こんだはちまんぐう
御朱印・神社お寺の検索サイト
楽しみ方誉田八幡宮のお参りの記録(1回目)
投稿日:2021年09月10日(金) 11時45分47秒
参拝:2021年8月吉日
(大阪の陣ゆかりの地)
(古市古墳群と六社寺めぐり)
拝殿がとても大きな神社です。
欽明天皇の命で6世紀後半に創建されたと伝えられる日本最古の八幡宮です。主祭神は応神天皇です。
中世に入ってから源氏一族の氏神として崇敬されて、鎌倉時代以降は源氏一門や各時代の将軍、一般の武士らの参拝も盛んになりました。さすが武運の神様ですね。
また、大坂夏の陣「道明寺・誉田の戦い」では、大坂方の薄田兼相が陣を構え、この地より出撃して討死したとのこと。真田信繁(幸村)も付近に陣を構えていたのだそうです。
この戦いで後藤又兵衛をはじめとする討死者を出しました。
境内には石碑も建っています。
拝殿より奥に進むと、応神天皇陵へ続き、遥拝所がありました。
(古市古墳群と六社寺めぐり)
拝殿がとても大きな神社です。
欽明天皇の命で6世紀後半に創建されたと伝えられる日本最古の八幡宮です。主祭神は応神天皇です。
中世に入ってから源氏一族の氏神として崇敬されて、鎌倉時代以降は源氏一門や各時代の将軍、一般の武士らの参拝も盛んになりました。さすが武運の神様ですね。
また、大坂夏の陣「道明寺・誉田の戦い」では、大坂方の薄田兼相が陣を構え、この地より出撃して討死したとのこと。真田信繁(幸村)も付近に陣を構えていたのだそうです。
この戦いで後藤又兵衛をはじめとする討死者を出しました。
境内には石碑も建っています。
拝殿より奥に進むと、応神天皇陵へ続き、遥拝所がありました。

御朱印 大阪の陣ゆかりの地 古市古墳群と六社寺めぐり

誉田八幡宮について

鳥居

右近の橘

左近の桜

絵馬堂

稲荷社

当宗神社

当宗神社について

放生橋

放生橋について

応神天皇陵への道

層塔

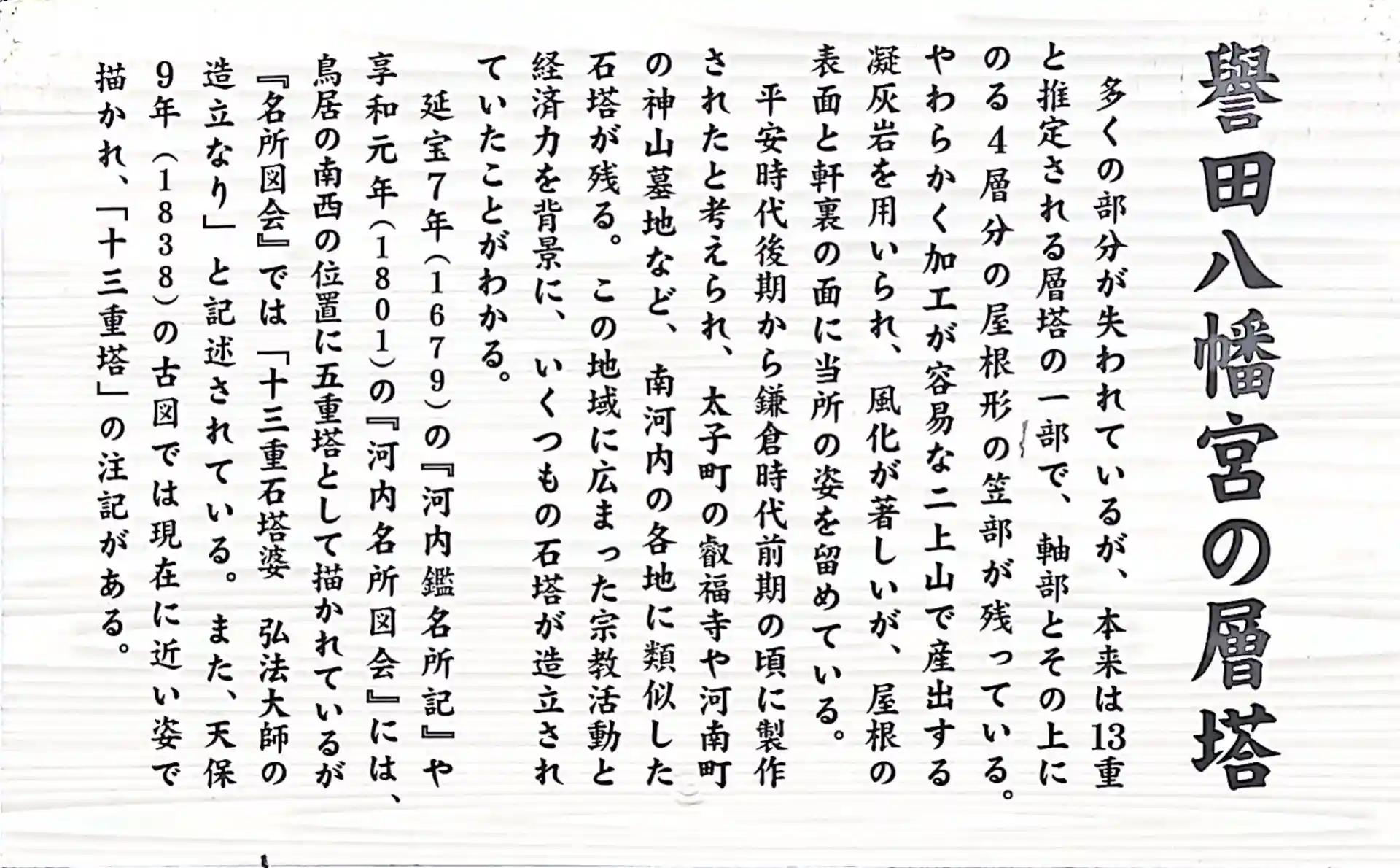
層塔について

拝殿

拝殿について

安産木

安産木について

恵比寿社

誉田宝殿

誉田林古戦場跡石碑

古墳群跡について

境内図
すてき
投稿者のプロフィール

ますみん822投稿
コロナ禍に突然お告げ?受けて、2020.4より御朱印に入れ込みはじめました。いけば行くほど奥深く、毎日お参りばかりを考える、御朱印狂になってしまいました。でも、お参りすることっていいことですよね...もっと読む
ホトカミ見ました! で広がるご縁
ホトカミを見てお参りされた際は、もし話す機会があれば神主さんに、「ホトカミ見てお参りしました!」とお伝えください。
神主さんも、ホトカミを通じてお参りされる方がいるんだなぁと、ホトカミ無料公式登録して、情報を発信しようという気持ちになるかもしれませんし、
「ホトカミ見ました!」きっかけで豊かな会話が生まれたら、ホトカミ運営の私たちも嬉しいです。





