からくにじんじゃ
御朱印・神社お寺の検索サイト
楽しみ方辛國神社のお参りの記録(1回目)
投稿日:2021年09月10日(金) 13時09分18秒
参拝:2021年8月吉日
(古市古墳群と六社寺めぐり)
葛井寺の隣に鎮座しています。参道がなんとも素晴らしい神社です。
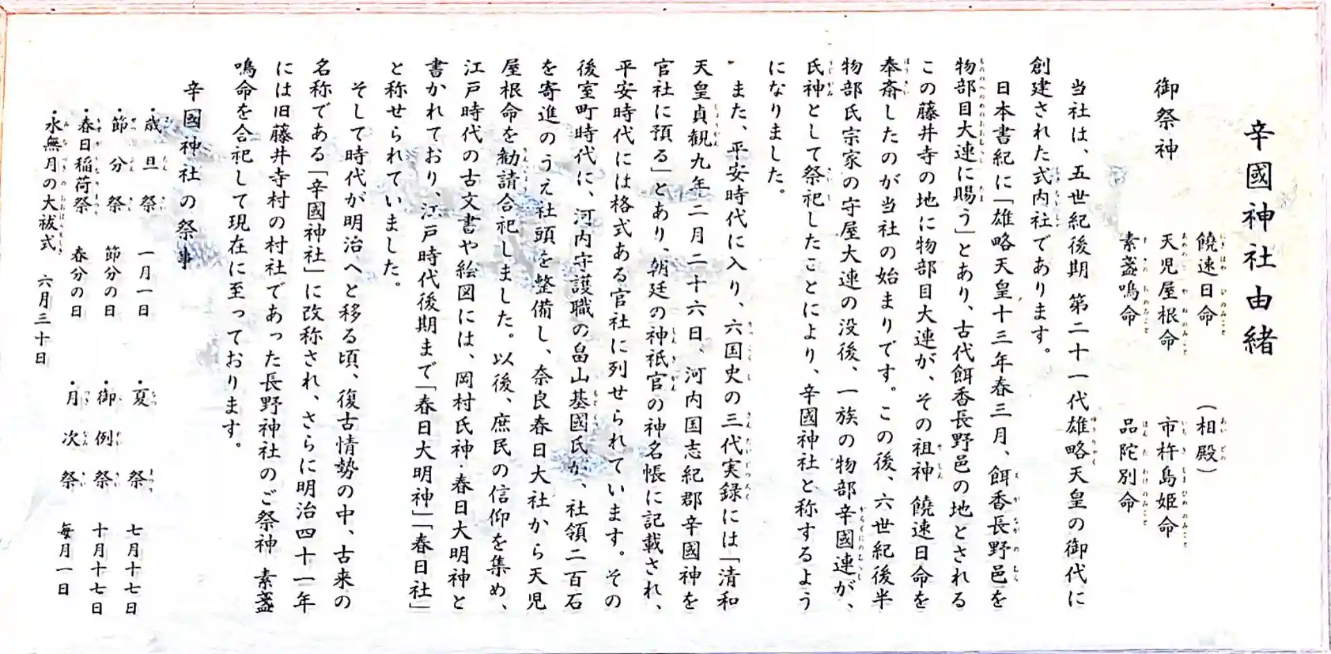
辛國神社の由緒は、雄略天皇の時代に物部氏がその祖神をお祀りしたのに始まり、その後一族が、辛國神社をお護りし「辛國神社」と称するようになりました。室町時代、河内の守護職の畠山氏が寄進して奈良の春日大社より春日の神を合祀しました。その後、織田信長の時代になって神社は兵火にあい焼失したとのことです。
参道より境内に入ると、気がピーンとします。
パワースポットとも言われている所以でしょうか?
葛井寺の隣に鎮座しています。参道がなんとも素晴らしい神社です。
辛國神社の由緒は、雄略天皇の時代に物部氏がその祖神をお祀りしたのに始まり、その後一族が、辛國神社をお護りし「辛國神社」と称するようになりました。室町時代、河内の守護職の畠山氏が寄進して奈良の春日大社より春日の神を合祀しました。その後、織田信長の時代になって神社は兵火にあい焼失したとのことです。
参道より境内に入ると、気がピーンとします。
パワースポットとも言われている所以でしょうか?
すてき
投稿者のプロフィール

ますみん822投稿
コロナ禍に突然お告げ?受けて、2020.4より御朱印に入れ込みはじめました。いけば行くほど奥深く、毎日お参りばかりを考える、御朱印狂になってしまいました。でも、お参りすることっていいことですよね...もっと読む
ホトカミ見ました! で広がるご縁
ホトカミを見てお参りされた際は、もし話す機会があれば神主さんに、「ホトカミ見てお参りしました!」とお伝えください。
神主さんも、ホトカミを通じてお参りされる方がいるんだなぁと、ホトカミ無料公式登録して、情報を発信しようという気持ちになるかもしれませんし、
「ホトカミ見ました!」きっかけで豊かな会話が生まれたら、ホトカミ運営の私たちも嬉しいです。


















