こううんじ|臨済宗妙心寺派大本山妙心寺末|祇陀山
御朱印・神社お寺の検索サイト
楽しみ方耕雲寺の御由緒・歴史
| ご本尊 | 聖観世音菩薩 | |
|---|---|---|
| 創建時代 | 1610年(慶長15年)頃 | |
| 開山・開基 | 不詳 | |
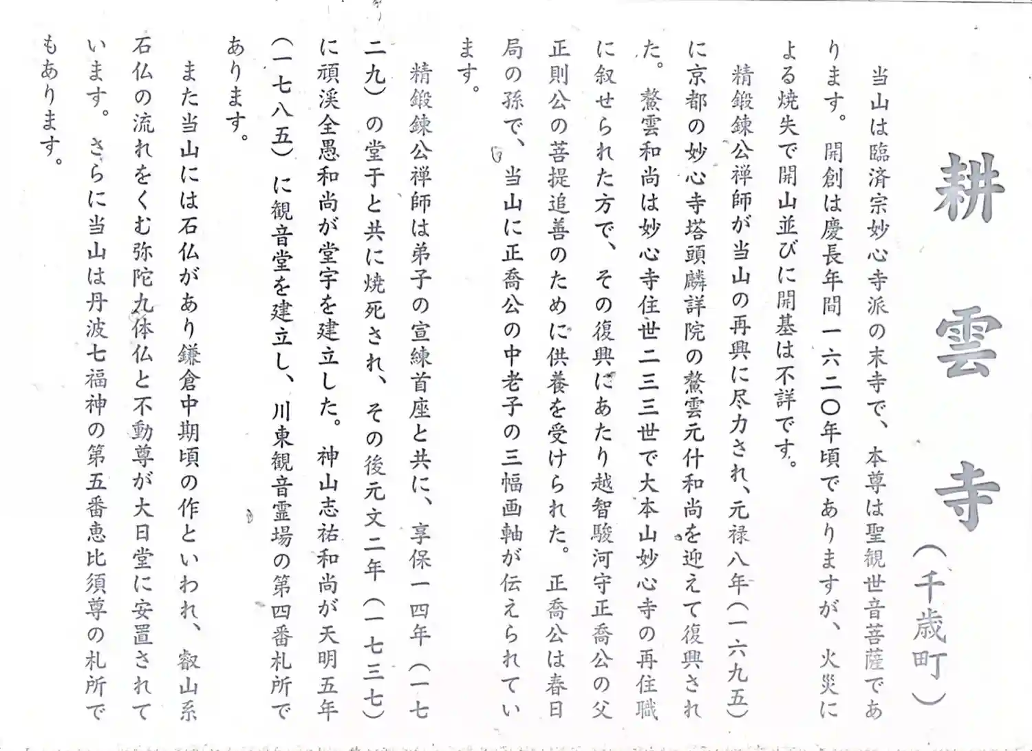
| ご由緒 | 臨済宗妙心寺派の末寺で、本尊は聖観世音菩薩です。開創は慶長年間一六二〇年頃ですが火災により焼失で開山ならびに開基は不詳。
|
京都府のおすすめ🎏
広告
歴史の写真一覧
京都府のおすすめ🎏
広告

NEWSLETTER
最新の限定御朱印情報が届く!
御朱印メルマガを受け取ろう
This site is protected by reCAPTCHA and the GooglePrivacy Policy andTerms of Service apply.
ホトカミで困ったこと、不具合のご報告はこちらから
お問い合わせ


