御朱印・神社お寺の検索サイト
楽しみ方般若林八王寺のお参りの記録(1回目)
投稿日:2021年08月21日(土) 10時42分48秒
参拝:2021年8月吉日
(福原西国三十三観音22番札所)
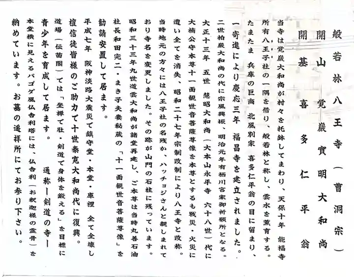
剣道の寺と言われています。
ご住職が道場の師範をされているとのこと。
境内に道場があります。
こちらはかつて能福寺https://hotokami.jp/area/hyogo/Hmztk/Hmztktg/Dpmra/9780/179323/
に八王子社があり、そちらに庵を構えていたのだそうです。
その時の社を境内に祀られています。
剣道の寺と言われています。
ご住職が道場の師範をされているとのこと。
境内に道場があります。
こちらはかつて能福寺https://hotokami.jp/area/hyogo/Hmztk/Hmztktg/Dpmra/9780/179323/
に八王子社があり、そちらに庵を構えていたのだそうです。
その時の社を境内に祀られています。
すてき
投稿者のプロフィール

ますみん822投稿
コロナ禍に突然お告げ?受けて、2020.4より御朱印に入れ込みはじめました。いけば行くほど奥深く、毎日お参りばかりを考える、御朱印狂になってしまいました。でも、お参りすることっていいことですよね...もっと読む
ホトカミ見ました! で広がるご縁
ホトカミを見てお参りされた際は、もし話す機会があれば住職さんに、「ホトカミ見てお参りしました!」とお伝えください。
住職さんも、ホトカミを通じてお参りされる方がいるんだなぁと、ホトカミ無料公式登録して、情報を発信しようという気持ちになるかもしれませんし、
「ホトカミ見ました!」きっかけで豊かな会話が生まれたら、ホトカミ運営の私たちも嬉しいです。


















