こんこうじ|浄土宗知恩院末|法谷山
御朱印・神社お寺の検索サイト
楽しみ方金光寺のお参りの記録一覧

soo_cyan
2024年11月20日(水) 10時34分16秒
4512投稿
耕雲寺から近そうに見えるが道がなく迂回しないといけないようで一度坂下ってからまた登り🥵到着したときはもう夕暮れも過ぎてました😅本堂に明かりが灯っていたのでお尋ねするとご住職がお迎えくださり本堂を開けて御朱印をいただけました。御本尊も拝ませていただき、丹波七福神の地図もいただきました🤗地図を見て、これは周るの無理だと判断、残り時間で最寄りの蔵宝寺だけでもと思いこちらをあとにしました😅










もっと読む

soo_cyan
2025年05月21日(水) 10時15分55秒
4512投稿
続いて弁財天の金光寺へ。こちらも前回御朱印は拝受しているのでスタンプをいただきました🤗各御堂お参りしてまいりました😌

寺号道標

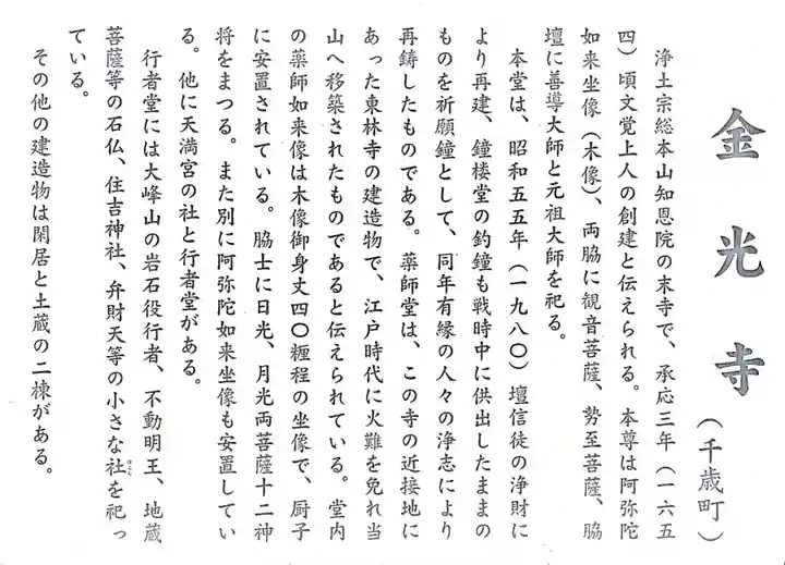
由緒

山門

鐘楼

弁天様

狛ちゃん撮ってお堂撮り忘れる・・・😅


仏様色々

薬師堂

地蔵様

本堂

扁額
もっと読む
京都府のおすすめ❄️
広告
最新の限定御朱印情報が届く!
御朱印メルマガを受け取ろう
利用開始をもって利用規約・プライバシーポリシーに
同意したものとみなします。

ホトカミで困ったこと、不具合のご報告はこちらから
お問い合わせ


























































10
0