たどじんじゃ
御朱印・神社お寺の検索サイト
楽しみ方月500円で広告非表示・毎月幸せと健康をご祈願の特典あり
あなたの応援で100年後にも神社お寺がありますように。
歴史をもっと見る|
あなたの応援で100年後にも神社お寺がありますように。
境内・文化財
境内・文化財をもっと見る|13
歴史
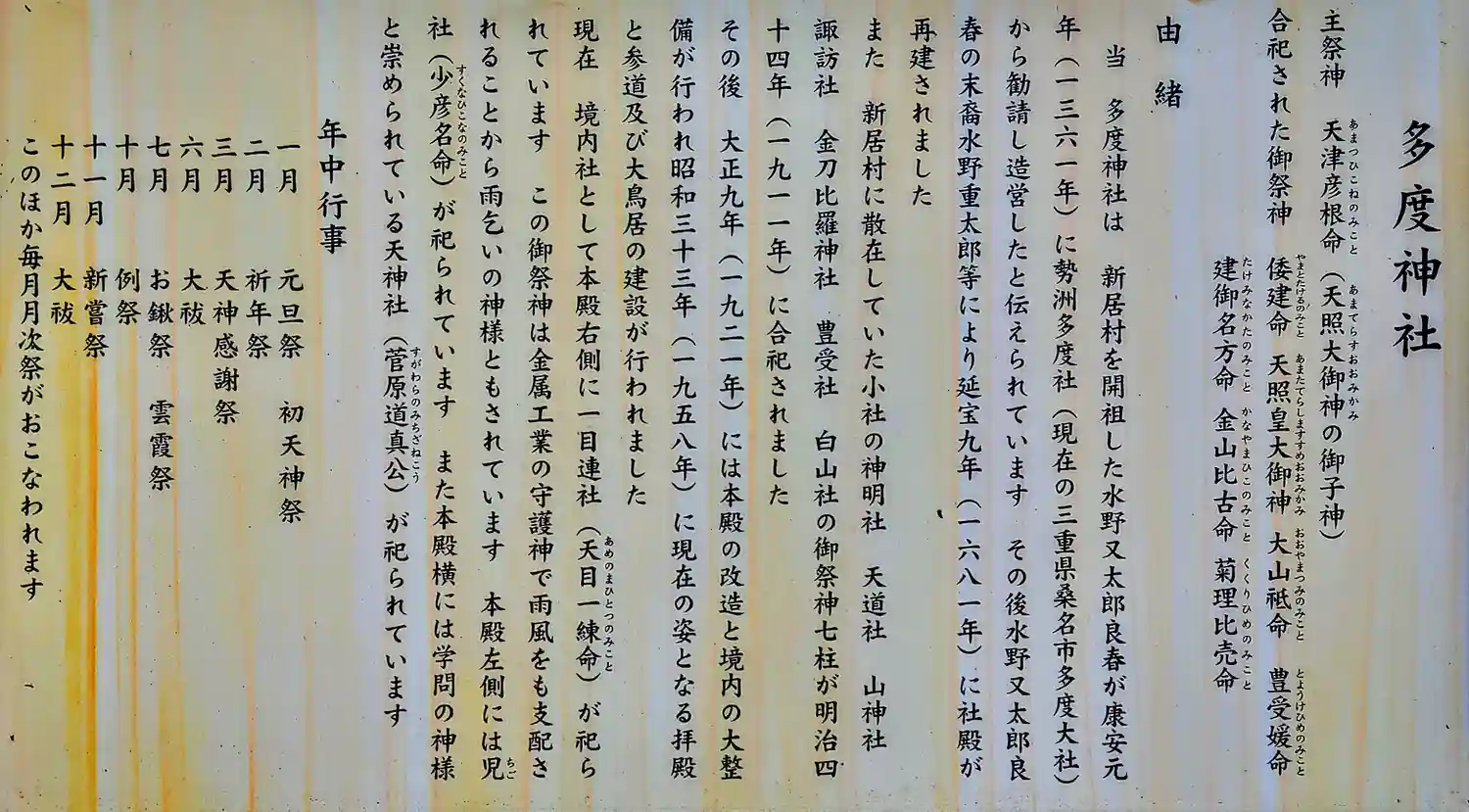
康安元年(1361)水野又太郎良春によって勢洲多度社(桑名市の多度大社)より勧請。
震災等、何度かの再建を経験し、現在の形となる。建設資金は、区画整理時の土地売却費用を充てたという。
(『尾張旭市誌 現代史編』より)
1
多度神社(夛度神社)の情報
| 住所 | 愛知県尾張旭市新居町西浦3182 |
|---|---|
| 行き方 | 名鉄瀬戸線:尾張旭駅下車 北へ徒歩 10分( 新居町交差点を左折, 多度神社前交差点を右折直進で木々の間に鳥居が見えてきます) |
多度神社(夛度神社)の基本情報
| 名称 | 多度神社(夛度神社) |
|---|---|
| 読み方 | たどじんじゃ |
| 御朱印 | あり |
| 限定御朱印 | なし |
詳細情報
| ご祭神 | 《合》倭建命,天照皇大御神,大山祇神,建御名方神,金山比古命,豊受媛命,菊理比売命,《主》天津彦根命 |
|---|---|
| 創建時代 | 1361年(康安元年) |
| 創始者 | 水野又太郎良春 |
| ご由緒 | 康安元年(1361)水野又太郎良春によって勢洲多度社(桑名市の多度大社)より勧請。
|
| 体験 |
「みんなでつくる御朱印・神社お寺の検索サイト」という性質上、掲載されている情報の正確性は保証されませんので、必ず事前にご確認の上ご利用ください。
ログインすると情報を追加/編集できます。
最終更新:2026年03月14日(土) 12時34分30秒
ホトカミのデータについて
ホトカミには、日本最大となる全国15万8千件の神社お寺の情報や、2万件以上の御朱印のオリジナルデータがあります。
ご利用になりたい法人様やメディア関係の方々は、こちらよりお気軽にご相談ください。
周辺エリア
多度神社(夛度神社)に関連する記事
おすすめのホトカミ記事

NEWSLETTER
最新の限定御朱印情報が届く!
御朱印メルマガを受け取ろう
This site is protected by reCAPTCHA and the GooglePrivacy Policy andTerms of Service apply.
ホトカミで困ったこと、不具合のご報告はこちらから
お問い合わせ





























