こううんじ|臨済宗妙心寺派大本山妙心寺末|祇陀山
御朱印・神社お寺の検索サイト
楽しみ方耕雲寺のお参りの記録一覧

soo_cyan
2025年05月21日(水) 10時32分31秒
4535投稿
丹波七福神・ゑびす天。こちらも二度目。丹波七福神のマップに金光寺から車不通の道があるようなので探してみると金光寺駐車場わきに細い道があり、進んでいくと耕雲寺近くに出ました😊前回は一度下の道に降りて迂回したため時間と労力の短縮にはなったかな😆こちらも川東観音霊場で第4番。どうやら本堂奥にあるお堂が観音堂のよう(京都通百科事典)お参りしてスタンプ拝受してきました🤗

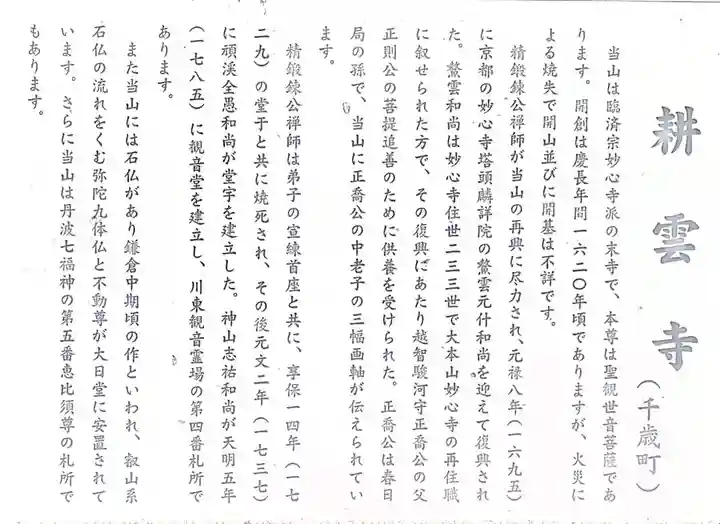
由緒

参道

大日堂

恵美須様

恵比寿堂

観音堂
もっと読む

ますみん
2021年07月25日(日) 10時31分35秒
822投稿
(丹波七福神 恵美須天)
五番目札所はこちらです。
山麓にずらりと並んでいますので、お参りがしやすいです。
一番眺めがいいとのことですが、本当に素晴らしい眺めでした。
御朱印は書置きを自分で頂いていくというシステムでした。

御朱印 丹波七福神 恵美須天

入口

由緒

大日堂

地蔵堂

恵美須天像

観音堂

本堂

境内からの眺め
もっと読む
京都府のおすすめ❄️
広告
最新の限定御朱印情報が届く!
御朱印メルマガを受け取ろう
利用開始をもって利用規約・プライバシーポリシーに
同意したものとみなします。

ホトカミで困ったこと、不具合のご報告はこちらから
お問い合わせ







































6
0