺麗に色付いて、黄色の絨毯も…。
…

未分類
新嘗祭限定の「かさね御朱印」をいただきました。
大銀杏も綺麗に色付いて、黄色の絨毯も…。
…

未分類
新嘗祭限定の「かさね御朱印」をいただきました。
大銀杏も綺麗に色付いて、黄色の絨毯も…。
…

未分類
参拝🙏

未分類
赤坂日枝神社と赤坂氷川神社。東京10社。
氷川神社は都心なのに山の中のような雰囲気でとても癒されま…

未分類
赤坂日枝神社と赤坂氷川神社。東京10社。
氷川神社は都心なのに山の中のような雰囲気でとても癒されま…

未分類
赤坂日枝神社と赤坂氷川神社。東京10社。
氷川神社は都心なのに山の中のような雰囲気でとても癒されま…

未分類
赤坂日枝神社と赤坂氷川神社。東京10社。
氷川神社は都心なのに山の中のような雰囲気でとても癒されま…

未分類
赤坂日枝神社と赤坂氷川神社。東京10社。
氷川神社は都心なのに山の中のような雰囲気でとても癒されま…

未分類
赤坂日枝神社と赤坂氷川神社。東京10社。
氷川神社は都心なのに山の中のような雰囲気でとても癒されま…

未分類
赤坂日枝神社と赤坂氷川神社。東京10社。
氷川神社は都心なのに山の中のような雰囲気でとても癒されま…

未分類
赤坂日枝神社と赤坂氷川神社。東京10社。
氷川神社は都心なのに山の中のような雰囲気でとても癒されま…

未分類
赤坂日枝神社と赤坂氷川神社。東京10社。
氷川神社は都心なのに山の中のような雰囲気でとても癒されま…

未分類
赤坂日枝神社と赤坂氷川神社。東京10社。
氷川神社は都心なのに山の中のような雰囲気でとても癒されま…

未分類
神社所蔵の山車

未分類
クラウチングスタイル狛犬

未分類
威風堂々狛犬

未分類
大都会東京の赤坂に鎮座する神社です。都会の中ですが木々が茂りオアシス的存在とでも言いましょうか。ち…

未分類
東京10社の一つ。勝海舟ゆかりの神社とか。

未分類
東京10社の一つ。勝海舟ゆかりの神社とか。

未分類
東京10社の一つ。勝海舟ゆかりの神社とか。

未分類
東京10社の一つ。勝海舟ゆかりの神社とか。

未分類
今日から枚数限定で頒布が始まった季節の御朱印『あわせ』を頂きました。
境内は結婚式の集合写真…

未分類
今日から枚数限定で頒布が始まった季節の御朱印『あわせ』を頂きました。
境内は結婚式の集合写真…

未分類
今日から枚数限定で頒布が始まった季節の御朱印『あわせ』を頂きました。
境内は結婚式の集合写真…

未分類
今日から枚数限定で頒布が始まった季節の御朱印『あわせ』を頂きました。
境内は結婚式の集合写真…

未分類
今日から枚数限定で頒布が始まった季節の御朱印『あわせ』を頂きました。
境内は結婚式の集合写真…

未分類
今日から枚数限定で頒布が始まった季節の御朱印『あわせ』を頂きました。
境内は結婚式の集合写真…

未分類
今日から枚数限定で頒布が始まった季節の御朱印『あわせ』を頂きました。
境内は結婚式の集合写真…

未分類
今日から枚数限定で頒布が始まった季節の御朱印『あわせ』を頂きました。
境内は結婚式の集合写真…

未分類
赤坂のパワースポット…幕末の志士たちも御参りされた格式高い氷川神社…

未分類
赤坂のパワースポット…幕末の志士たちも御参りされた格式高い氷川神社…

未分類
赤坂のパワースポット…幕末の志士たちも御参りされた格式高い氷川神社…

その他建物
赤坂のパワースポット…幕末の志士たちも御参りされた格式高い氷川神社…

未分類
赤坂のパワースポット…幕末の志士たちも御参りされた格式高い氷川神社…

未分類
赤坂のパワースポット…幕末の志士たちも御参りされた格式高い氷川神社…

未分類
赤坂のパワースポット…幕末の志士たちも御参りされた格式高い氷川神社…

未分類
月が変わりましたので、お参りに行きました。
四合稲荷神社の辺り、境内の大銀杏辺りでは、結婚式…

未分類
月が変わりましたので、お参りに行きました。
四合稲荷神社の辺り、境内の大銀杏辺りでは、結婚式…

未分類
月が変わりましたので、お参りに行きました。
四合稲荷神社の辺り、境内の大銀杏辺りでは、結婚式…

未分類
月が変わりましたので、お参りに行きました。
四合稲荷神社の辺り、境内の大銀杏辺りでは、結婚式…

未分類
月が変わりましたので、お参りに行きました。
四合稲荷神社の辺り、境内の大銀杏辺りでは、結婚式…

未分類
参拝記録

未分類
〈東京十社めぐり〉
根津神社⛩️神田神社⛩
亀戸天神社⛩️白山神社⛩
王子神社⛩日枝神社⛩️
品…

未分類
〈東京十社めぐり〉
根津神社⛩️神田神社⛩
亀戸天神社⛩️白山神社⛩
王子神社⛩日枝神社⛩️
品…

未分類
〈東京十社めぐり〉
根津神社⛩️神田神社⛩
亀戸天神社⛩️白山神社⛩
王子神社⛩日枝神社⛩️
品…

その他建物
〈東京十社めぐり〉
根津神社⛩️神田神社⛩
亀戸天神社⛩️白山神社⛩
王子神社⛩日枝神社⛩️
品…

未分類
〈東京十社めぐり〉
根津神社⛩️神田神社⛩
亀戸天神社⛩️白山神社⛩
王子神社⛩日枝神社⛩️
品…

未分類
とっても好みの神社さんでした。
縁起物の絵馬はなかなかの迫力です。

未分類
とっても好みの神社さんでした。
縁起物の絵馬はなかなかの迫力です。

未分類
とっても好みの神社さんでした。
縁起物の絵馬はなかなかの迫力です。

未分類
とっても好みの神社さんでした。
縁起物の絵馬はなかなかの迫力です。

未分類
とっても好みの神社さんでした。
縁起物の絵馬はなかなかの迫力です。

未分類
とっても好みの神社さんでした。
縁起物の絵馬はなかなかの迫力です。

未分類
とっても好みの神社さんでした。
縁起物の絵馬はなかなかの迫力です。

未分類
とっても好みの神社さんでした。
縁起物の絵馬はなかなかの迫力です。

未分類
とっても好みの神社さんでした。
縁起物の絵馬はなかなかの迫力です。

未分類
とっても好みの神社さんでした。
縁起物の絵馬はなかなかの迫力です。

その他建物
とっても好みの神社さんでした。
縁起物の絵馬はなかなかの迫力です。

未分類
東京10社巡りで奉拝。ここも関西の住宅街の中にある地図、叶神社で気持ち良い空気が流れてました。

未分類
東京10社巡りで奉拝。ここも関西の住宅街の中にある地図、叶神社で気持ち良い空気が流れてました。

未分類
東京10社巡りで奉拝。ここも関西の住宅街の中にある地図、叶神社で気持ち良い空気が流れてました。

未分類
東京10社巡りで奉拝。ここも関西の住宅街の中にある地図、叶神社で気持ち良い空気が流れてました。

未分類
東京10社巡りで奉拝。ここも関西の住宅街の中にある地図、叶神社で気持ち良い空気が流れてました。

未分類
東京10社巡りで奉拝。ここも関西の住宅街の中にある地図、叶神社で気持ち良い空気が流れてました。

未分類
東京10社巡りで奉拝。ここも関西の住宅街の中にある地図、叶神社で気持ち良い空気が流れてました。

未分類
東京10社巡りで奉拝。ここも関西の住宅街の中にある地図、叶神社で気持ち良い空気が流れてました。

未分類
東京10社巡りで奉拝。ここも関西の住宅街の中にある地図、叶神社で気持ち良い空気が流れてました。

未分類
都内良縁祈願第三弾
久々に赤坂氷川神社様に参拝に上がりました。
かなり久々でしたので昔気付かな…

未分類
都内良縁祈願第三弾
久々に赤坂氷川神社様に参拝に上がりました。
かなり久々でしたので昔気付かな…

未分類
都内良縁祈願第三弾
久々に赤坂氷川神社様に参拝に上がりました。
かなり久々でしたので昔気付かな…

その他建物
都内良縁祈願第三弾
久々に赤坂氷川神社様に参拝に上がりました。
かなり久々でしたので昔気付かな…

未分類
都内良縁祈願第三弾
久々に赤坂氷川神社様に参拝に上がりました。
かなり久々でしたので昔気付かな…

未分類
都内良縁祈願第三弾
久々に赤坂氷川神社様に参拝に上がりました。
かなり久々でしたので昔気付かな…

未分類
都内良縁祈願第三弾
久々に赤坂氷川神社様に参拝に上がりました。
かなり久々でしたので昔気付かな…

未分類
都内良縁祈願第三弾
久々に赤坂氷川神社様に参拝に上がりました。
かなり久々でしたので昔気付かな…

未分類
都内良縁祈願第三弾
久々に赤坂氷川神社様に参拝に上がりました。
かなり久々でしたので昔気付かな…

未分類
都内良縁祈願第三弾
久々に赤坂氷川神社様に参拝に上がりました。
かなり久々でしたので昔気付かな…

未分類
都内良縁祈願第三弾
久々に赤坂氷川神社様に参拝に上がりました。
かなり久々でしたので昔気付かな…

未分類
早いもので、2023年も10月に入りました。
早速月参りに行ってきました。
月替わりの『か…

未分類
早いもので、2023年も10月に入りました。
早速月参りに行ってきました。
月替わりの『か…

未分類
早いもので、2023年も10月に入りました。
早速月参りに行ってきました。
月替わりの『か…

未分類
早いもので、2023年も10月に入りました。
早速月参りに行ってきました。
月替わりの『か…

未分類
早いもので、2023年も10月に入りました。
早速月参りに行ってきました。
月替わりの『か…

未分類
早いもので、2023年も10月に入りました。
早速月参りに行ってきました。
月替わりの『か…

未分類
早いもので、2023年も10月に入りました。
早速月参りに行ってきました。
月替わりの『か…

未分類
早いもので、2023年も10月に入りました。
早速月参りに行ってきました。
月替わりの『か…

未分類
早いもので、2023年も10月に入りました。
早速月参りに行ってきました。
月替わりの『か…

未分類
早いもので、2023年も10月に入りました。
早速月参りに行ってきました。
月替わりの『か…

未分類
早いもので、2023年も10月に入りました。
早速月参りに行ってきました。
月替わりの『か…

未分類
早いもので、2023年も10月に入りました。
早速月参りに行ってきました。
月替わりの『か…

未分類
早いもので、2023年も10月に入りました。
早速月参りに行ってきました。
月替わりの『か…

未分類
続きまして、こちらも結婚式でした。
赤坂、坂がキツイね。下り坂で足が痛くなった。
赤坂という有名な…

未分類
続きまして、こちらも結婚式でした。
赤坂、坂がキツイね。下り坂で足が痛くなった。
赤坂という有名な…

未分類
続きまして、こちらも結婚式でした。
赤坂、坂がキツイね。下り坂で足が痛くなった。
赤坂という有名な…

未分類
続きまして、こちらも結婚式でした。
赤坂、坂がキツイね。下り坂で足が痛くなった。
赤坂という有名な…

未分類
続きまして、こちらも結婚式でした。
赤坂、坂がキツイね。下り坂で足が痛くなった。
赤坂という有名な…

未分類
続きまして、こちらも結婚式でした。
赤坂、坂がキツイね。下り坂で足が痛くなった。
赤坂という有名な…

未分類
9/15~9/17 赤坂氷川神社祭があり、月替わりの『かさね御朱印』と別に、期間限定三日間のみ頒布…

未分類
9/15~9/17 赤坂氷川神社祭があり、月替わりの『かさね御朱印』と別に、期間限定三日間のみ頒布…

未分類
9/15~9/17 赤坂氷川神社祭があり、月替わりの『かさね御朱印』と別に、期間限定三日間のみ頒布…

未分類
9/15~9/17 赤坂氷川神社祭があり、月替わりの『かさね御朱印』と別に、期間限定三日間のみ頒布…

未分類
9/15~9/17 赤坂氷川神社祭があり、月替わりの『かさね御朱印』と別に、期間限定三日間のみ頒布…

未分類
9/15~9/17 赤坂氷川神社祭があり、月替わりの『かさね御朱印』と別に、期間限定三日間のみ頒布…

未分類
9/15~9/17 赤坂氷川神社祭があり、月替わりの『かさね御朱印』と別に、期間限定三日間のみ頒布…

未分類
9/15~9/17 赤坂氷川神社祭があり、月替わりの『かさね御朱印』と別に、期間限定三日間のみ頒布…

未分類
9/15~9/17 赤坂氷川神社祭があり、月替わりの『かさね御朱印』と別に、期間限定三日間のみ頒布…

未分類
9/15~9/17 赤坂氷川神社祭があり、月替わりの『かさね御朱印』と別に、期間限定三日間のみ頒布…

未分類
9/15~9/17 赤坂氷川神社祭があり、月替わりの『かさね御朱印』と別に、期間限定三日間のみ頒布…

未分類
9/15~9/17 赤坂氷川神社祭があり、月替わりの『かさね御朱印』と別に、期間限定三日間のみ頒布…

未分類
9/15~9/17 赤坂氷川神社祭があり、月替わりの『かさね御朱印』と別に、期間限定三日間のみ頒布…

未分類
9/15~9/17 赤坂氷川神社祭があり、月替わりの『かさね御朱印』と別に、期間限定三日間のみ頒布…

未分類
9/15~9/17 赤坂氷川神社祭があり、月替わりの『かさね御朱印』と別に、期間限定三日間のみ頒布…

未分類
9/15~9/17 赤坂氷川神社祭があり、月替わりの『かさね御朱印』と別に、期間限定三日間のみ頒布…

未分類
2023/07/23

未分類
2023/07/23

未分類
通常御朱印を直書きでいただきました

未分類
9月に入りましたので、お参りに行ってきました。
月替わりの『かさね』を頂きました。最近、10…

未分類
9月に入りましたので、お参りに行ってきました。
月替わりの『かさね』を頂きました。最近、10…

未分類
9月に入りましたので、お参りに行ってきました。
月替わりの『かさね』を頂きました。最近、10…

未分類
9月に入りましたので、お参りに行ってきました。
月替わりの『かさね』を頂きました。最近、10…

未分類
9月に入りましたので、お参りに行ってきました。
月替わりの『かさね』を頂きました。最近、10…

未分類
9月に入りましたので、お参りに行ってきました。
月替わりの『かさね』を頂きました。最近、10…

未分類
9月に入りましたので、お参りに行ってきました。
月替わりの『かさね』を頂きました。最近、10…

未分類
9月に入りましたので、お参りに行ってきました。
月替わりの『かさね』を頂きました。最近、10…

未分類
9月に入りましたので、お参りに行ってきました。
月替わりの『かさね』を頂きました。最近、10…

未分類
9月に入りましたので、お参りに行ってきました。
月替わりの『かさね』を頂きました。最近、10…

未分類
9月に入りましたので、お参りに行ってきました。
月替わりの『かさね』を頂きました。最近、10…

未分類
9月に入りましたので、お参りに行ってきました。
月替わりの『かさね』を頂きました。最近、10…

未分類
9月に入りましたので、お参りに行ってきました。
月替わりの『かさね』を頂きました。最近、10…

未分類
9月に入りましたので、お参りに行ってきました。
月替わりの『かさね』を頂きました。最近、10…

未分類
9月に入りましたので、お参りに行ってきました。
月替わりの『かさね』を頂きました。最近、10…

未分類
9月に入りましたので、お参りに行ってきました。
月替わりの『かさね』を頂きました。最近、10…

未分類
都会の真ん中にこんな静かな神社があったとは驚き。直書きでいただく。

未分類
都会の真ん中にこんな静かな神社があったとは驚き。直書きでいただく。

未分類
都会の真ん中にこんな静かな神社があったとは驚き。直書きでいただく。

未分類
都会の真ん中にこんな静かな神社があったとは驚き。直書きでいただく。

未分類
都会の真ん中にこんな静かな神社があったとは驚き。直書きでいただく。

未分類
とても緑豊かな一角になっていました。凛とした空気が漂う空間になっており、都会のオアシスなんだろうな…

未分類
とても緑豊かな一角になっていました。凛とした空気が漂う空間になっており、都会のオアシスなんだろうな…

未分類
手水社に生花が生けてありました

未分類
月が変わりましたのでお参りにいきました。
月替わりの
『かさね』御朱印、今月もキレイで素敵…

未分類
末社

未分類
月が変わりましたのでお参りにいきました。
月替わりの
『かさね』御朱印、今月もキレイで素敵…

未分類
月が変わりましたのでお参りにいきました。
月替わりの
『かさね』御朱印、今月もキレイで素敵…

未分類
月が変わりましたのでお参りにいきました。
月替わりの
『かさね』御朱印、今月もキレイで素敵…

未分類
月が変わりましたのでお参りにいきました。
月替わりの
『かさね』御朱印、今月もキレイで素敵…

未分類
四合稲荷神社

未分類
月が変わりましたのでお参りにいきました。
月替わりの
『かさね』御朱印、今月もキレイで素敵…

未分類
月が変わりましたのでお参りにいきました。
月替わりの
『かさね』御朱印、今月もキレイで素敵…

未分類
月が変わりましたのでお参りにいきました。
月替わりの
『かさね』御朱印、今月もキレイで素敵…

未分類
月が変わりましたのでお参りにいきました。
月替わりの
『かさね』御朱印、今月もキレイで素敵…

未分類
御朱印帳新しくしました。

未分類
月が変わりましたのでお参りにいきました。
月替わりの
『かさね』御朱印、今月もキレイで素敵…

未分類
楼門

未分類
三の鳥居

未分類
二の鳥居

その他建物
一の鳥居

未分類
御社殿

未分類
本殿に向かって左側から入れる駐車場があります。
閑静なところにある神社です。
お神輿や山車が公…

未分類
本殿に向かって左側から入れる駐車場があります。
閑静なところにある神社です。
お神輿や山車が公…

未分類
本殿に向かって左側から入れる駐車場があります。
閑静なところにある神社です。
お神輿や山車が公…

未分類
東京十社のひとつ赤坂氷川神社に七夕のお詣りに行きました。
951年創祀。今の社殿は1729年八代…

未分類
秋も素敵そうです✨

未分類
彫刻が見事

未分類
境内の四合稲荷

未分類
左の三層の山車は源頼義公
真ん中は素戔嗚命

未分類
七夕の日の御朱印

未分類
東京十社のひとつ赤坂氷川神社に七夕のお詣りに行きました。
951年創祀。今の社殿は1729年八代…

未分類
東京十社のひとつ赤坂氷川神社に七夕のお詣りに行きました。
951年創祀。今の社殿は1729年八代…

未分類
東京十社のひとつ赤坂氷川神社に七夕のお詣りに行きました。
951年創祀。今の社殿は1729年八代…

未分類
台座も素敵

未分類
正面から

未分類
伏せ、をしてる狛犬さん

未分類
東京十社のひとつ赤坂氷川神社に七夕のお詣りに行きました。
951年創祀。今の社殿は1729年八代…

未分類
東京十社のひとつ赤坂氷川神社に七夕のお詣りに行きました。
951年創祀。今の社殿は1729年八代…

未分類
7月のお参りに行ってきました。
こちらも、夏越しの大祓が済み、無いと思っていた茅の輪がまだ設置さ…

未分類
7月のお参りに行ってきました。
こちらも、夏越しの大祓が済み、無いと思っていた茅の輪がまだ設置さ…

未分類
7月のお参りに行ってきました。
こちらも、夏越しの大祓が済み、無いと思っていた茅の輪がまだ設置さ…

未分類
7月のお参りに行ってきました。
こちらも、夏越しの大祓が済み、無いと思っていた茅の輪がまだ設置さ…

未分類
7月のお参りに行ってきました。
こちらも、夏越しの大祓が済み、無いと思っていた茅の輪がまだ設置さ…

未分類
7月のお参りに行ってきました。
こちらも、夏越しの大祓が済み、無いと思っていた茅の輪がまだ設置さ…

未分類
7月のお参りに行ってきました。
こちらも、夏越しの大祓が済み、無いと思っていた茅の輪がまだ設置さ…

未分類
7月のお参りに行ってきました。
こちらも、夏越しの大祓が済み、無いと思っていた茅の輪がまだ設置さ…

未分類
7月のお参りに行ってきました。
こちらも、夏越しの大祓が済み、無いと思っていた茅の輪がまだ設置さ…

その他建物
7月のお参りに行ってきました。
こちらも、夏越しの大祓が済み、無いと思っていた茅の輪がまだ設置さ…

未分類
7月のお参りに行ってきました。
こちらも、夏越しの大祓が済み、無いと思っていた茅の輪がまだ設置さ…

未分類
7月のお参りに行ってきました。
こちらも、夏越しの大祓が済み、無いと思っていた茅の輪がまだ設置さ…

未分類
7月のお参りに行ってきました。
こちらも、夏越しの大祓が済み、無いと思っていた茅の輪がまだ設置さ…

未分類
7月のお参りに行ってきました。
こちらも、夏越しの大祓が済み、無いと思っていた茅の輪がまだ設置さ…

未分類
7月のお参りに行ってきました。
こちらも、夏越しの大祓が済み、無いと思っていた茅の輪がまだ設置さ…

未分類
7月のお参りに行ってきました。
こちらも、夏越しの大祓が済み、無いと思っていた茅の輪がまだ設置さ…

未分類
7月のお参りに行ってきました。
こちらも、夏越しの大祓が済み、無いと思っていた茅の輪がまだ設置さ…

未分類
氷川神社「東京十社」

未分類
今月の月参りは済ませ『かさね』御朱印もいただいています(前回の投稿に御朱印添付済み)が、茅の輪が設…

未分類
今月の月参りは済ませ『かさね』御朱印もいただいています(前回の投稿に御朱印添付済み)が、茅の輪が設…

未分類
今月の月参りは済ませ『かさね』御朱印もいただいています(前回の投稿に御朱印添付済み)が、茅の輪が設…

未分類
今月の月参りは済ませ『かさね』御朱印もいただいています(前回の投稿に御朱印添付済み)が、茅の輪が設…

未分類
今月の月参りは済ませ『かさね』御朱印もいただいています(前回の投稿に御朱印添付済み)が、茅の輪が設…

未分類
今月の月参りは済ませ『かさね』御朱印もいただいています(前回の投稿に御朱印添付済み)が、茅の輪が設…

未分類
今月の月参りは済ませ『かさね』御朱印もいただいています(前回の投稿に御朱印添付済み)が、茅の輪が設…

未分類
今月の月参りは済ませ『かさね』御朱印もいただいています(前回の投稿に御朱印添付済み)が、茅の輪が設…

未分類
今月の月参りは済ませ『かさね』御朱印もいただいています(前回の投稿に御朱印添付済み)が、茅の輪が設…

未分類
今月の月参りは済ませ『かさね』御朱印もいただいています(前回の投稿に御朱印添付済み)が、茅の輪が設…

未分類
今月の月参りは済ませ『かさね』御朱印もいただいています(前回の投稿に御朱印添付済み)が、茅の輪が設…

未分類
今月の月参りは済ませ『かさね』御朱印もいただいています(前回の投稿に御朱印添付済み)が、茅の輪が設…

未分類
雨のなか6月のお参りに行きました。
4月、5月は『かさね』が頒布終了後で残念でしたので、早めに行…

未分類
雨のなか6月のお参りに行きました。
4月、5月は『かさね』が頒布終了後で残念でしたので、早めに行…

未分類
雨のなか6月のお参りに行きました。
4月、5月は『かさね』が頒布終了後で残念でしたので、早めに行…

未分類
雨のなか6月のお参りに行きました。
4月、5月は『かさね』が頒布終了後で残念でしたので、早めに行…

未分類
雨のなか6月のお参りに行きました。
4月、5月は『かさね』が頒布終了後で残念でしたので、早めに行…

未分類
雨のなか6月のお参りに行きました。
4月、5月は『かさね』が頒布終了後で残念でしたので、早めに行…

未分類
雨のなか6月のお参りに行きました。
4月、5月は『かさね』が頒布終了後で残念でしたので、早めに行…

未分類
東京十社の一つ。鎮座より一千年余、「厄除」「縁結び」の信仰が篤い赤坂氷川神社。徳川吉宗公建立の御社…

未分類
東京十社の一つ。鎮座より一千年余、「厄除」「縁結び」の信仰が篤い赤坂氷川神社。徳川吉宗公建立の御社…

未分類
東京十社の一つ。鎮座より一千年余、「厄除」「縁結び」の信仰が篤い赤坂氷川神社。徳川吉宗公建立の御社…

未分類
乃木神社から歩いて10分ぐらい。坂が多くて疲れます笑

未分類
赤坂氷川山車

未分類
桶新稲荷

未分類
九神社

未分類
四合(しあわせ)稲荷

未分類
大銀杏

未分類
拝殿

未分類
拝殿

未分類
楼門

未分類
楼門

未分類
石の造作物がゴロゴロと無造作に打ち捨てられている御神苑っぽい場所がもったいないです。もうちょっとちゃんと手入れすればいいのにと思ってしまいます。

未分類
太鼓橋

未分類
二の鳥居

未分類
一の鳥居(南側)

未分類
社号標

未分類
赤坂氷川神社を参拝させて頂き、東京十社制覇までラストワンとなりました。
都会の中で緑が多い神社は癒…

未分類
赤坂氷川神社を参拝させて頂き、東京十社制覇までラストワンとなりました。
都会の中で緑が多い神社は癒…

未分類
赤坂氷川神社を参拝させて頂き、東京十社制覇までラストワンとなりました。
都会の中で緑が多い神社は癒…

その他建物
赤坂氷川神社を参拝させて頂き、東京十社制覇までラストワンとなりました。
都会の中で緑が多い神社は癒…

その他建物
東京十社の一つ、赤坂氷川神社を訪れ参拝しました。TBSのある複合施設赤坂サカス近く、大きな木に囲ま…

未分類
東京十社の一つ、赤坂氷川神社を訪れ参拝しました。TBSのある複合施設赤坂サカス近く、大きな木に囲ま…

未分類
東京十社の一つ、赤坂氷川神社を訪れ参拝しました。TBSのある複合施設赤坂サカス近く、大きな木に囲ま…

未分類
東京十社の一つ、赤坂氷川神社を訪れ参拝しました。TBSのある複合施設赤坂サカス近く、大きな木に囲ま…

未分類
東京十社の一つ、赤坂氷川神社を訪れ参拝しました。TBSのある複合施設赤坂サカス近く、大きな木に囲ま…

未分類
東京十社の一つ、赤坂氷川神社を訪れ参拝しました。TBSのある複合施設赤坂サカス近く、大きな木に囲ま…

未分類
東京十社の一つ、赤坂氷川神社を訪れ参拝しました。TBSのある複合施設赤坂サカス近く、大きな木に囲ま…

未分類
東京都港区赤坂

未分類
東京都港区赤坂

未分類
ちょうど結婚式を挙げてるところ参拝です。吉兆ですね。
御朱印は直書きで頂きました。

未分類
東京十社めぐり。
赤坂氷川神社を参拝しました。
日枝神社から徒歩で15分ほどで到着しました。
…

未分類
東京十社めぐり。
赤坂氷川神社を参拝しました。
日枝神社から徒歩で15分ほどで到着しました。
…

未分類
東京十社めぐり。
赤坂氷川神社を参拝しました。
日枝神社から徒歩で15分ほどで到着しました。
…

未分類
東京十社めぐり。
赤坂氷川神社を参拝しました。
日枝神社から徒歩で15分ほどで到着しました。
…

未分類
過去投稿

未分類
過去投稿

未分類
過去投稿

未分類
過去投稿

その他建物
月初に来れず…やはり枚数限定の『月替わり御朱印かさね』は頒布終了していました😢
月の後半では、人…

その他建物
月初に来れず…やはり枚数限定の『月替わり御朱印かさね』は頒布終了していました😢
月の後半では、人…

未分類
月初に来れず…やはり枚数限定の『月替わり御朱印かさね』は頒布終了していました😢
月の後半では、人…

未分類
月初に来れず…やはり枚数限定の『月替わり御朱印かさね』は頒布終了していました😢
月の後半では、人…

未分類
月初に来れず…やはり枚数限定の『月替わり御朱印かさね』は頒布終了していました😢
月の後半では、人…

未分類
桜は少なかったですが、さくら参りのかさね御朱印が頒布始まりました。
🌸以外にも、いろんなお花…

未分類
桜は少なかったですが、さくら参りのかさね御朱印が頒布始まりました。
🌸以外にも、いろんなお花…

未分類
桜は少なかったですが、さくら参りのかさね御朱印が頒布始まりました。
🌸以外にも、いろんなお花…

未分類
桜は少なかったですが、さくら参りのかさね御朱印が頒布始まりました。
🌸以外にも、いろんなお花…

未分類
桜は少なかったですが、さくら参りのかさね御朱印が頒布始まりました。
🌸以外にも、いろんなお花…

未分類
桜は少なかったですが、さくら参りのかさね御朱印が頒布始まりました。
🌸以外にも、いろんなお花…

その他建物
桜は少なかったですが、さくら参りのかさね御朱印が頒布始まりました。
🌸以外にも、いろんなお花…

未分類
桜は少なかったですが、さくら参りのかさね御朱印が頒布始まりました。
🌸以外にも、いろんなお花…

未分類
桜は少なかったですが、さくら参りのかさね御朱印が頒布始まりました。
🌸以外にも、いろんなお花…

未分類
桜は少なかったですが、さくら参りのかさね御朱印が頒布始まりました。
🌸以外にも、いろんなお花…

未分類
桜は少なかったですが、さくら参りのかさね御朱印が頒布始まりました。
🌸以外にも、いろんなお花…

未分類
可愛いので鈴購入

未分類
直書き御朱印です。

未分類
樹齢450年のイチョウです。

未分類
赤坂氷川神社へ⛩
オシャレタウンを抜けて坂を登った先にありました⛩
とりあえず残りの東京十社巡りを…

未分類
赤坂氷川神社へ⛩
オシャレタウンを抜けて坂を登った先にありました⛩
とりあえず残りの東京十社巡りを…

未分類
赤坂氷川神社へ⛩
オシャレタウンを抜けて坂を登った先にありました⛩
とりあえず残りの東京十社巡りを…

未分類
赤坂氷川神社へ⛩
オシャレタウンを抜けて坂を登った先にありました⛩
とりあえず残りの東京十社巡りを…

未分類
赤坂氷川神社へ⛩
オシャレタウンを抜けて坂を登った先にありました⛩
とりあえず残りの東京十社巡りを…

未分類
赤坂氷川神社へ⛩
オシャレタウンを抜けて坂を登った先にありました⛩
とりあえず残りの東京十社巡りを…

未分類
赤坂氷川神社へ⛩
オシャレタウンを抜けて坂を登った先にありました⛩
とりあえず残りの東京十社巡りを…

未分類
赤坂氷川神社へ⛩
オシャレタウンを抜けて坂を登った先にありました⛩
とりあえず残りの東京十社巡りを…

未分類
赤坂氷川神社へ⛩
オシャレタウンを抜けて坂を登った先にありました⛩
とりあえず残りの東京十社巡りを…

未分類
赤坂氷川神社へ⛩
オシャレタウンを抜けて坂を登った先にありました⛩
とりあえず残りの東京十社巡りを…

未分類
月参りに!
今月は限定御朱印もあります。
予告で見本が飾られていたので、写してきました!ご…

未分類
月参りに!
今月は限定御朱印もあります。
予告で見本が飾られていたので、写してきました!ご…

未分類
月参りに!
今月は限定御朱印もあります。
予告で見本が飾られていたので、写してきました!ご…

未分類
月参りに!
今月は限定御朱印もあります。
予告で見本が飾られていたので、写してきました!ご…

未分類
月参りに!
今月は限定御朱印もあります。
予告で見本が飾られていたので、写してきました!ご…

未分類
月参りに!
今月は限定御朱印もあります。
予告で見本が飾られていたので、写してきました!ご…

未分類
月参りに!
今月は限定御朱印もあります。
予告で見本が飾られていたので、写してきました!ご…

未分類
月参りに!
今月は限定御朱印もあります。
予告で見本が飾られていたので、写してきました!ご…

未分類
月参りに!
今月は限定御朱印もあります。
予告で見本が飾られていたので、写してきました!ご…

その他建物
月参りに!
今月は限定御朱印もあります。
予告で見本が飾られていたので、写してきました!ご…

未分類
月参りに!
今月は限定御朱印もあります。
予告で見本が飾られていたので、写してきました!ご…

未分類
月参りに!
今月は限定御朱印もあります。
予告で見本が飾られていたので、写してきました!ご…

未分類
月参りに!
今月は限定御朱印もあります。
予告で見本が飾られていたので、写してきました!ご…

未分類
赤坂氷川神社⛩へ🙏

未分類
赤坂氷川神社⛩へ🙏

未分類
赤坂氷川神社⛩へ🙏

未分類
赤坂氷川神社⛩へ🙏

未分類
赤坂氷川神社⛩へ🙏

未分類
赤坂氷川神社⛩へ🙏

未分類
赤坂氷川神社⛩へ🙏

未分類
赤坂氷川神社⛩へ🙏

未分類
赤坂氷川神社⛩へ🙏

未分類
赤坂氷川神社⛩へ🙏

未分類
赤坂氷川神社⛩へ🙏

未分類
赤坂氷川神社⛩へ🙏

未分類
赤坂氷川神社⛩へ🙏

未分類
赤坂氷川神社⛩へ🙏

未分類
赤坂氷川神社⛩へ🙏

未分類
お参りしてきました。
2/17のみ頂ける御朱印をいただきました。
↓
祈年祭
2 …

未分類
お参りしてきました。
2/17のみ頂ける御朱印をいただきました。
↓
祈年祭
2 …

未分類
西行稲荷

未分類
お参りしてきました。
2/17のみ頂ける御朱印をいただきました。
↓
祈年祭
2 …

未分類
お参りしてきました。
2/17のみ頂ける御朱印をいただきました。
↓
祈年祭
2 …

未分類
お参りしてきました。
2/17のみ頂ける御朱印をいただきました。
↓
祈年祭
2 …

未分類
お参りしてきました。
2/17のみ頂ける御朱印をいただきました。
↓
祈年祭
2 …

未分類
お参りしてきました。
2/17のみ頂ける御朱印をいただきました。
↓
祈年祭
2 …

未分類
お参りしてきました。
2/17のみ頂ける御朱印をいただきました。
↓
祈年祭
2 …

未分類
お参りしてきました。
2/17のみ頂ける御朱印をいただきました。
↓
祈年祭
2 …

未分類
お参りしてきました。
2/17のみ頂ける御朱印をいただきました。
↓
祈年祭
2 …

未分類
お参りしてきました。
2/17のみ頂ける御朱印をいただきました。
↓
祈年祭
2 …

未分類
お参りしてきました。
2/17のみ頂ける御朱印をいただきました。
↓
祈年祭
2 …

未分類
境内社ー西行稲荷

未分類
境内社ー西行稲荷

未分類
境内社ー四合稲荷

未分類
太鼓橋。四合稲荷前にあります。

未分類
拝殿ー享保十五年(1730)、徳川8代将軍吉宗公の命により建立。戦災や震災を免れ、建立当時の姿を見てを残し、東京都の有形文化財(建築物)に指定されている。

未分類
狛犬(阿形)

未分類
三の鳥居

未分類
社号標

未分類
2月に入りましたので、お参りに行きました。
月参り御朱印かさね、今月は『紅梅匂』です。
☆…

未分類
2月に入りましたので、お参りに行きました。
月参り御朱印かさね、今月は『紅梅匂』です。
☆…

未分類
2月に入りましたので、お参りに行きました。
月参り御朱印かさね、今月は『紅梅匂』です。
☆…

未分類
2月に入りましたので、お参りに行きました。
月参り御朱印かさね、今月は『紅梅匂』です。
☆…

未分類
2月に入りましたので、お参りに行きました。
月参り御朱印かさね、今月は『紅梅匂』です。
☆…

未分類
2月に入りましたので、お参りに行きました。
月参り御朱印かさね、今月は『紅梅匂』です。
☆…

未分類
2月に入りましたので、お参りに行きました。
月参り御朱印かさね、今月は『紅梅匂』です。
☆…

未分類
2月に入りましたので、お参りに行きました。
月参り御朱印かさね、今月は『紅梅匂』です。
☆…

未分類
2月に入りましたので、お参りに行きました。
月参り御朱印かさね、今月は『紅梅匂』です。
☆…

未分類
2月に入りましたので、お参りに行きました。
月参り御朱印かさね、今月は『紅梅匂』です。
☆…

未分類
2月に入りましたので、お参りに行きました。
月参り御朱印かさね、今月は『紅梅匂』です。
☆…

未分類
2月に入りましたので、お参りに行きました。
月参り御朱印かさね、今月は『紅梅匂』です。
☆…

未分類
二月のかさね。

未分類
散歩

未分類
赤坂田町5丁目に住んでいた西行五兵衛という男が、甲冑を身にまとい、弓矢を携えて狐に乗った姿の鉄の像…

その他建物
赤坂田町5丁目に住んでいた西行五兵衛という男が、甲冑を身にまとい、弓矢を携えて狐に乗った姿の鉄の像…

未分類
赤坂田町5丁目に住んでいた西行五兵衛という男が、甲冑を身にまとい、弓矢を携えて狐に乗った姿の鉄の像…

未分類
赤坂田町5丁目に住んでいた西行五兵衛という男が、甲冑を身にまとい、弓矢を携えて狐に乗った姿の鉄の像…

未分類
赤坂田町5丁目に住んでいた西行五兵衛という男が、甲冑を身にまとい、弓矢を携えて狐に乗った姿の鉄の像…

未分類
赤坂田町5丁目に住んでいた西行五兵衛という男が、甲冑を身にまとい、弓矢を携えて狐に乗った姿の鉄の像…

未分類
赤坂田町5丁目に住んでいた西行五兵衛という男が、甲冑を身にまとい、弓矢を携えて狐に乗った姿の鉄の像…

未分類
赤坂田町5丁目に住んでいた西行五兵衛という男が、甲冑を身にまとい、弓矢を携えて狐に乗った姿の鉄の像…

未分類
赤坂田町5丁目に住んでいた西行五兵衛という男が、甲冑を身にまとい、弓矢を携えて狐に乗った姿の鉄の像…

未分類
赤坂田町5丁目に住んでいた西行五兵衛という男が、甲冑を身にまとい、弓矢を携えて狐に乗った姿の鉄の像…

未分類
赤坂田町5丁目に住んでいた西行五兵衛という男が、甲冑を身にまとい、弓矢を携えて狐に乗った姿の鉄の像…

未分類
赤坂田町5丁目に住んでいた西行五兵衛という男が、甲冑を身にまとい、弓矢を携えて狐に乗った姿の鉄の像…

未分類
赤坂田町5丁目に住んでいた西行五兵衛という男が、甲冑を身にまとい、弓矢を携えて狐に乗った姿の鉄の像…

未分類
赤坂田町5丁目に住んでいた西行五兵衛という男が、甲冑を身にまとい、弓矢を携えて狐に乗った姿の鉄の像…

未分類
赤坂田町5丁目に住んでいた西行五兵衛という男が、甲冑を身にまとい、弓矢を携えて狐に乗った姿の鉄の像…

未分類
赤坂田町5丁目に住んでいた西行五兵衛という男が、甲冑を身にまとい、弓矢を携えて狐に乗った姿の鉄の像…

未分類
赤坂田町5丁目に住んでいた西行五兵衛という男が、甲冑を身にまとい、弓矢を携えて狐に乗った姿の鉄の像…

未分類
赤坂田町5丁目に住んでいた西行五兵衛という男が、甲冑を身にまとい、弓矢を携えて狐に乗った姿の鉄の像…

その他建物
赤坂田町5丁目に住んでいた西行五兵衛という男が、甲冑を身にまとい、弓矢を携えて狐に乗った姿の鉄の像…

未分類
赤坂田町5丁目に住んでいた西行五兵衛という男が、甲冑を身にまとい、弓矢を携えて狐に乗った姿の鉄の像…

未分類
東京都港区赤坂六丁目に鎮座する神社で、他の氷川神社と区別のため、赤坂氷川神社と呼ばれる。旧社格は府…

未分類
東京都港区赤坂六丁目に鎮座する神社で、他の氷川神社と区別のため、赤坂氷川神社と呼ばれる。旧社格は府…

未分類
東京都港区赤坂六丁目に鎮座する神社で、他の氷川神社と区別のため、赤坂氷川神社と呼ばれる。旧社格は府…

未分類
東京都港区赤坂六丁目に鎮座する神社で、他の氷川神社と区別のため、赤坂氷川神社と呼ばれる。旧社格は府…

未分類
東京都港区赤坂六丁目に鎮座する神社で、他の氷川神社と区別のため、赤坂氷川神社と呼ばれる。旧社格は府…

未分類
東京都港区赤坂六丁目に鎮座する神社で、他の氷川神社と区別のため、赤坂氷川神社と呼ばれる。旧社格は府…

その他建物
東京都港区赤坂六丁目に鎮座する神社で、他の氷川神社と区別のため、赤坂氷川神社と呼ばれる。旧社格は府…

未分類
東京都港区赤坂六丁目に鎮座する神社で、他の氷川神社と区別のため、赤坂氷川神社と呼ばれる。旧社格は府…

未分類
東京都港区赤坂六丁目に鎮座する神社で、他の氷川神社と区別のため、赤坂氷川神社と呼ばれる。旧社格は府…

未分類
東京都港区赤坂六丁目に鎮座する神社で、他の氷川神社と区別のため、赤坂氷川神社と呼ばれる。旧社格は府…

未分類
東京都港区赤坂六丁目に鎮座する神社で、他の氷川神社と区別のため、赤坂氷川神社と呼ばれる。旧社格は府…

その他建物
東京都港区赤坂六丁目に鎮座する神社で、他の氷川神社と区別のため、赤坂氷川神社と呼ばれる。旧社格は府…

未分類
東京都港区赤坂六丁目に鎮座する神社で、他の氷川神社と区別のため、赤坂氷川神社と呼ばれる。旧社格は府…

未分類
東京都港区赤坂六丁目に鎮座する神社で、他の氷川神社と区別のため、赤坂氷川神社と呼ばれる。旧社格は府…

未分類
東京都港区赤坂六丁目に鎮座する神社で、他の氷川神社と区別のため、赤坂氷川神社と呼ばれる。旧社格は府…

未分類
東京都港区赤坂六丁目に鎮座する神社で、他の氷川神社と区別のため、赤坂氷川神社と呼ばれる。旧社格は府…

未分類
東京都港区赤坂六丁目に鎮座する神社で、他の氷川神社と区別のため、赤坂氷川神社と呼ばれる。旧社格は府…

未分類
東京都港区赤坂六丁目に鎮座する神社で、他の氷川神社と区別のため、赤坂氷川神社と呼ばれる。旧社格は府…

未分類
東京都港区赤坂六丁目に鎮座する神社で、他の氷川神社と区別のため、赤坂氷川神社と呼ばれる。旧社格は府…

未分類
東京都港区赤坂六丁目に鎮座する神社で、他の氷川神社と区別のため、赤坂氷川神社と呼ばれる。旧社格は府…

未分類
東京都港区赤坂六丁目に鎮座する神社で、他の氷川神社と区別のため、赤坂氷川神社と呼ばれる。旧社格は府…

未分類
東京都港区赤坂六丁目に鎮座する神社で、他の氷川神社と区別のため、赤坂氷川神社と呼ばれる。旧社格は府…

未分類
東京都港区赤坂六丁目に鎮座する神社で、他の氷川神社と区別のため、赤坂氷川神社と呼ばれる。旧社格は府…

未分類
東京都港区赤坂六丁目に鎮座する神社で、他の氷川神社と区別のため、赤坂氷川神社と呼ばれる。旧社格は府…

未分類
東京都港区赤坂六丁目に鎮座する神社で、他の氷川神社と区別のため、赤坂氷川神社と呼ばれる。旧社格は府…

未分類
東京都港区赤坂六丁目に鎮座する神社で、他の氷川神社と区別のため、赤坂氷川神社と呼ばれる。旧社格は府…

その他建物
東京都港区赤坂六丁目に鎮座する神社で、他の氷川神社と区別のため、赤坂氷川神社と呼ばれる。旧社格は府…

未分類
東京都港区赤坂六丁目に鎮座する神社で、他の氷川神社と区別のため、赤坂氷川神社と呼ばれる。旧社格は府…

未分類
東京都港区赤坂六丁目に鎮座する神社で、他の氷川神社と区別のため、赤坂氷川神社と呼ばれる。旧社格は府…

未分類
東京都港区赤坂六丁目に鎮座する神社で、他の氷川神社と区別のため、赤坂氷川神社と呼ばれる。旧社格は府…

その他建物
東京都港区赤坂六丁目に鎮座する神社で、他の氷川神社と区別のため、赤坂氷川神社と呼ばれる。旧社格は府…

未分類
東京都港区赤坂六丁目に鎮座する神社で、他の氷川神社と区別のため、赤坂氷川神社と呼ばれる。旧社格は府…

未分類
東京都港区赤坂六丁目に鎮座する神社で、他の氷川神社と区別のため、赤坂氷川神社と呼ばれる。旧社格は府…

その他建物
東京都港区赤坂六丁目に鎮座する神社で、他の氷川神社と区別のため、赤坂氷川神社と呼ばれる。旧社格は府…

未分類
東京都港区赤坂六丁目に鎮座する神社で、他の氷川神社と区別のため、赤坂氷川神社と呼ばれる。旧社格は府…

未分類
東京都港区赤坂六丁目に鎮座する神社で、他の氷川神社と区別のため、赤坂氷川神社と呼ばれる。旧社格は府…

未分類
東京都港区赤坂六丁目に鎮座する神社で、他の氷川神社と区別のため、赤坂氷川神社と呼ばれる。旧社格は府…

未分類
東京都港区赤坂六丁目に鎮座する神社で、他の氷川神社と区別のため、赤坂氷川神社と呼ばれる。旧社格は府…

未分類
東京都港区赤坂六丁目に鎮座する神社で、他の氷川神社と区別のため、赤坂氷川神社と呼ばれる。旧社格は府…

未分類
東京都港区赤坂六丁目に鎮座する神社で、他の氷川神社と区別のため、赤坂氷川神社と呼ばれる。旧社格は府…

未分類
東京都港区赤坂六丁目に鎮座する神社で、他の氷川神社と区別のため、赤坂氷川神社と呼ばれる。旧社格は府…

未分類
初詣に行き、月参り御朱印かさね「氷重」と、年始限定季節の御朱印「初茜」をいただきました。
また、…

未分類
初詣に行き、月参り御朱印かさね「氷重」と、年始限定季節の御朱印「初茜」をいただきました。
また、…

未分類
初詣に行き、月参り御朱印かさね「氷重」と、年始限定季節の御朱印「初茜」をいただきました。
また、…

未分類
初詣に行き、月参り御朱印かさね「氷重」と、年始限定季節の御朱印「初茜」をいただきました。
また、…

未分類
初詣に行き、月参り御朱印かさね「氷重」と、年始限定季節の御朱印「初茜」をいただきました。
また、…

未分類
初詣に行き、月参り御朱印かさね「氷重」と、年始限定季節の御朱印「初茜」をいただきました。
また、…

未分類
通常御朱印

未分類
初詣に行き、月参り御朱印かさね「氷重」と、年始限定季節の御朱印「初茜」をいただきました。
また、…

未分類
月参り御朱印かさね「氷重」

未分類
初詣に行き、月参り御朱印かさね「氷重」と、年始限定季節の御朱印「初茜」をいただきました。
また、…

未分類
江戸七氷川神社&東京十社でもある、赤坂氷川神社さんに参拝です。
大都会東京の中にあるとは思えない…

未分類
江戸七氷川神社&東京十社でもある、赤坂氷川神社さんに参拝です。
大都会東京の中にあるとは思えない…

未分類
一回でいいので、一泊したい。

未分類
江戸七氷川神社&東京十社でもある、赤坂氷川神社さんに参拝です。
大都会東京の中にあるとは思えない…

未分類
ほこらがステキ。

未分類
西行稲荷神社さん。

未分類
江戸七氷川神社&東京十社でもある、赤坂氷川神社さんに参拝です。
大都会東京の中にあるとは思えない…

未分類
四合稲荷神社さん。

未分類
江戸七氷川神社&東京十社でもある、赤坂氷川神社さんに参拝です。
大都会東京の中にあるとは思えない…

未分類
地下鉄六本木駅から徒歩十分程で着く神社です。
こちらは東京十社の一つですが、かなりわびさびの…

未分類
地下鉄六本木駅から徒歩十分程で着く神社です。
こちらは東京十社の一つですが、かなりわびさびの…

未分類
地下鉄六本木駅から徒歩十分程で着く神社です。
こちらは東京十社の一つですが、かなりわびさびの…

未分類
地下鉄六本木駅から徒歩十分程で着く神社です。
こちらは東京十社の一つですが、かなりわびさびの…

未分類
月参り御朱印 かさね
御朱印と一緒にいただいた挾み紙の説明から引用すると
『日本の伝統的な配色である「かさねの色目」を 用いて奉製をしております。 十二単に見られるように、平安貴族は色をかさね 合わせることで季節の移り変わりを表しました。この雅な文化は、四季のある 日本ならではのものといえます。』
十二月に頒布される御朱印はこちらも挟み紙から引用しますと
『枯野【表-黄裏-薄青】 冬を迎える頃、雪や霜によって野の木や草が黄枯れてゆく様子を表したかさね です。草が枯れた荒野の風景は物悲しいものですが、古くから日本人の琴線に ふれるものがあるようで、「枯野」は多くの和歌や俳句に詠まれています。』

未分類
九曜社。
もともとばらばらに鎮座していた摂社をひとつにまとめたようです。

未分類
東京方面へ行く用事があったので
せっかくなのでお参りしてきました。

未分類
もう一本のイチョウ。
黄色い枯れ葉が印象的でした。
これはこれでいいのかもしれませんね。

未分類
阿型の狛犬さんの横に回るとチビ狛犬さんが!

未分類
東京方面へ行く用事があったので
せっかくなのでお参りしてきました。

未分類
境内の何ヶ所かで神職の方が待機していてなんだろう?と思ったら、遠くから雅楽の音色が響きはじめて今まさに神前結婚式が始まる所でした。
3年前に初めてこの神社を訪れた時以来再び結婚式に遭遇しました。
氷川神社は縁結びの御利益で有名な所が多くてこちらもその一つだから結婚式を挙げる方が多いのでしょうかね。

未分類
御朱印書置頂きました

未分類
御朱印書置頂きました

未分類
12月に入りましたので、お参りに行ってきました。
境内の大銀杏は、黄色く染まった葉がかなり落ちて…

未分類
12月に入りましたので、お参りに行ってきました。
境内の大銀杏は、黄色く染まった葉がかなり落ちて…

未分類
12月に入りましたので、お参りに行ってきました。
境内の大銀杏は、黄色く染まった葉がかなり落ちて…

未分類
12月に入りましたので、お参りに行ってきました。
境内の大銀杏は、黄色く染まった葉がかなり落ちて…

未分類
12月に入りましたので、お参りに行ってきました。
境内の大銀杏は、黄色く染まった葉がかなり落ちて…

未分類
12月に入りましたので、お参りに行ってきました。
境内の大銀杏は、黄色く染まった葉がかなり落ちて…

未分類
12月に入りましたので、お参りに行ってきました。
境内の大銀杏は、黄色く染まった葉がかなり落ちて…

未分類
12月に入りましたので、お参りに行ってきました。
境内の大銀杏は、黄色く染まった葉がかなり落ちて…

未分類
12月に入りましたので、お参りに行ってきました。
境内の大銀杏は、黄色く染まった葉がかなり落ちて…

未分類
12月に入りましたので、お参りに行ってきました。
境内の大銀杏は、黄色く染まった葉がかなり落ちて…

未分類
12月に入りましたので、お参りに行ってきました。
境内の大銀杏は、黄色く染まった葉がかなり落ちて…

未分類
季節の御朱印、大銀杏。
金色に光って素敵です✨

未分類
この日5社目の参拝は赤坂氷川神社さん⛩
六本木駅から徒歩10分程で到着です。
前回の旅…

未分類
西行稲荷⛩

未分類
カッコいい😍

未分類
この日5社目の参拝は赤坂氷川神社さん⛩
六本木駅から徒歩10分程で到着です。
前回の旅…

未分類
この日5社目の参拝は赤坂氷川神社さん⛩
六本木駅から徒歩10分程で到着です。
前回の旅…

未分類
この日5社目の参拝は赤坂氷川神社さん⛩
六本木駅から徒歩10分程で到着です。
前回の旅…

未分類
この日5社目の参拝は赤坂氷川神社さん⛩
六本木駅から徒歩10分程で到着です。
前回の旅…

未分類
この日5社目の参拝は赤坂氷川神社さん⛩
六本木駅から徒歩10分程で到着です。
前回の旅…

未分類
可愛い狛犬さん

その他建物
この日5社目の参拝は赤坂氷川神社さん⛩
六本木駅から徒歩10分程で到着です。
前回の旅…

未分類
この日5社目の参拝は赤坂氷川神社さん⛩
六本木駅から徒歩10分程で到着です。
前回の旅…

その他建物
そろそろ脚が辛くなってきたけど何とか到着〜😅

未分類
六本木の坂の上に鎮座されています。
早い時間に伺ったら、ちょうど花嫁さんが出てこられるところでした…

未分類
六本木の坂の上に鎮座されています。
早い時間に伺ったら、ちょうど花嫁さんが出てこられるところでした…

未分類
六本木の坂の上に鎮座されています。
早い時間に伺ったら、ちょうど花嫁さんが出てこられるところでした…

その他建物
赤坂氷川神社にお参りしました

未分類
都会の中に佇むパワースポット的な感じですね。
今日は良い気候で沢山の参詣者が居ました。

その他建物
写真は逆走でした

その他建物
日枝神社から歩きます。
東京って坂が多いですね(二回目😵💦)
大きな神社でした。参道や境内…

その他建物
半分は行ったことあるなぁ~
いつか改めて巡りたい😊

その他建物
日枝神社から歩きます。
東京って坂が多いですね(二回目😵💦)
大きな神社でした。参道や境内…

その他建物
お参り終わって出たほうの鳥居です。

未分類
先日より告知されていた新嘗祭の御朱印を頂いてきました。
こちらの大銀杏は、そろそろ終わりそうです…

その他建物
先日より告知されていた新嘗祭の御朱印を頂いてきました。
こちらの大銀杏は、そろそろ終わりそうです…

未分類
先日より告知されていた新嘗祭の御朱印を頂いてきました。
こちらの大銀杏は、そろそろ終わりそうです…

未分類
先日より告知されていた新嘗祭の御朱印を頂いてきました。
こちらの大銀杏は、そろそろ終わりそうです…

未分類
先日より告知されていた新嘗祭の御朱印を頂いてきました。
こちらの大銀杏は、そろそろ終わりそうです…

未分類
先日より告知されていた新嘗祭の御朱印を頂いてきました。
こちらの大銀杏は、そろそろ終わりそうです…

未分類
先日より告知されていた新嘗祭の御朱印を頂いてきました。
こちらの大銀杏は、そろそろ終わりそうです…

未分類
先日より告知されていた新嘗祭の御朱印を頂いてきました。
こちらの大銀杏は、そろそろ終わりそうです…

未分類
先日より告知されていた新嘗祭の御朱印を頂いてきました。
こちらの大銀杏は、そろそろ終わりそうです…

未分類
大銀杏の記念限定御朱印を頂きにお参りしてきました。

その他建物
大銀杏の記念限定御朱印を頂きにお参りしてきました。

未分類
大銀杏の記念限定御朱印を頂きにお参りしてきました。

未分類
大銀杏の記念限定御朱印を頂きにお参りしてきました。

未分類
大銀杏の記念限定御朱印を頂きにお参りしてきました。

未分類
四合稲荷神社

未分類
大銀杏の記念限定御朱印を頂きにお参りしてきました。

未分類
大銀杏の記念限定御朱印を頂きにお参りしてきました。

未分類
大銀杏の記念限定御朱印を頂きにお参りしてきました。

未分類
大銀杏の記念限定御朱印を頂きにお参りしてきました。

未分類
大銀杏の記念限定御朱印を頂きにお参りしてきました。

未分類
大銀杏の記念限定御朱印を頂きにお参りしてきました。

未分類
大銀杏の記念限定御朱印を頂きにお参りしてきました。

その他建物
大銀杏の記念限定御朱印を頂きにお参りしてきました。

未分類
正面からではなく四合稲荷神社側からの入口です。

未分類
来月の予告!(左側)

未分類
11/23限定の予告(左側)

未分類
御祭神
【素盞嗚尊-すさのおのみこと-】
【奇稲田姫命-くしいなだひめのみこと-】
【大己貴…

未分類
鳥居

未分類
氷川神社巡り2社目

未分類
【予告】今年は、11/19~頒布開始~

未分類
11月に入りましたので、お参りしてきました。
広い境内の銀杏が着色付いて綺麗でしたが…スマホを家…

未分類
10月に入りましたので、お参りに伺いました。出掛ける時も雨が降っていましたが、着いた頃から雨脚しが…

その他建物
10月に入りましたので、お参りに伺いました。出掛ける時も雨が降っていましたが、着いた頃から雨脚しが…

未分類
10月に入りましたので、お参りに伺いました。出掛ける時も雨が降っていましたが、着いた頃から雨脚しが…

未分類
10月に入りましたので、お参りに伺いました。出掛ける時も雨が降っていましたが、着いた頃から雨脚しが…

未分類
10月に入りましたので、お参りに伺いました。出掛ける時も雨が降っていましたが、着いた頃から雨脚しが…

その他建物
10月に入りましたので、お参りに伺いました。出掛ける時も雨が降っていましたが、着いた頃から雨脚しが…

その他建物
10月に入りましたので、お参りに伺いました。出掛ける時も雨が降っていましたが、着いた頃から雨脚しが…

未分類
10月に入りましたので、お参りに伺いました。出掛ける時も雨が降っていましたが、着いた頃から雨脚しが…

未分類
10月の御朱印

未分類
仕事の途中、
赤坂氷川神社さんに立ち寄らせていただきました⛩
御祭神は
素盞嗚尊
奇稲田姫命
大…

未分類
仕事の途中、
赤坂氷川神社さんに立ち寄らせていただきました⛩
御祭神は
素盞嗚尊
奇稲田姫命
大…

未分類
仕事の途中、
赤坂氷川神社さんに立ち寄らせていただきました⛩
御祭神は
素盞嗚尊
奇稲田姫命
大…

未分類
9月17日(土)
東京都港区赤坂の赤坂氷川神社に参拝。
御祭神は素盞嗚命、奇稲田姫命、大己貴命…

未分類
9月17日(土)
東京都港区赤坂の赤坂氷川神社に参拝。
御祭神は素盞嗚命、奇稲田姫命、大己貴命…

未分類
2012年4月15日、この日は多摩川方面のウォーキングでしたが、その後都内に来て東京十社巡りの続き…

未分類
9/15限定頒布の、かさね御朱印【甕覗き】と、9/15〜18頒の、かさね御朱印の【例祭】を頂きまし…

未分類
9/15限定頒布の、かさね御朱印【甕覗き】と、9/15〜18頒の、かさね御朱印の【例祭】を頂きまし…

未分類
9/15限定頒布の、かさね御朱印【甕覗き】と、9/15〜18頒の、かさね御朱印の【例祭】を頂きまし…

未分類
9/15限定頒布の、かさね御朱印【甕覗き】と、9/15〜18頒の、かさね御朱印の【例祭】を頂きまし…

未分類
9/15限定頒布の、かさね御朱印【甕覗き】と、9/15〜18頒の、かさね御朱印の【例祭】を頂きまし…

未分類
9/15限定頒布の、かさね御朱印【甕覗き】と、9/15〜18頒の、かさね御朱印の【例祭】を頂きまし…

その他建物
9/15限定頒布の、かさね御朱印【甕覗き】と、9/15〜18頒の、かさね御朱印の【例祭】を頂きまし…

未分類
9/15限定頒布の、かさね御朱印【甕覗き】と、9/15〜18頒の、かさね御朱印の【例祭】を頂きまし…

未分類
9/15限定頒布の、かさね御朱印【甕覗き】と、9/15〜18頒の、かさね御朱印の【例祭】を頂きまし…

その他建物
9/15限定頒布の、かさね御朱印【甕覗き】と、9/15〜18頒の、かさね御朱印の【例祭】を頂きまし…

未分類
9/15限定頒布の、かさね御朱印【甕覗き】と、9/15〜18頒の、かさね御朱印の【例祭】を頂きまし…

その他建物
9/15限定頒布の、かさね御朱印【甕覗き】と、9/15〜18頒の、かさね御朱印の【例祭】を頂きまし…

未分類
9/15限定頒布の、かさね御朱印【甕覗き】と、9/15〜18頒の、かさね御朱印の【例祭】を頂きまし…

未分類
9/15限定頒布の、かさね御朱印【甕覗き】と、9/15〜18頒の、かさね御朱印の【例祭】を頂きまし…

未分類
9/15限定頒布の、かさね御朱印【甕覗き】と、9/15〜18頒の、かさね御朱印の【例祭】を頂きまし…

未分類
9/15限定頒布の、かさね御朱印【甕覗き】と、9/15〜18頒の、かさね御朱印の【例祭】を頂きまし…

未分類
9/15限定頒布の、かさね御朱印【甕覗き】と、9/15〜18頒の、かさね御朱印の【例祭】を頂きまし…

未分類
9/15限定頒布の、かさね御朱印【甕覗き】と、9/15〜18頒の、かさね御朱印の【例祭】を頂きまし…

未分類
9/15限定頒布の、かさね御朱印【甕覗き】と、9/15〜18頒の、かさね御朱印の【例祭】を頂きまし…

未分類
9/15限定頒布の、かさね御朱印【甕覗き】と、9/15〜18頒の、かさね御朱印の【例祭】を頂きまし…

未分類
9/15限定頒布の、かさね御朱印【甕覗き】と、9/15〜18頒の、かさね御朱印の【例祭】を頂きまし…
未分類
★赤坂氷川神社★
赤坂の住宅街にある都会のオアシス。
境内には大銀杏の他、四合(しあわせ)稲荷とい…

未分類
★赤坂氷川神社★
赤坂の住宅街にある都会のオアシス。
境内には大銀杏の他、四合(しあわせ)稲荷とい…

その他建物
★赤坂氷川神社★
赤坂の住宅街にある都会のオアシス。
境内には大銀杏の他、四合(しあわせ)稲荷とい…

未分類
★赤坂氷川神社★
赤坂の住宅街にある都会のオアシス。
境内には大銀杏の他、四合(しあわせ)稲荷とい…

未分類
★赤坂氷川神社★
赤坂の住宅街にある都会のオアシス。
境内には大銀杏の他、四合(しあわせ)稲荷とい…

未分類
大銀杏。
秋になったらいい感じに色づくのでしょう。
その頃にまた来たいと思います。

未分類
拝殿

未分類
以前お参りした時とても気に入ったので約3年ぶりに参拝してきました。

未分類
以前お参りした時とても気に入ったので約3年ぶりに参拝してきました。

未分類
以前お参りした時とても気に入ったので約3年ぶりに参拝してきました。

未分類
以前お参りした時とても気に入ったので約3年ぶりに参拝してきました。

未分類
以前お参りした時とても気に入ったので約3年ぶりに参拝してきました。

その他建物
緑に囲まれた参道がいいんですよね。月並みな言い方ですが足を踏み入れた瞬間空気が変わるんです。
大通り(赤坂通り)から少し離れた静かな住宅街に鎮座しているのもいいかも知れません。

その他建物
こちらも、8月に入りましたので、お参りして来ました。
縁結びなどでも人気のある神社なので、土日は…

未分類
こちらも、8月に入りましたので、お参りして来ました。
縁結びなどでも人気のある神社なので、土日は…

その他建物
こちらも、8月に入りましたので、お参りして来ました。
縁結びなどでも人気のある神社なので、土日は…

その他建物
こちらも、8月に入りましたので、お参りして来ました。
縁結びなどでも人気のある神社なので、土日は…

その他建物
こちらも、8月に入りましたので、お参りして来ました。
縁結びなどでも人気のある神社なので、土日は…

未分類
こちらも、8月に入りましたので、お参りして来ました。
縁結びなどでも人気のある神社なので、土日は…

未分類
こちらも、8月に入りましたので、お参りして来ました。
縁結びなどでも人気のある神社なので、土日は…

未分類
こちらも、8月に入りましたので、お参りして来ました。
縁結びなどでも人気のある神社なので、土日は…

未分類
こちらも、8月に入りましたので、お参りして来ました。
縁結びなどでも人気のある神社なので、土日は…

未分類
こちらも、8月に入りましたので、お参りして来ました。
縁結びなどでも人気のある神社なので、土日は…

未分類
こちらも、8月に入りましたので、お参りして来ました。
縁結びなどでも人気のある神社なので、土日は…

未分類
こちらも、8月に入りましたので、お参りして来ました。
縁結びなどでも人気のある神社なので、土日は…

未分類
こちらも、8月に入りましたので、お参りして来ました。
縁結びなどでも人気のある神社なので、土日は…

未分類
こちらも、8月に入りましたので、お参りして来ました。
縁結びなどでも人気のある神社なので、土日は…

未分類
こちらも、8月に入りましたので、お参りして来ました。
縁結びなどでも人気のある神社なので、土日は…

未分類
小雨の中、お参りしてきました。月替わりの御朱印は、予定枚数終了していました。人気の御朱印なので、来…

未分類
小雨の中、お参りしてきました。月替わりの御朱印は、予定枚数終了していました。人気の御朱印なので、来…

未分類
小雨の中、お参りしてきました。月替わりの御朱印は、予定枚数終了していました。人気の御朱印なので、来…

未分類
小雨の中、お参りしてきました。月替わりの御朱印は、予定枚数終了していました。人気の御朱印なので、来…

未分類
小雨の中、お参りしてきました。月替わりの御朱印は、予定枚数終了していました。人気の御朱印なので、来…

未分類
小雨の中、お参りしてきました。月替わりの御朱印は、予定枚数終了していました。人気の御朱印なので、来…

未分類
小雨の中、お参りしてきました。月替わりの御朱印は、予定枚数終了していました。人気の御朱印なので、来…

未分類
小雨の中、お参りしてきました。月替わりの御朱印は、予定枚数終了していました。人気の御朱印なので、来…

その他建物
小雨の中、お参りしてきました。月替わりの御朱印は、予定枚数終了していました。人気の御朱印なので、来…

未分類
小雨の中、お参りしてきました。月替わりの御朱印は、予定枚数終了していました。人気の御朱印なので、来…

未分類
小雨の中、お参りしてきました。月替わりの御朱印は、予定枚数終了していました。人気の御朱印なので、来…

その他建物
小雨の中、お参りしてきました。月替わりの御朱印は、予定枚数終了していました。人気の御朱印なので、来…

未分類
小雨の中、お参りしてきました。月替わりの御朱印は、予定枚数終了していました。人気の御朱印なので、来…

未分類
小雨の中、お参りしてきました。月替わりの御朱印は、予定枚数終了していました。人気の御朱印なので、来…

未分類
ひさびさに晴れたので、東京十社巡りの続きをしてきました(。・ω・。)
8社目、赤坂氷川神社⛩へ
…

未分類
山車と御神輿が展示されていました♪
煌びやかで綺麗でした❣️

未分類
ひさびさに晴れたので、東京十社巡りの続きをしてきました(。・ω・。)
8社目、赤坂氷川神社⛩へ
…

未分類
直書き御朱印拝受しました♪

未分類
日枝神社から、歩いてお詣り。
途中、ベトナム料理屋で、
ランチをしました。
境内では…

未分類
日枝神社から、歩いてお詣り。
途中、ベトナム料理屋で、
ランチをしました。
境内では…

未分類
東京十社の一つ

その他建物
橋

未分類
入口

未分類
御祭神
素戔嗚命
櫛稲田姫命
大己貴命

未分類
東京十社をお参りしてきました。

未分類
東京十社をお参りしてきました。

未分類
東京十社をお参りしてきました。

未分類
東京十社をお参りしてきました。

未分類
東京十社をお参りしてきました。

未分類
東京十社をお参りしてきました。

その他建物
東京十社をお参りしてきました。

未分類
東京十社をお参りしてきました。

未分類
東京十社をお参りしてきました。

未分類
東京十社をお参りしてきました。

未分類
東京十社をお参りしてきました。

未分類
東京十社をお参りしてきました。

その他建物
東京十社をお参りしてきました。

未分類
氷川坂側の一の鳥居

未分類
四合稲荷の御朱印

未分類
氷川神社の御朱印

未分類
四合稲荷

未分類
創建1000年以上におよぶ、社殿は江戸当時のままの姿で残っている奇跡の神社です。赤坂・六本木の氏神…

その他建物
二の鳥居から

未分類
大銀杏

未分類
以前もお参りしたことはありましたが、当時は、東京十社参りのことを知らず、今回は、東京十社めぐりの一…

未分類
以前もお参りしたことはありましたが、当時は、東京十社参りのことを知らず、今回は、東京十社めぐりの一…

未分類
以前もお参りしたことはありましたが、当時は、東京十社参りのことを知らず、今回は、東京十社めぐりの一…

未分類
以前もお参りしたことはありましたが、当時は、東京十社参りのことを知らず、今回は、東京十社めぐりの一…

未分類
以前もお参りしたことはありましたが、当時は、東京十社参りのことを知らず、今回は、東京十社めぐりの一…

未分類
以前もお参りしたことはありましたが、当時は、東京十社参りのことを知らず、今回は、東京十社めぐりの一…

未分類
以前もお参りしたことはありましたが、当時は、東京十社参りのことを知らず、今回は、東京十社めぐりの一…

未分類
以前もお参りしたことはありましたが、当時は、東京十社参りのことを知らず、今回は、東京十社めぐりの一…

未分類
以前もお参りしたことはありましたが、当時は、東京十社参りのことを知らず、今回は、東京十社めぐりの一…

未分類
御朱印頂きました。

その他建物
御朱印頂きました。

その他建物
予想外に自然多めでびっくりしました😲

未分類
参拝記録用

未分類
赤坂は氷川坂沿い、赤坂氷川神社へも歩いて。
氷川神社は高円寺に次いで2社目の奉拝。
緑多い赤坂の閑…

その他建物
赤坂は氷川坂沿い、赤坂氷川神社へも歩いて。
氷川神社は高円寺に次いで2社目の奉拝。
緑多い赤坂の閑…

未分類
赤坂は氷川坂沿い、赤坂氷川神社へも歩いて。
氷川神社は高円寺に次いで2社目の奉拝。
緑多い赤坂の閑…

未分類
赤坂は氷川坂沿い、赤坂氷川神社へも歩いて。
氷川神社は高円寺に次いで2社目の奉拝。
緑多い赤坂の閑…

未分類
なんと、御祈祷のご相伴に預かりました〜(^^)。

未分類
日枝神社とは異なる、おっとりほのぼのとしたまろやかなお祝いムード。

未分類
松と竹の生きた門松ですね〜。

未分類
氷川山車「猿」

その他建物
氷川山車「頼義」

その他建物
大銀杏説明

その他建物
氷川神社参道

その他建物
とても趣きのある素敵な神社でした

未分類
東京 赤坂氷川神社
港七福神巡りのあとに伺いました。
季節の御朱印 -波に千鳥-
波間に飛び交い…

未分類
東京 赤坂氷川神社
港七福神巡りのあとに伺いました。
季節の御朱印 -波に千鳥-
波間に飛び交い…

未分類
東京 赤坂氷川神社
港七福神巡りのあとに伺いました。
季節の御朱印 -波に千鳥-
波間に飛び交い…

その他建物
東京 赤坂氷川神社
港七福神巡りのあとに伺いました。
季節の御朱印 -波に千鳥-
波間に飛び交い…

その他建物
東京 赤坂氷川神社
港七福神巡りのあとに伺いました。
季節の御朱印 -波に千鳥-
波間に飛び交い…

未分類
御由緒

未分類
やかん鈴お守りのご利益・教えです。
「他人に分け与えるべき」という部分は耳が痛い部分なので善処します…!

未分類
今回購入したやかん鈴のお守りです!
これ以外にも可愛いお守りが沢山ありました!

未分類
ひっそりとした道を進んでいくとありました。
境内は広く、鳥居をくぐり、まっすぐに進み、門を通って…

その他建物
昨年、初めて、やかん型のお守りをいただいて、今年もそのお守りが、
一年がたちましたので、やかん型の…

未分類
昨年、初めて、やかん型のお守りをいただいて、今年もそのお守りが、
一年がたちましたので、やかん型の…

その他建物
昨年、初めて、やかん型のお守りをいただいて、今年もそのお守りが、
一年がたちましたので、やかん型の…

その他建物
昨年、初めて、やかん型のお守りをいただいて、今年もそのお守りが、
一年がたちましたので、やかん型の…

未分類
昨年、初めて、やかん型のお守りをいただいて、今年もそのお守りが、
一年がたちましたので、やかん型の…

未分類
昨年、初めて、やかん型のお守りをいただいて、今年もそのお守りが、
一年がたちましたので、やかん型の…

未分類
昨年、初めて、やかん型のお守りをいただいて、今年もそのお守りが、
一年がたちましたので、やかん型の…

未分類
昨年、初めて、やかん型のお守りをいただいて、今年もそのお守りが、
一年がたちましたので、やかん型の…

その他建物
昨年、初めて、やかん型のお守りをいただいて、今年もそのお守りが、
一年がたちましたので、やかん型の…

その他建物
昨年、初めて、やかん型のお守りをいただいて、今年もそのお守りが、
一年がたちましたので、やかん型の…

未分類
昨年、初めて、やかん型のお守りをいただいて、今年もそのお守りが、
一年がたちましたので、やかん型の…

その他建物
昨年、初めて、やかん型のお守りをいただいて、今年もそのお守りが、
一年がたちましたので、やかん型の…

未分類
昨年、初めて、やかん型のお守りをいただいて、今年もそのお守りが、
一年がたちましたので、やかん型の…

未分類
昨年、初めて、やかん型のお守りをいただいて、今年もそのお守りが、
一年がたちましたので、やかん型の…

未分類
昨年、初めて、やかん型のお守りをいただいて、今年もそのお守りが、
一年がたちましたので、やかん型の…

未分類
神前挙式に遭遇しました。
お幸せになって下さい。

未分類
来月からの御朱印

その他建物
社名の石碑

未分類
第一鳥居

その他建物
11/23日だけの新嘗祭限定御朱印がいただける日とのことでしたが、
家を出たのが遅かったため、も…

その他建物
11/23日だけの新嘗祭限定御朱印がいただける日とのことでしたが、
家を出たのが遅かったため、も…

未分類
氷川神社の大銀杏は推定樹齢400年。
すっかり紅葉し見頃は過ぎておりましたが、目を楽しませて頂きました。

未分類
御神木「大銀杏」

その他建物
限定の大銀杏の御朱印を頂きに初めてお参りしました。
境内は、広々としていて素敵な神社でした。

未分類
訪問する前にメトロ東西線の山王溜池からと決めていましたが六本木一丁目からの方が良いかも。
六本木…

その他建物
関西御礼参りからの東京朔日詣り(2年前)

未分類
関西御礼参りからの東京朔日詣り(2年前)

その他建物
関西御礼参りからの東京朔日詣り(2年前)

未分類
初参拝

その他建物
初参拝

未分類
乗っているのは猿です。

未分類
日枝神社から歩いて。
すごく静かでなにかパワーを感じましたよ。

その他建物
凄く神秘的 大都会の中で

その他建物
左側の狛犬の近くにある<包丁塚>。さすが高級料亭の街・赤坂。赤坂・青山の料理飲食業組合連合会が1974年に奉納。

その他建物
参道の左側にある<太鼓橋>と<池>。意外とワイルドな感じ...(^_^;)

その他建物
当社の境内は、高さの違うエリアがあり、その低い方を見て廻る。まずは境内東端にある入口から境内に入る。東側の道路(氷川坂)には<社号標>はあるが、鳥居は近くにはない。

その他建物
山口稲荷神社から南側を望む。この時、駐車場の造成工事中で、写真中央やや左にある<九神社>には近づけない...

その他建物
楼門をくぐってすぐ左側にある<宮神輿庫>。

未分類
二つ目の<鳥居>。<氷川大明神>の扁額が掛かる。

その他建物
さらに進む。燈籠も江戸時代から立っているのか、年季が入っていて味がある。

その他建物
鳥居をくぐり、参道を進む。右側には注連縄が結ばれた太い樹木。

未分類
境内南側の<鳥居>と<社号標>。東京都心の神社とは思えない緑の豊かさと落ち着いた雰囲気。

その他建物
はじめての参拝。

その他建物
2度目の参拝
東京オリンピックも終わり、
緊急事態宣言も延長・・・。
雰囲気がとても良か…

未分類
氷川神社のイチョウについて

未分類
2度目の参拝
東京オリンピックも終わり、
緊急事態宣言も延長・・・。
雰囲気がとても良か…

その他建物
・東京十社
以前何かで前を通った時は時間が遅くお参りできなかったのですが、今回は無事お参り出…

その他建物
所在地 東京都港区赤坂六丁目10番12号
主祭神 素盞嗚尊 奇稲田姫命 大己貴命
社格…

その他建物
鬼灯が飾られてました。

未分類
7/7①
出発が遅くなったので予想はしていましたが、本日限定は到着したらすでに終了していました。…

未分類
7/7①
出発が遅くなったので予想はしていましたが、本日限定は到着したらすでに終了していました。…

その他建物
夏詣。七夕。
赤坂氷川神社へ。
七夕の飾りがしてありました。
七夕限定御朱印は早々になくなって…

その他建物
夏詣。七夕。
赤坂氷川神社へ。
七夕の飾りがしてありました。
七夕限定御朱印は早々になくなって…

その他建物
夏詣。七夕。
赤坂氷川神社へ。
七夕の飾りがしてありました。
七夕限定御朱印は早々になくなって…

その他建物
雨が似合うところでした。

その他建物
雨が似合うところでした。

未分類
港区赤坂にある准勅祭社府社の神社。東京十社の一つ。主祭神は素盞嗚尊、奇稲田姫命、大己貴命。創建は…

その他建物
港区赤坂にある准勅祭社府社の神社。東京十社の一つ。主祭神は素盞嗚尊、奇稲田姫命、大己貴命。創建は…

その他建物
港区赤坂にある准勅祭社府社の神社。東京十社の一つ。主祭神は素盞嗚尊、奇稲田姫命、大己貴命。創建は…

その他建物
港区赤坂にある准勅祭社府社の神社。東京十社の一つ。主祭神は素盞嗚尊、奇稲田姫命、大己貴命。創建は…

未分類
小さいけれどみんなお参りしてました。
左側にコイン専用のお賽銭箱。

その他建物
本殿の右手。
御朱印と(300円)と会社縁守り(小600円)をいただきました。

その他建物
東京十社めぐり

未分類
夕方でしたが、たくさんの方がお詣りに来られていました。四合稲荷には行けなかったので、次回はぜひ行き…

未分類
夕方でしたが、たくさんの方がお詣りに来られていました。四合稲荷には行けなかったので、次回はぜひ行き…

その他建物
夕方でしたが、たくさんの方がお詣りに来られていました。四合稲荷には行けなかったので、次回はぜひ行き…

未分類
赤坂氷川神社へ。しあわせ稲荷の御朱印も頂きました。

その他建物
東京十社巡りで参拝しました。

その他建物
十社巡り①
11月14日より季節限定の御朱印頒布される情報を見たので、再度参りました✨
境内の…

その他建物
のどかかよ!

その他建物
日枝神社から歩いて約15分、赤坂氷川神社へ参拝。
道中、テレビ局が見えました。
ほんとに この…

その他建物
日枝神社から歩いて約15分、赤坂氷川神社へ参拝。
道中、テレビ局が見えました。
ほんとに この…

その他建物
日枝神社から歩いて約15分、赤坂氷川神社へ参拝。
道中、テレビ局が見えました。
ほんとに この…

その他建物
【19/8 参拝】
赤坂通りから少し離れた住宅街に鎮座する樹木に囲まれた落ち着いた雰囲気の神社で…

その他建物
【19/8 参拝】
赤坂通りから少し離れた住宅街に鎮座する樹木に囲まれた落ち着いた雰囲気の神社で…

その他建物
東京十社の一つ。
日枝神社から歩いて訪問しました。
境内に入るとひっそりとした静寂な空間があり…

その他建物
東京十社の一つ。
日枝神社から歩いて訪問しました。
境内に入るとひっそりとした静寂な空間があり…

その他建物
東京十社の一つ。
日枝神社から歩いて訪問しました。
境内に入るとひっそりとした静寂な空間があり…

その他建物
東京十社の一つ。
日枝神社から歩いて訪問しました。
境内に入るとひっそりとした静寂な空間があり…

その他建物
東京十社の一つ。
日枝神社から歩いて訪問しました。
境内に入るとひっそりとした静寂な空間があり…

その他建物
乃木神社、旧乃木邸から、いつ何処から向かっても、何故か100%迷うというジンクスのある『赤坂氷川神…

その他建物
乃木神社、旧乃木邸から、いつ何処から向かっても、何故か100%迷うというジンクスのある『赤坂氷川神…

その他建物
乃木神社、旧乃木邸から、いつ何処から向かっても、何故か100%迷うというジンクスのある『赤坂氷川神…

その他建物
乃木神社、旧乃木邸から、いつ何処から向かっても、何故か100%迷うというジンクスのある『赤坂氷川神…

その他建物
乃木神社、旧乃木邸から、いつ何処から向かっても、何故か100%迷うというジンクスのある『赤坂氷川神…

その他建物
乃木神社、旧乃木邸から、いつ何処から向かっても、何故か100%迷うというジンクスのある『赤坂氷川神…

その他建物
乃木神社、旧乃木邸から、いつ何処から向かっても、何故か100%迷うというジンクスのある『赤坂氷川神…

その他建物
初詣の御朱印巡り。
混んでいるのを覚悟していましたが参拝は少し並びましたが御朱印は待たずにすぐ頂…

その他建物
六本木、赤坂その中間に位置し、まさに都会のど真ん中。
それなのにこんなに、静かで美しい。
緑の…

その他建物
六本木、赤坂その中間に位置し、まさに都会のど真ん中。
それなのにこんなに、静かで美しい。
緑の…

その他建物
六本木、赤坂その中間に位置し、まさに都会のど真ん中。
それなのにこんなに、静かで美しい。
緑の…

その他建物
よいお参りでした。

その他建物
アメリカ大使館の近くにある創建1000年以上の古社
御社殿は安政の大地震、関東大震災、東京大空襲…

その他建物
アメリカ大使館の近くにある創建1000年以上の古社
御社殿は安政の大地震、関東大震災、東京大空襲…

その他建物
アメリカ大使館の近くにある創建1000年以上の古社
御社殿は安政の大地震、関東大震災、東京大空襲…

その他建物
アメリカ大使館の近くにある創建1000年以上の古社
御社殿は安政の大地震、関東大震災、東京大空襲…

その他建物
アメリカ大使館の近くにある創建1000年以上の古社
御社殿は安政の大地震、関東大震災、東京大空襲…

その他建物
移動中に初詣の御朱印紙を頒布されているのを知りました。
お昼頃でしたがいただけて良かったです。

その他建物
橋が幻想的でしたのでパシャリ👀
四合稲荷様の反対側にありましたよ!

その他建物
九神社(くじんしゃ)
かつて境内各所にあった天祖神社・春日神社・鹿島神社・八幡神社・諏訪神社・秋葉神社・厳島神社・金刀比羅神社・塞神社の9社を合祀した神社だそうです!

その他建物
社殿左側には、御神輿が飾られていました!
とても豪華でした…✨

その他建物
銀杏と神社の写真を撮りたいと思い
思い浮かんだのが赤坂氷川神社様
ただ大銀杏と社殿の距離が…

その他建物
迷ってしまい、12時過ぎに到着したら、大銀杏の御朱印の配布が終わってました。😭イチョウの木は、素晴…

その他建物
迷ってしまい、12時過ぎに到着したら、大銀杏の御朱印の配布が終わってました。😭イチョウの木は、素晴…

その他建物
樹齢400年大銀杏限定御朱印

その他建物
暴れん坊将軍ゆかりの地

その他建物
天赦日に東京10社巡り行ってきました。
天暦五年(951)赤坂一ツ木に創祀す。紀州徳川家赤坂邸の…

その他建物
天赦日に東京10社巡り行ってきました。
天暦五年(951)赤坂一ツ木に創祀す。紀州徳川家赤坂邸の…

その他建物
天赦日に東京10社巡り行ってきました。
天暦五年(951)赤坂一ツ木に創祀す。紀州徳川家赤坂邸の…

その他建物
天赦日に東京10社巡り行ってきました。
天暦五年(951)赤坂一ツ木に創祀す。紀州徳川家赤坂邸の…

その他建物
天赦日に東京10社巡り行ってきました。
天暦五年(951)赤坂一ツ木に創祀す。紀州徳川家赤坂邸の…

その他建物
天赦日に東京10社巡り行ってきました。
天暦五年(951)赤坂一ツ木に創祀す。紀州徳川家赤坂邸の…

その他建物
天赦日に東京10社巡り行ってきました。
天暦五年(951)赤坂一ツ木に創祀す。紀州徳川家赤坂邸の…

その他建物
天赦日に東京10社巡り行ってきました。
天暦五年(951)赤坂一ツ木に創祀す。紀州徳川家赤坂邸の…

その他建物
東京十社 地下鉄の駅から坂を数分登ったところにある神社。都心だけれど周辺含め静かなところでした。必…

その他建物
東京十社 地下鉄の駅から坂を数分登ったところにある神社。都心だけれど周辺含め静かなところでした。必…

その他建物
東京十社 地下鉄の駅から坂を数分登ったところにある神社。都心だけれど周辺含め静かなところでした。必…

その他建物
東京十社巡りで伺いました。

その他建物
新型コロナウイルスも心配だったけど、思い切って、参拝へ。心落ち着きます。

その他建物
新型コロナウイルスも心配だったけど、思い切って、参拝へ。心落ち着きます。

その他建物
新型コロナウイルスも心配だったけど、思い切って、参拝へ。心落ち着きます。

その他建物
新型コロナウイルスも心配だったけど、思い切って、参拝へ。心落ち着きます。

その他建物
赤坂という都心の立地ながら社叢は豊かで、巨木もちらほら残っているのが素晴らしいです。

その他建物
日枝神社から徒歩で15分位で行けました。
東京メトロ千代田線 赤坂駅からは徒歩で5分位です。

その他建物
日枝神社から徒歩で15分位で行けました。
東京メトロ千代田線 赤坂駅からは徒歩で5分位です。

その他建物
ここにも子供の遊び場が♪

その他建物
以前東京十社巡りで来た事があったのですが今回は氷川神社巡りな感じで♪
とにかく樹木感が良い雰囲気…

その他建物
以前東京十社巡りで来た事があったのですが今回は氷川神社巡りな感じで♪
とにかく樹木感が良い雰囲気…

その他建物
東京十社のなかの一社

その他
十社めぐりでお詣りしました。赤坂の鎮座されている場所の空気感がとても素敵です。

その他
十社めぐりでお詣りしました。赤坂の鎮座されている場所の空気感がとても素敵です。

その他建物
渋谷より移動。駐車場は裏の鳥居をくぐって境内に数台停められます。境内公園もあり、敷地はそこそこ広い…

その他建物
瓦塀

その他建物
社号碑

その他建物
この日最後は、赤坂氷川神社へ。
都心に位置しながらも、周囲は静かで心が落ち着きます。
参道の両…

その他建物
東京十社めぐり
初めての御詣りでした。
赤坂の高級住宅街を通り抜けひっそりと猛々しく佇んでい…

その他建物
3/26 18:00から限定で、夜桜参りの御朱印もあるようです。
貼ってある和紙の色が白で、その他のデザインは同じでした。

その他建物
桜の季節ですが、まだ思った程咲いていないような。限定御朱印いただきました。

その他建物
桜祭り御朱印の予告です。

その他建物
入口の石碑です。

その他建物
東京十社めぐり
日枝神社から歩いていけたよ
足を踏み入れた瞬間
異空間
…

その他建物
東京十社めぐり
日枝神社から歩いていけたよ
足を踏み入れた瞬間
異空間
…

その他建物
東京都港区の神社
東京十社

その他建物
初詣2社目です。
混んでました。

その他建物
包丁塚

その他建物
赤坂氷川神社。
東京十社の一つ。
隣に「勝海舟邸」があり、彼が建立した「四合神社(しあわせじん…

その他建物
東京十社のひとつ赤坂氷川神社さんにお詣りしました✨
赤坂駅から徒歩10分くらいで到着🐾
…

その他
楼門と狛犬さん…かわいらしいお顔です。

その他建物
境内の4稲荷合わせ御朱印もあります

その他建物
やっと終わった^ ^

その他建物
東京十社めぐりです。

その他建物
神門

その他建物
静かでした!

その他建物
東京十社のひとつ

その他建物
赤坂氷川神社のご祭神は素盞鳴尊(すさのおのみこと)と奇稲田姫命(くしいなだひめのみこと)で、ご夫婦…

その他建物
赤坂氷川神社のご祭神は素盞鳴尊(すさのおのみこと)と奇稲田姫命(くしいなだひめのみこと)で、ご夫婦…

その他建物
東京十社巡りのひとつ。赤坂の街中でひっそりとして、雨上がりでしたが、静かに時間が流れている感じでし…

その他建物
【東京十社・赤坂氷川神社】
週末の土曜日にお参りしました。翌日の日曜日が例大祭で、この日は子ど…

その他建物
東京十社巡り最初の一歩〜赤坂氷川神社〜
『東京三大縁結び神社』の中の一社✨
赤坂という東京の真…

その他建物
東京十社巡り最初の一歩〜赤坂氷川神社〜
『東京三大縁結び神社』の中の一社✨
赤坂という東京の真…

その他建物
包丁塚

その他建物
東京十社巡り最初の一歩〜赤坂氷川神社〜
『東京三大縁結び神社』の中の一社✨
赤坂という東京の真…

その他建物
境内。あたりは薄暗くとても静かです。

その他建物
鳥居と社号標

その他建物
都会のど真ん中と思えないご神域でした。

その他
赤坂氷川神社
(東京都千代田区 富士見)
2019年6月26日 参拝
稲荷社が…

その他建物
十社巡りもしてみたいような…

その他建物
こちらも来てみたかったので参拝させていただきました。
溜池山王駅14出口より出て、ナビ見ながら少…

その他建物
こちらも来てみたかったので参拝させていただきました。
溜池山王駅14出口より出て、ナビ見ながら少…

その他建物
お祭りの道具?をしまう場所みたい

その他建物
こちらも来てみたかったので参拝させていただきました。
溜池山王駅14出口より出て、ナビ見ながら少…

その他建物
こちらも来てみたかったので参拝させていただきました。
溜池山王駅14出口より出て、ナビ見ながら少…

その他建物
こちらも来てみたかったので参拝させていただきました。
溜池山王駅14出口より出て、ナビ見ながら少…

その他建物
赤坂氷川神社
(東京都港区 赤坂)
2019年4月6日 参拝
何度目かの参拝にな…

その他建物
赤坂氷川神社
(東京都港区 赤坂)
2019年4月6日 参拝
何度目かの参拝にな…

その他建物
元号またぎの神社参拝・その3
赤坂氷川神社
(東京都港区 赤坂)
平成31年4月3…

その他建物
元号またぎの神社参拝・その3
赤坂氷川神社
(東京都港区 赤坂)
平成31年4月3…

その他建物
赤坂氷川神社
(東京都・港区)
2018年10月 参拝
歴史、格式、由緒ある神社で…

その他建物
平日だったため、参拝者も数える程。
緑に囲まれ、鳥のさえずりしか聞こえて来ませんでした。
ガラ…

その他建物
令和最初の参拝は赤坂氷川神社です。
限定御朱印をいただきに行きましたが、到着した段階で長蛇の列。…

その他建物
撮影.鳥居クグル
その他建物
「な、なんですか、怪談みたいじゃないですか」
「その〰️、説明してくれた〰️神社の方の顔をよ〰️く見てみると〰️..」
「えっ、ちょ、ちょっと、なんなんですか...」
その他建物
「この先の階段の下にあるのが、江戸時代からある拝殿なんだよ」
「本当ですか?又、偽の初詣みたいな事じゃないですよね?」
その他建物
「実は、本来の拝殿はこっちじゃないんだよ」
「え、そうなんですか?じゃあ、どこなんですか?」
「付いてきたまえ」
「あ、はい..」
その他建物
「ジャギーさん、まだ、こんなに混んでますよ!」
「フフッ、青いよ、鳥居君..」
「えっ、何が青いんですか」
「まだまだだね、君は..」
「えっ、どういう事ですか?」
その他建物
「境内社に、ご挨拶しよう」
「そうですね」
その他建物
「ほら、結構、参拝者がいらっしゃいますよ」
「本当だなぁ..会社関係の人達が新年のお参りに来てるんだな」
その他建物
「でも、ジャギーさん、ちょっと混んでそうですよ」
「そう?」

その他建物
こちらが正面の参道

その他建物
神輿庫

その他建物
浅野土佐守邸
忠臣蔵でおなじみ、浅野内匠頭の奥さま、遙泉院の実家だったそうです

その他建物
宮神輿庫

その他建物
収蔵庫

その他建物
神門前にも狛犬
都内で2番目に古いのだそう

その他建物
狛犬が守る石段を上る

その他建物
西行稲荷の近く 布袋様がいらっしゃいます

その他建物
江戸七氷川の筆頭であり、東京十社のうちの一社。
東京三大縁結び神社のひとつとも言われているようで…
その他建物
東京准勅祭神社10社巡り・3社目。
日枝と比べると境内の雰囲気が一気に古く感じる。
(日枝は近…
その他建物
入口の鳥居
その他建物
イチョウの鮮やかなグリーンの御朱印帳。七夕の期間だけのご朱印頂きました。
その他建物
赤坂氷川神社
その他建物
東京十社で一番好きかも。赤坂の路地裏で、ここだけ異世界のようなたたずまい。
訪問するなら11…
その他建物
屋根の貼り合わせも趣があります
その他建物
赤坂と六本木の中間あたりにある、神社です。街の雑踏からまるで見えない結界があるようで、神社の鳥居を…
その他建物
商売繁盛を祈願しに行ってしました。
その他建物
台風の影響なのか、時間が遅すぎなのか...例大祭を見に行こうと思ったら誰にもいなかったです(笑)。…
その他建物
台風の影響なのか、時間が遅すぎなのか...例大祭を見に行こうと思ったら誰にもいなかったです(笑)。…
その他建物
台風の影響なのか、時間が遅すぎなのか...例大祭を見に行こうと思ったら誰にもいなかったです(笑)。…
その他建物
台風の影響なのか、時間が遅すぎなのか...例大祭を見に行こうと思ったら誰にもいなかったです(笑)。…
その他建物
六本木、赤坂の喧騒から少し抜けて、細い坂道を上ると開けた境内に出ます。
頭が木に支えたオモロ…
その他建物
江戸七氷川の一社に数えられ、准勅祭社十社の一つでもあります。
境内に昼寝猫がいました。
その他建物
赤坂の静かな場所にある氷川神社。お正月はかなり人で混み合います。普段は人がまばらですが誰もいないと…

NEWSLETTER
最新の限定御朱印情報が届く!
御朱印メルマガを受け取ろう
This site is protected by reCAPTCHA and the GooglePrivacy Policy andTerms of Service apply.
ホトカミで困ったこと、不具合のご報告はこちらから
お問い合わせ


