やまなはちまんぐう
御朱印・神社お寺の検索サイト
楽しみ方山名八幡宮の御由緒・歴史
| ご祭神 | 玉依比売命 品陀和気命 息長足比売命 | |
|---|---|---|
| 創建時代 | 安元年間(1175年 - 1177年) | |
| 創始者 | 新田義範(山名義範) | |
| ご由緒 | 社伝によると山名八幡宮は源氏の一族、新田氏の祖義重の子、山名義範が平安時代後期の安元年中(1175~77年)、大分県に鎮座する、八幡宮の総氏神の宇佐八幡宮より勧請されたと伝わっています。 応仁の乱の際、西軍の指揮を執った山名宗全が西国で勢力を誇った影響で、現在も関西を中心に全国で約1万人程いると言われている山名姓、及び血縁関係のある末裔も含め、全ての山名一族にとっての、総氏社でもあります。 室町時代、後醍醐天皇の孫「君親王」が山名城に滞在の折、城主「世良田政義の娘」との間に出来た子の安産を願い、当社にてご祈願をされました。 無事産まれた男の子は「良王君」と名付けられ、その後も健やかに成長されました。このことが広く伝わり「山名八幡宮」は、安産と子育ての神社として永く称えられ、現在でも多くのご家族がご祈願に訪れています。 品陀和気命(=応神天皇)、息長足比売命(=神功皇后)、神霊を宿す巫女とも言われる玉依比売命(=比売大神)の三柱を御祭神として祀り、祭祀を絶やすこと無く、今日に至っています。 |
歴史の写真一覧

歴史
藤岡周辺、神社巡り④
上新電鉄、山名駅の目の前に鎮座しており、参道が線路を潜る珍しい神社です。歴…

歴史
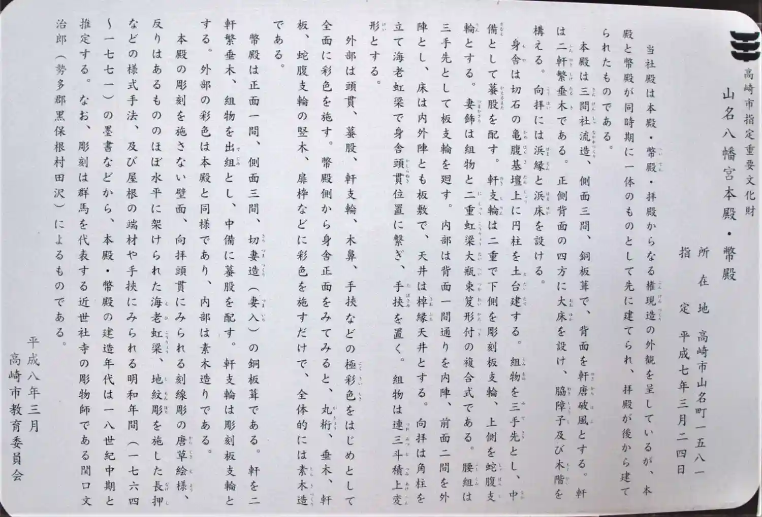
由緒書

歴史
山名八幡宮が創建されたのは平安時代後期の1175年から1177年と言われています。源義家の孫に当た…

歴史
山名八幡宮が創建されたのは平安時代後期の1175年から1177年と言われています。源義家の孫に当た…

歴史
山名八幡宮が創建されたのは平安時代後期の1175年から1177年と言われています。源義家の孫に当た…

歴史
山名八幡宮が創建されたのは平安時代後期の1175年から1177年と言われています。源義家の孫に当た…

歴史
山名八幡宮が創建されたのは平安時代後期の1175年から1177年と言われています。源義家の孫に当た…

歴史
初めての参拝でした。神殿の壁の彫刻が見事な神社です。

歴史
友人の安産祈願で行ってきました。道路にある鳥居をくぐると線路の下にトンネルがあり、そこを抜けると入…

歴史
山名八幡宮
上信電鉄 山名駅 下車2分
後醍醐天皇の孫君「長親王」が、安産祈願し「良王…

歴史
門の外に線路があるので、タイミングによっては門と電車が撮れます。
社殿の彫刻も見事です。
裏神…

歴史
群馬県高崎市の上信電鉄・山名駅から徒歩ですぐでした。応仁の乱で知られる山名宗全の祖先が、大分の宇…

歴史
群馬県高崎市の上信電鉄・山名駅から徒歩ですぐでした。応仁の乱で知られる山名宗全の祖先が、大分の宇…
歴史
落ち着いた雰囲気のいい神社です。
張り子の犬があちこちにあってかわいい。

NEWSLETTER
最新の限定御朱印情報が届く!
御朱印メルマガを受け取ろう
This site is protected by reCAPTCHA and the GooglePrivacy Policy andTerms of Service apply.
ホトカミで困ったこと、不具合のご報告はこちらから
お問い合わせ


